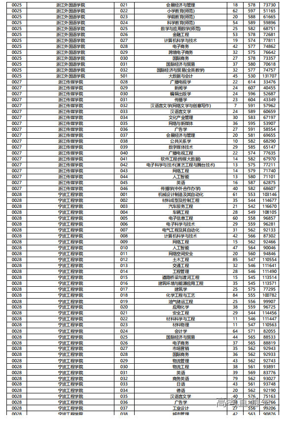
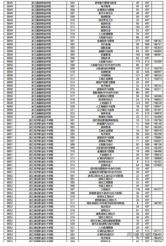
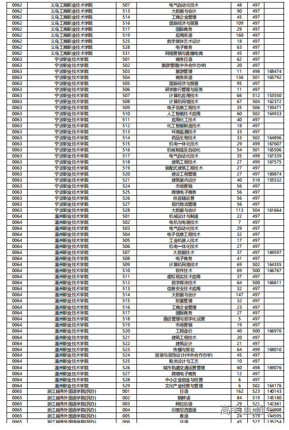
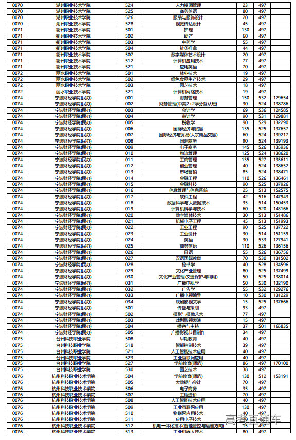
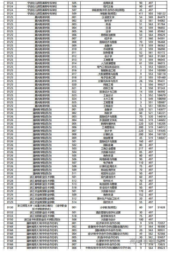
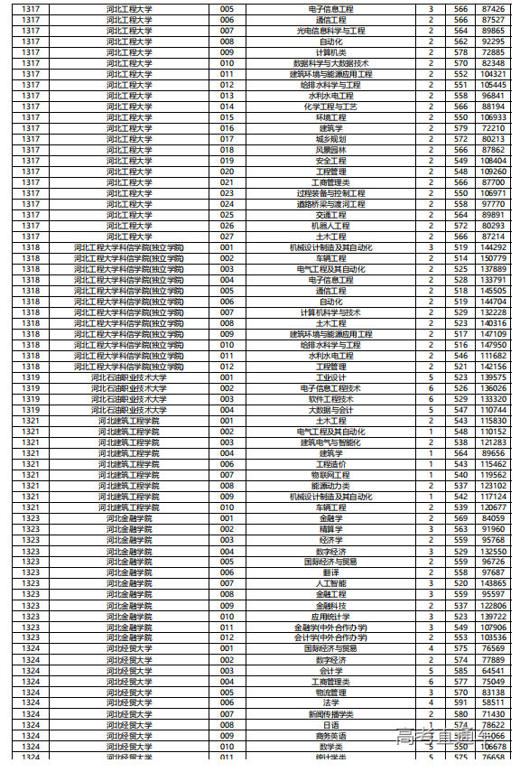
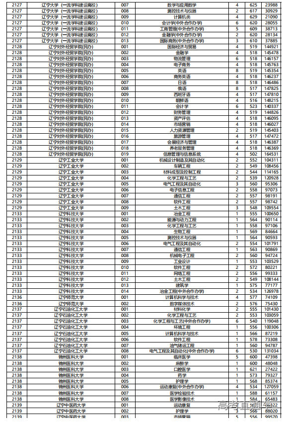
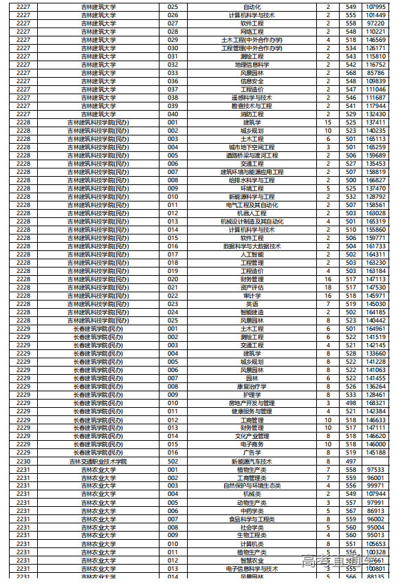
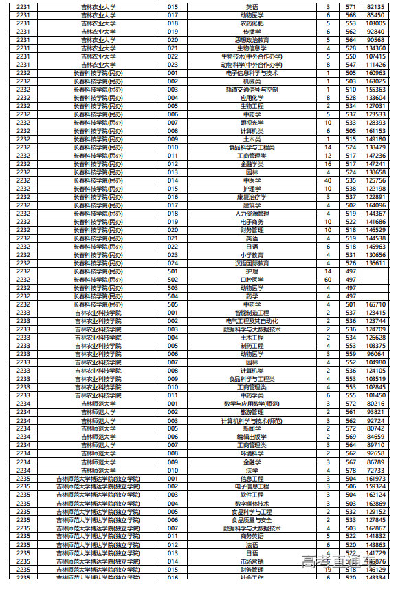
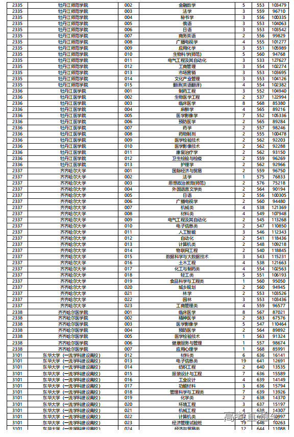
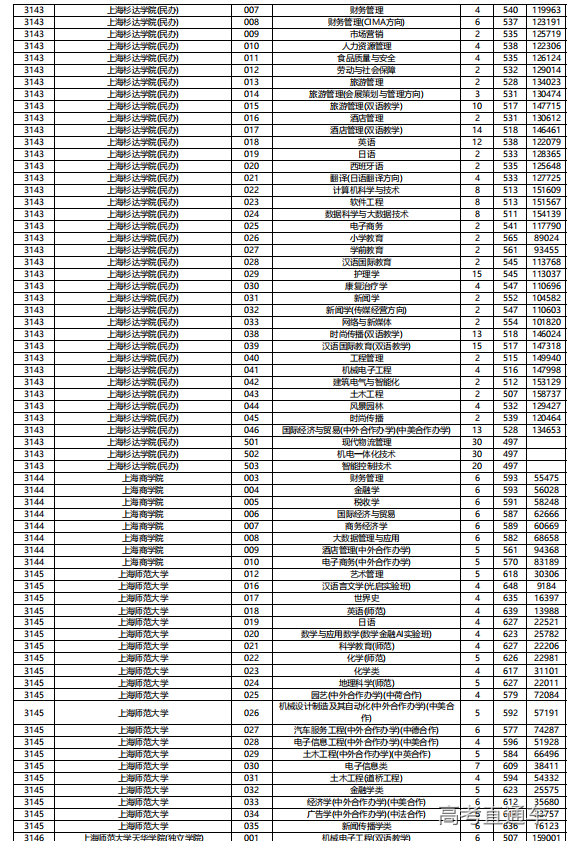
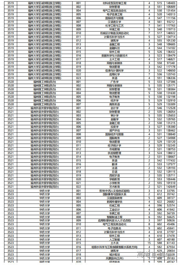
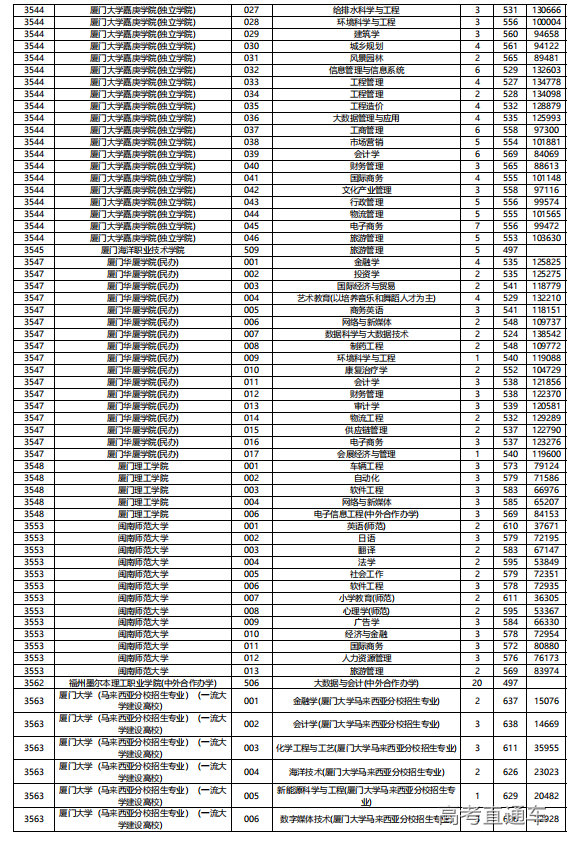
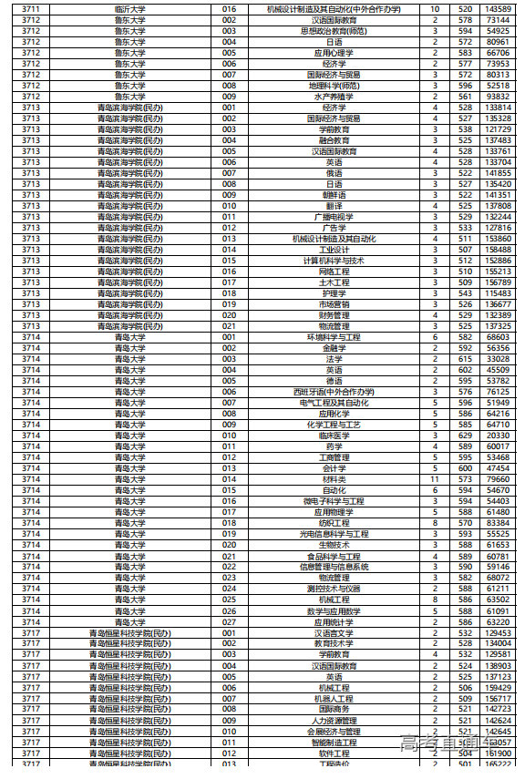
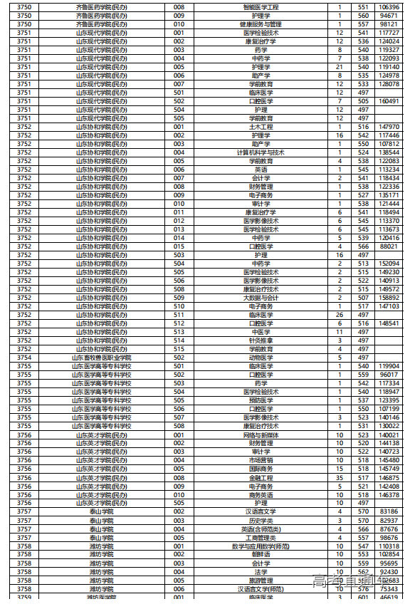
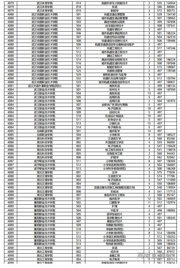
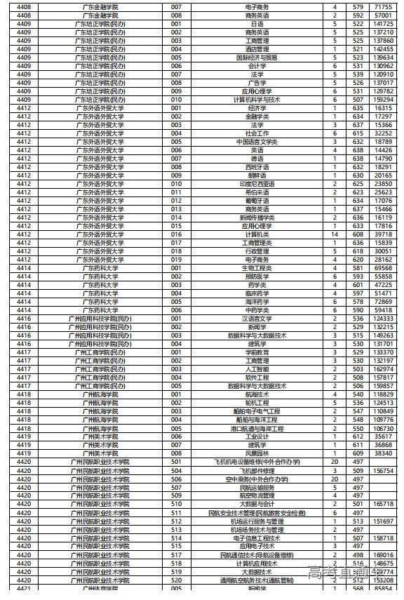
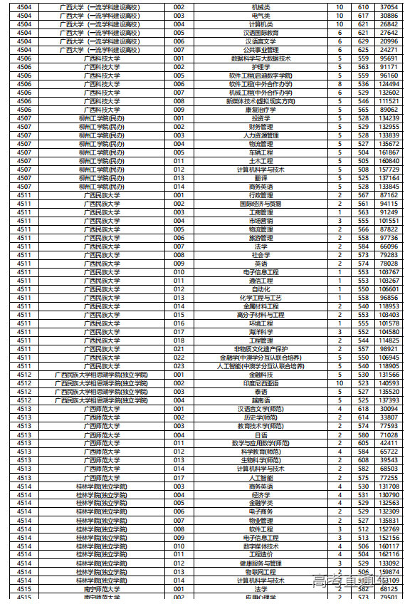
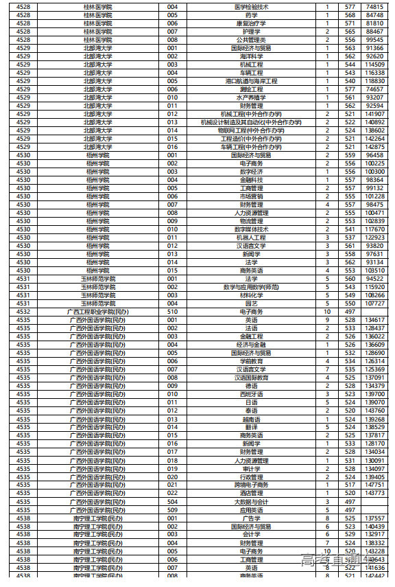
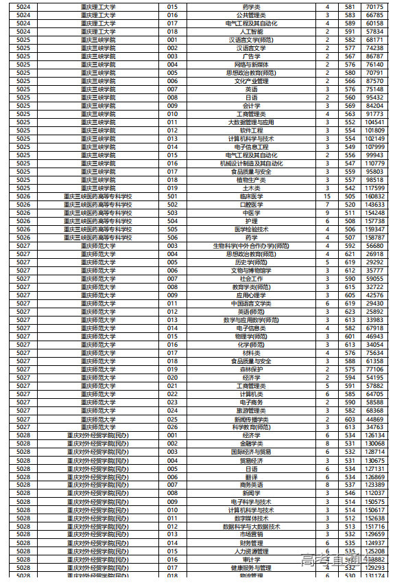
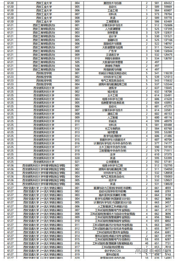
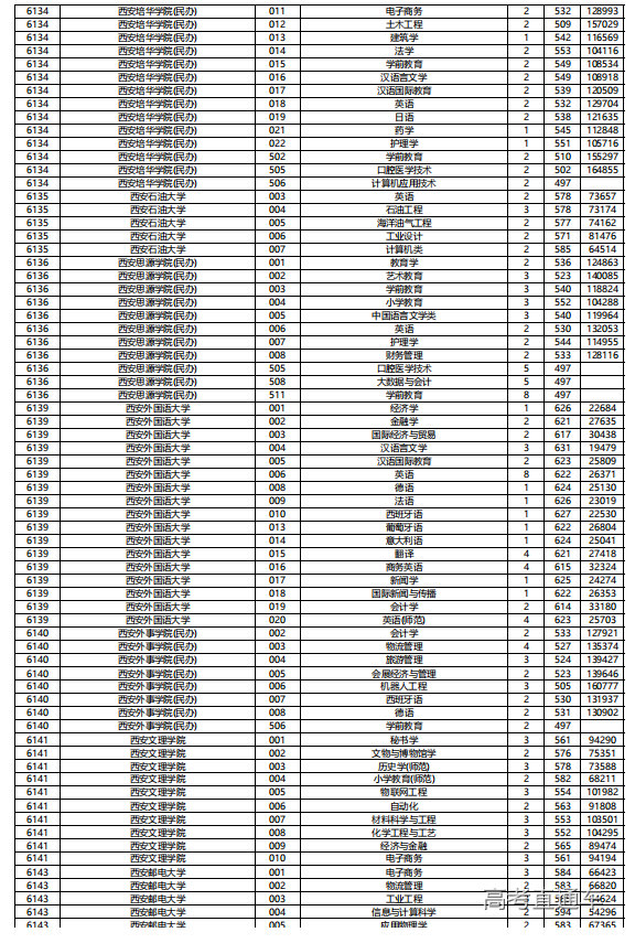
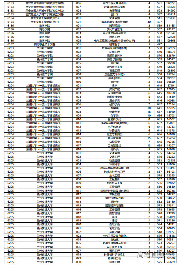
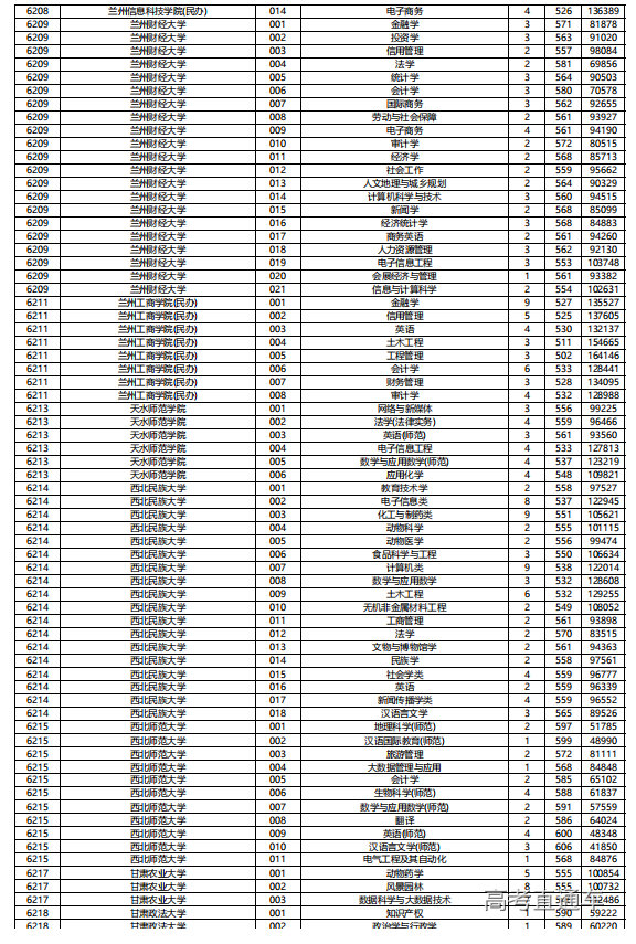
14.5万考生今日投档
从首轮志愿填报和投档情况看,本次一段线上考生志愿填报率和志愿投出率均高于去年,总体生源分布合理均衡。普通类一段平行志愿投档,按“分数优先、遵循志愿”的规则和招生计划1:1的比例,直接投到考生所填报的具体院校具体专业(类)。院校专业的投档分数线,也就是被投档到该院校该专业的最后一名考生分数,由计算机投档后自动形成。考生可登录浙江省教育考试院网站(www.zjzs.net),查看浙江省2022年普通类第一段平行投档分数线。
院校专业投档分数线的高低,主要由报考该院校专业生源情况和招生计划决定。院校专业报考人数多尤其是高分考生多,则投档线上升;专业招生计划量增大,投档线则会相对下降。举个例子,不少优质院校一个专业(类)在浙招生量就多达百人以上,超出许多院校各专业在浙总招生数,其分数线无法与招生规模较小的院校专业直接对比,更不能简单地把投档分数线与高校综合实力挂钩。
怎样预估你的投档去向
投档去向是考生最关心的问题,可根据投档分数线和本人志愿进行预估。按所填报的志愿顺序,对照投档分数位次依次查看,一旦符合条件即说明已投档到该院校该专业。需注意的是,高考总分相同时,是按考生位次、志愿顺序投档。因此,若考生总分上线但位次或志愿序号未达到投档条件要求,也不会被投档到该院校该专业。
我省高考招生实行专业平行志愿以来,退档率持续保持低位,但这并不意味着没有退档的风险。一旦考生的身体条件、单科成绩等不符合专业要求,即使投档后仍有可能被高校退档。而平行志愿每轮只有一次投档机会,一旦投档,其余志愿同步失效,若投档后被退档,同一段的其他志愿也不能再投,只能参加后续的志愿填报。
24日起填报二段平行志愿
本轮退档录检结束后,剩余招生计划将于7月22日上午统一在浙江省教育考试院网站(www.zjzs.net)发布。各类别二段线上考生将在7月24日8:30至25日17:30填报平行志愿。
填报前,考生可登录浙江省教育考试院网站“高考志愿填报服务专窗”查询有关招生政策解读、往年录取参考数据及填报志愿操作视频,或者查阅心仪学校的招生章程了解专业报考条件,提前做好志愿填报的功课,确保合理选择、准确填报。
投档情况:
浙江省2022年普通高校招生普通类第一段平行投档分数线表.rar





































































































































































































































