招生计划在线查看:
广东省2016年普通高校招生录取第二批本科院校征集志愿文科招生计划表
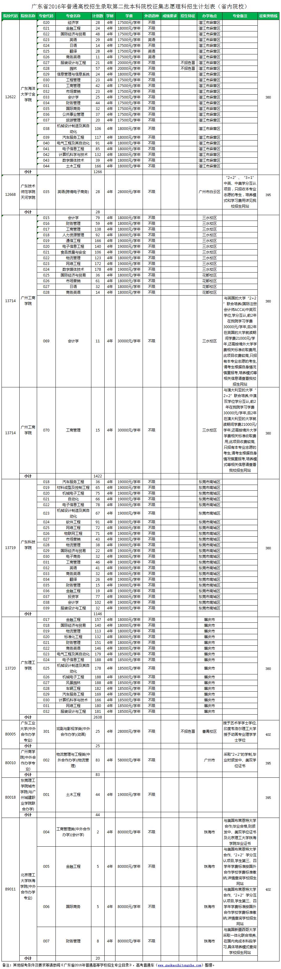
广东省2016年普通高校招生录取第二批本科院校征集志愿理科招生计划表
广东省2016年普通高校招生录取第二批本科院校音乐类统考专业征集志愿招生计划表
广东省2016年普通高校招生录取第二批本科院校美术类统考专业征集志愿招生计划表
广东省2016年普通高校招生录取第二批本科院校体育类专业征集志愿招生计划表
广东省2016年普通高校招生录取第二批本科院校征集志愿少数民族班理科招生计划表
广东省2016年普通高校招生第二批本科各科类院校征集志愿在库考生分数段统计表





