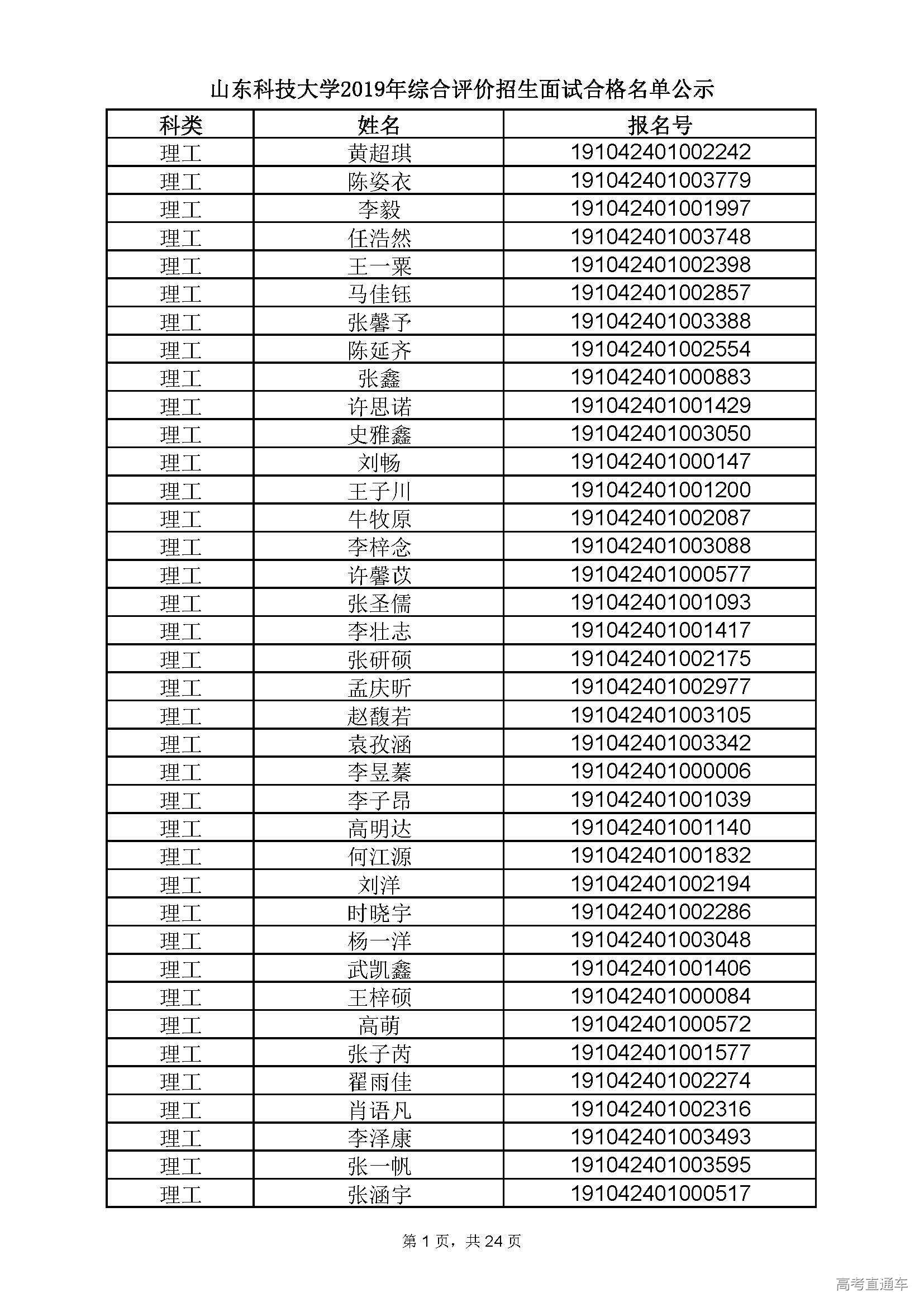
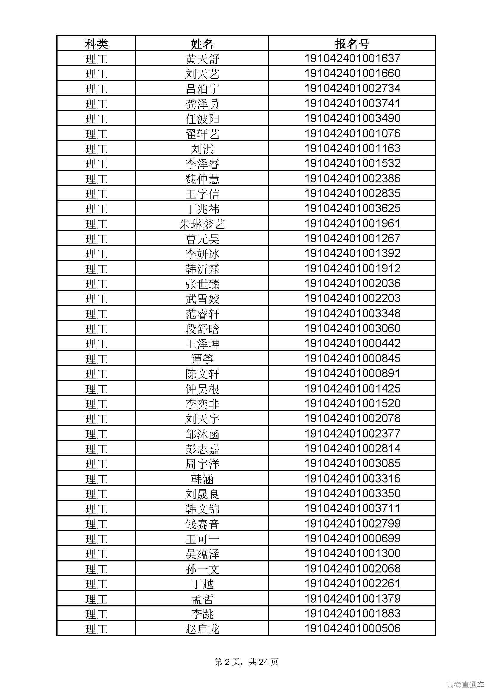
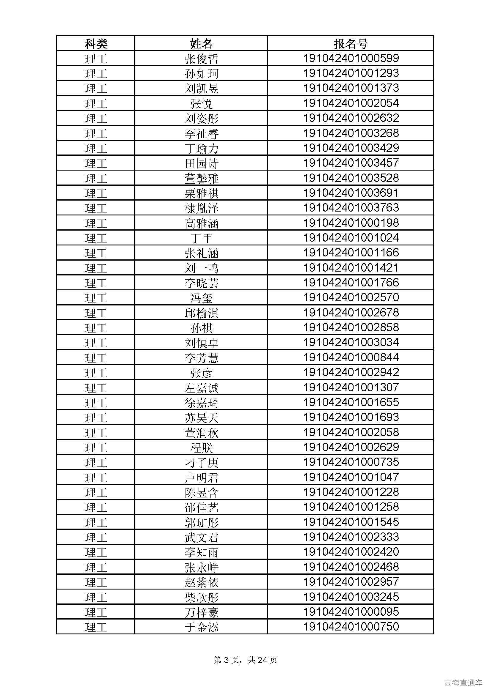
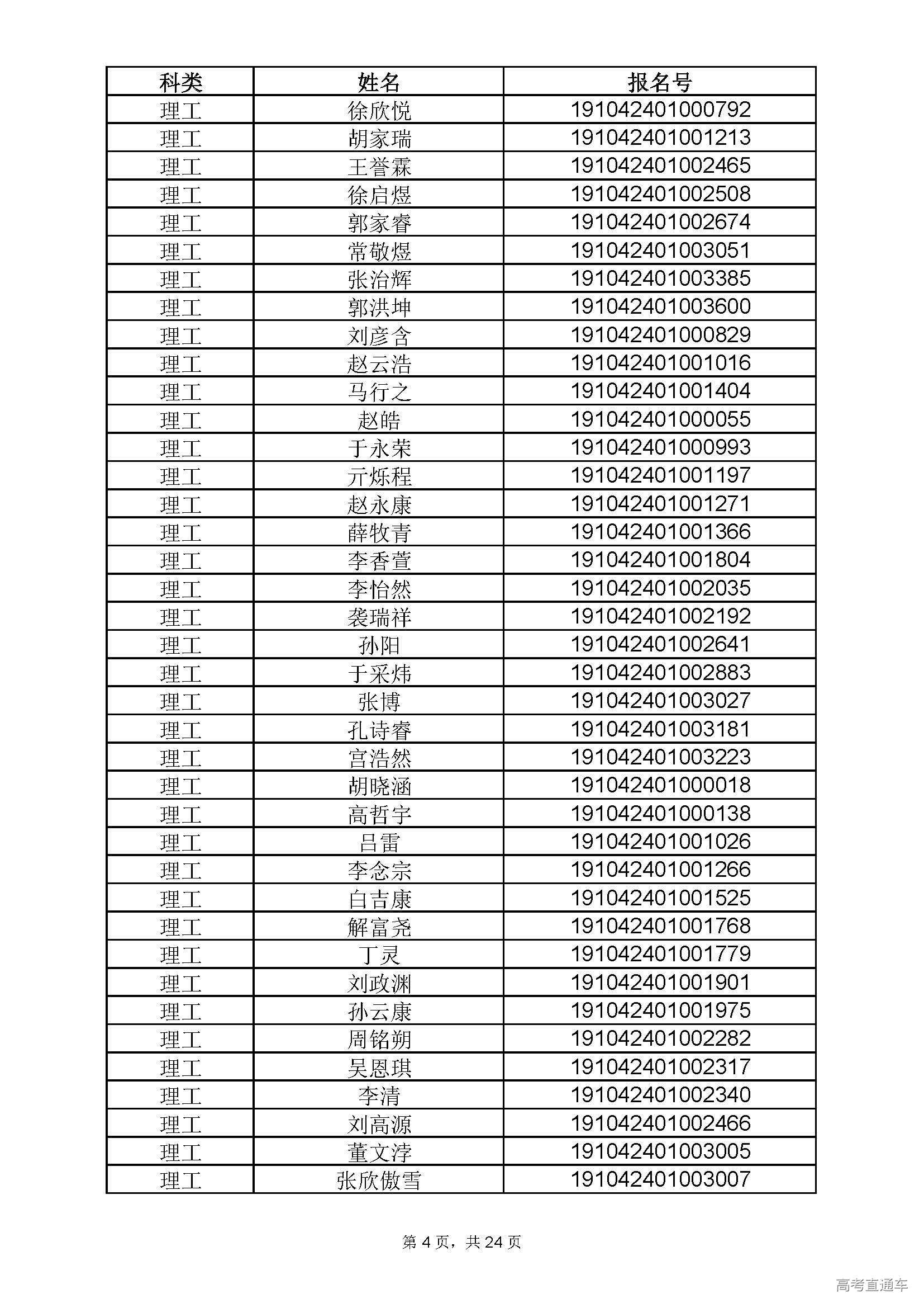
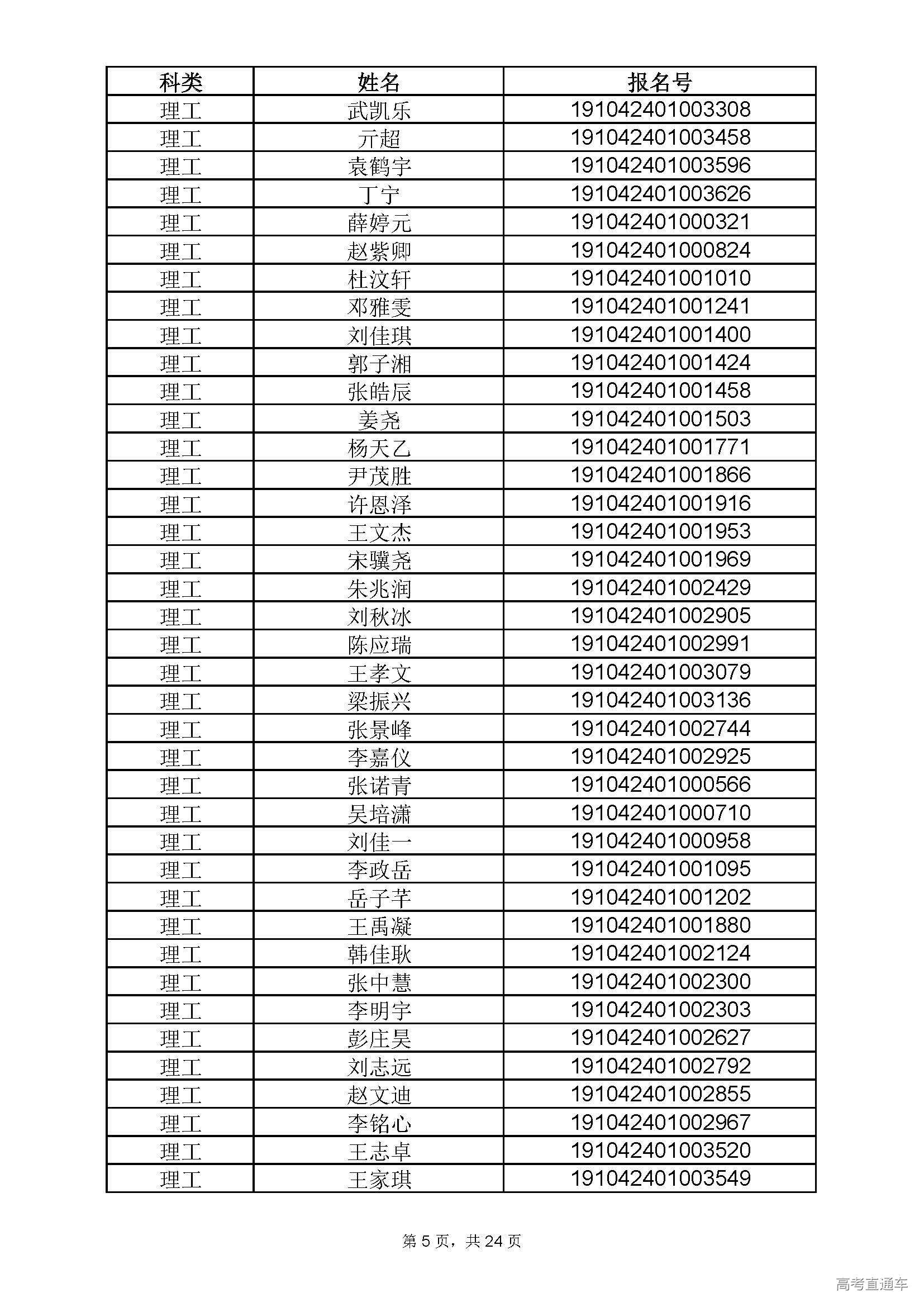
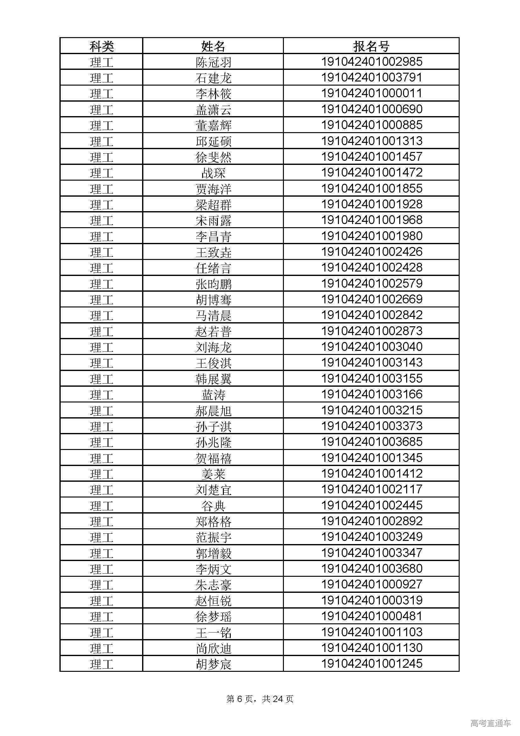
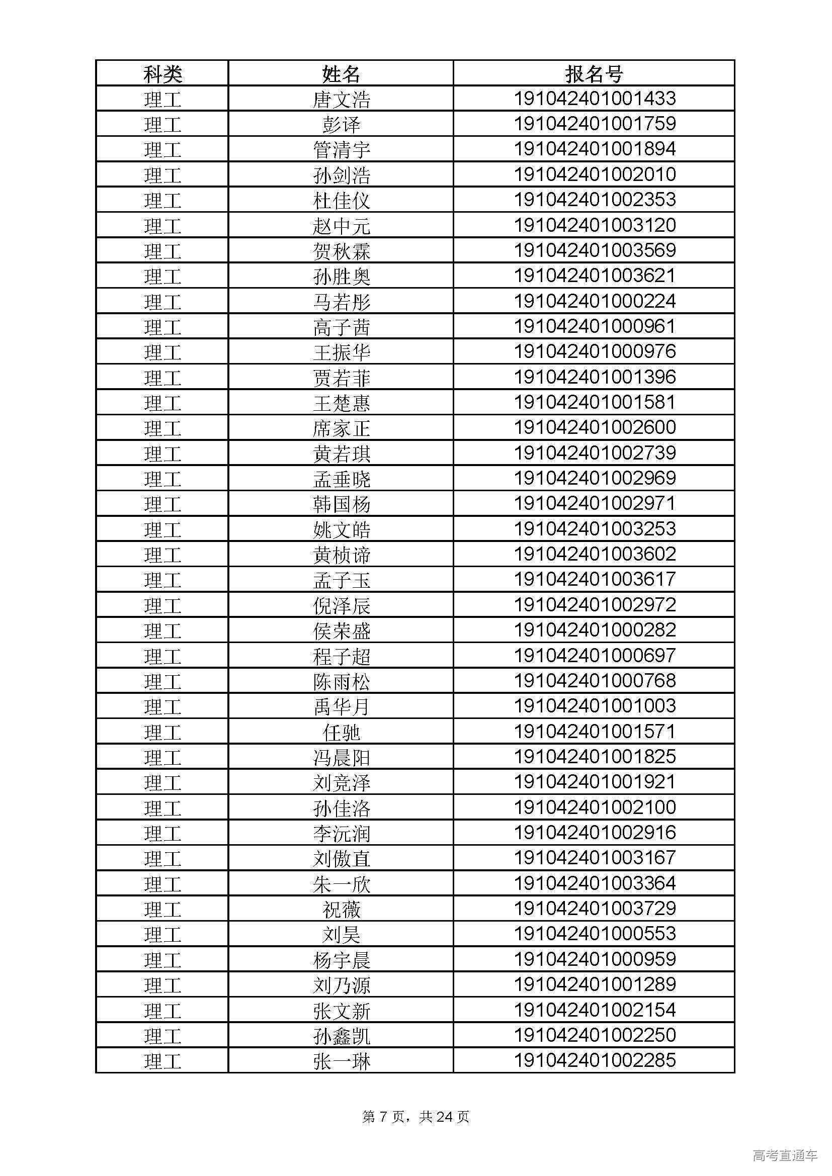
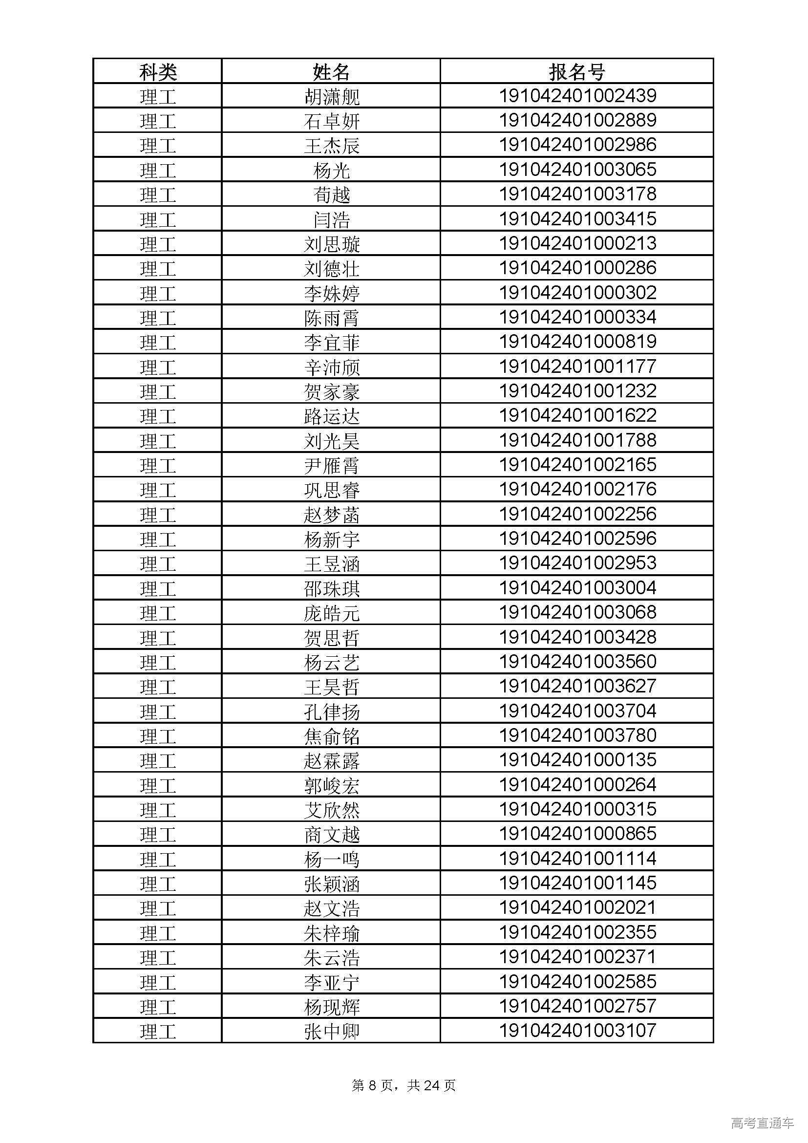
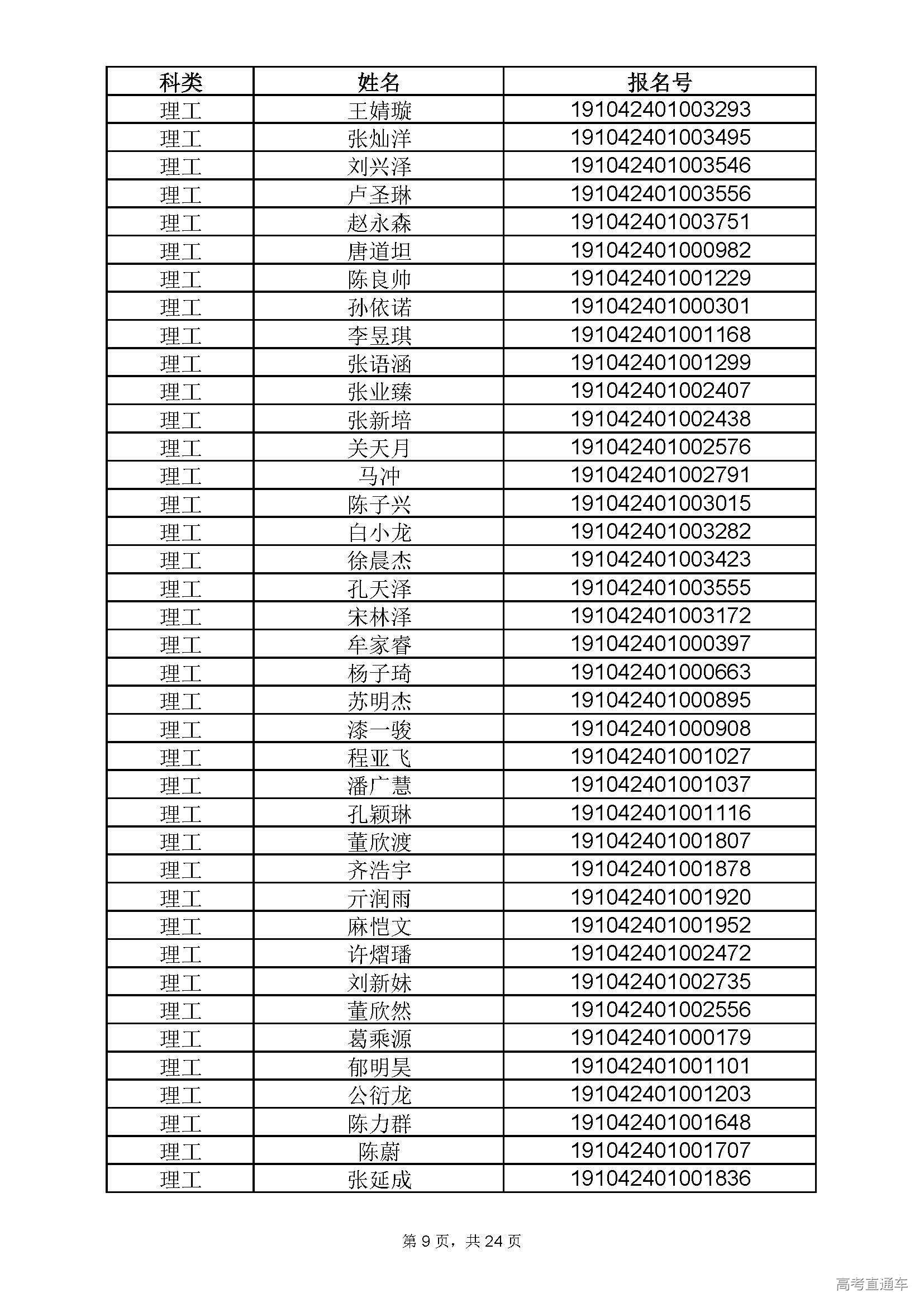
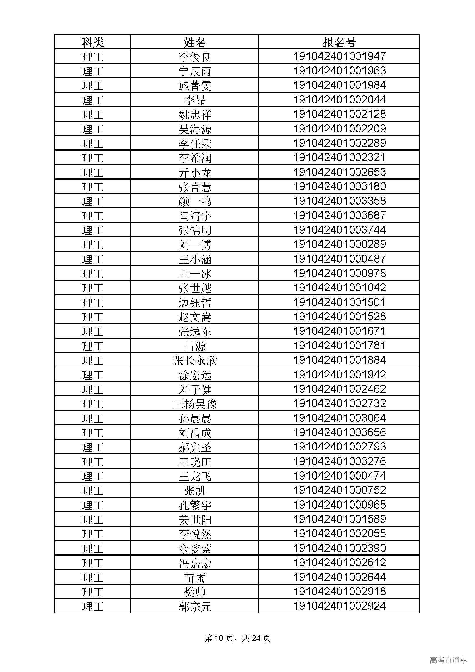
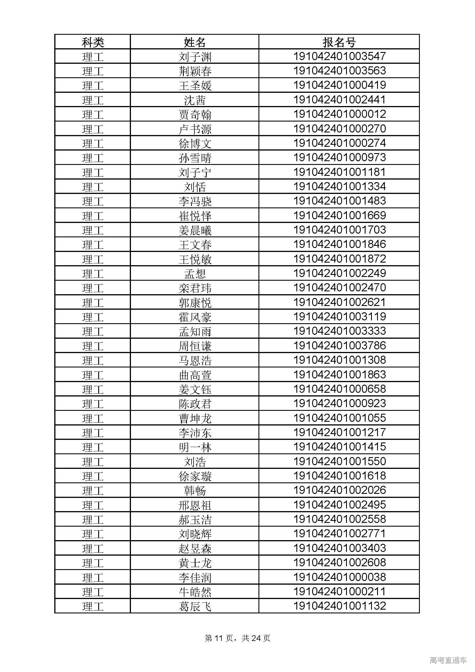
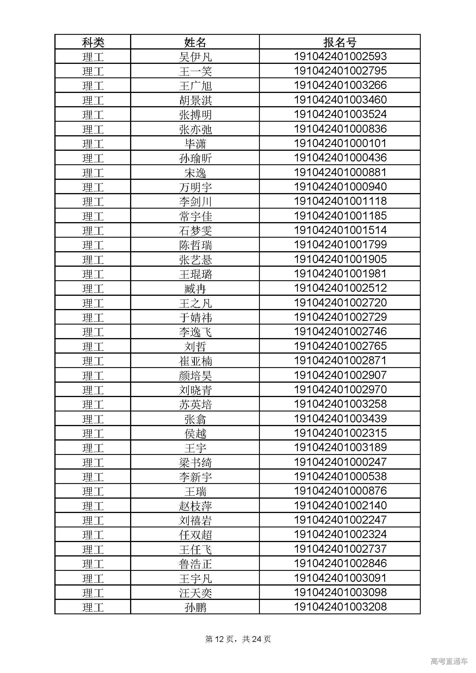
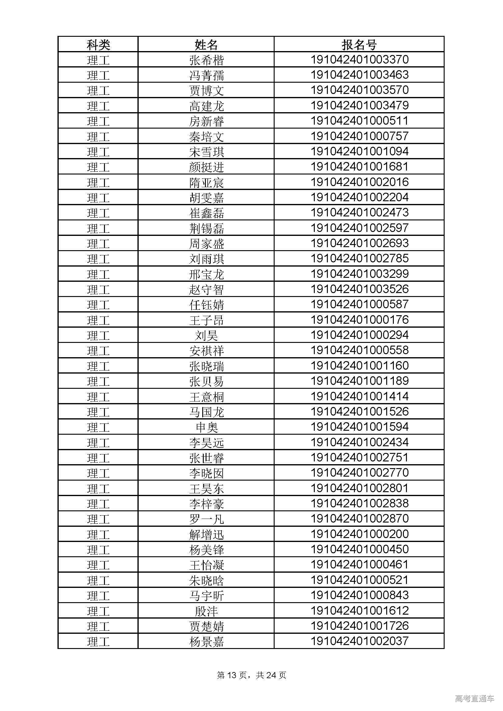
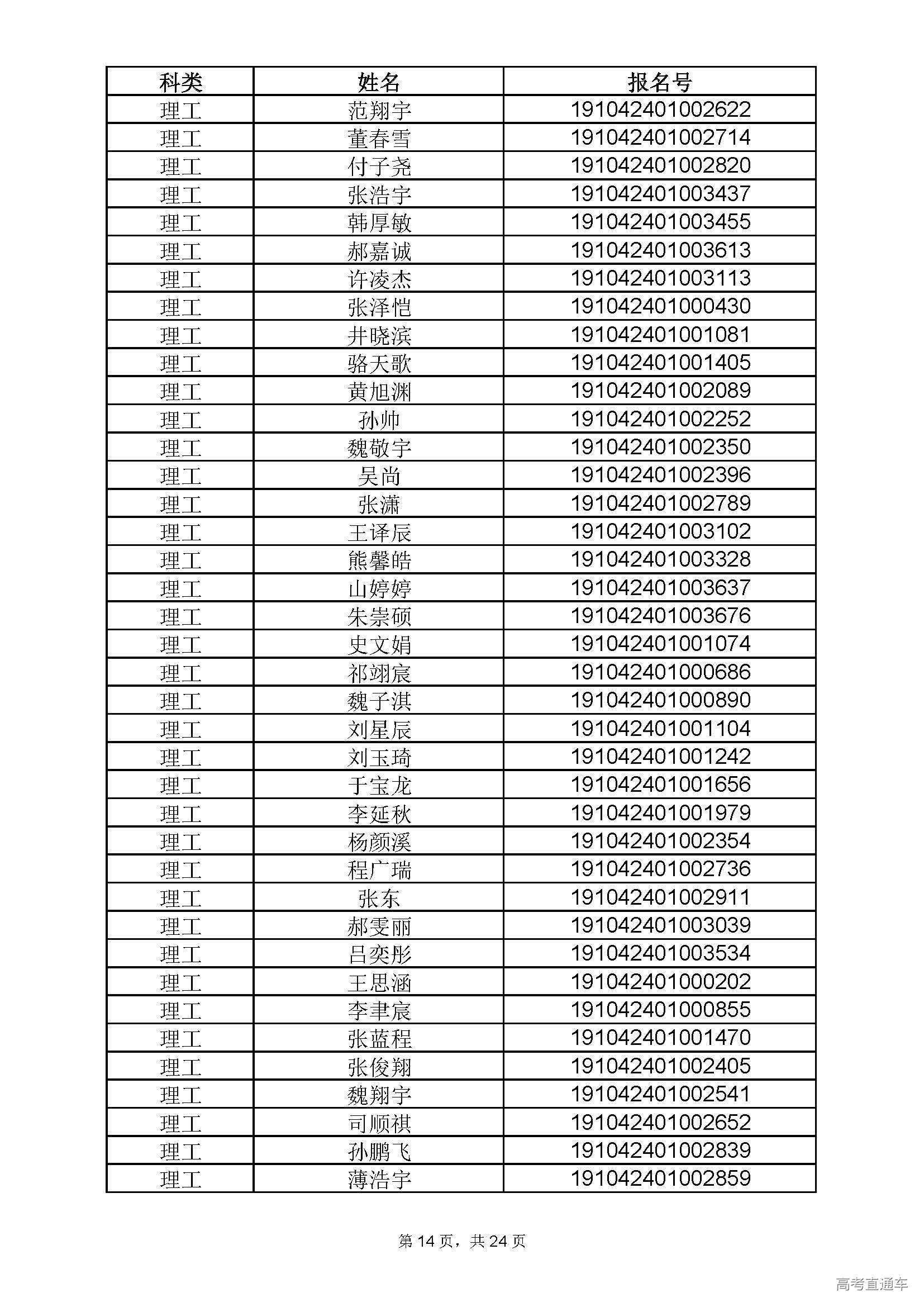
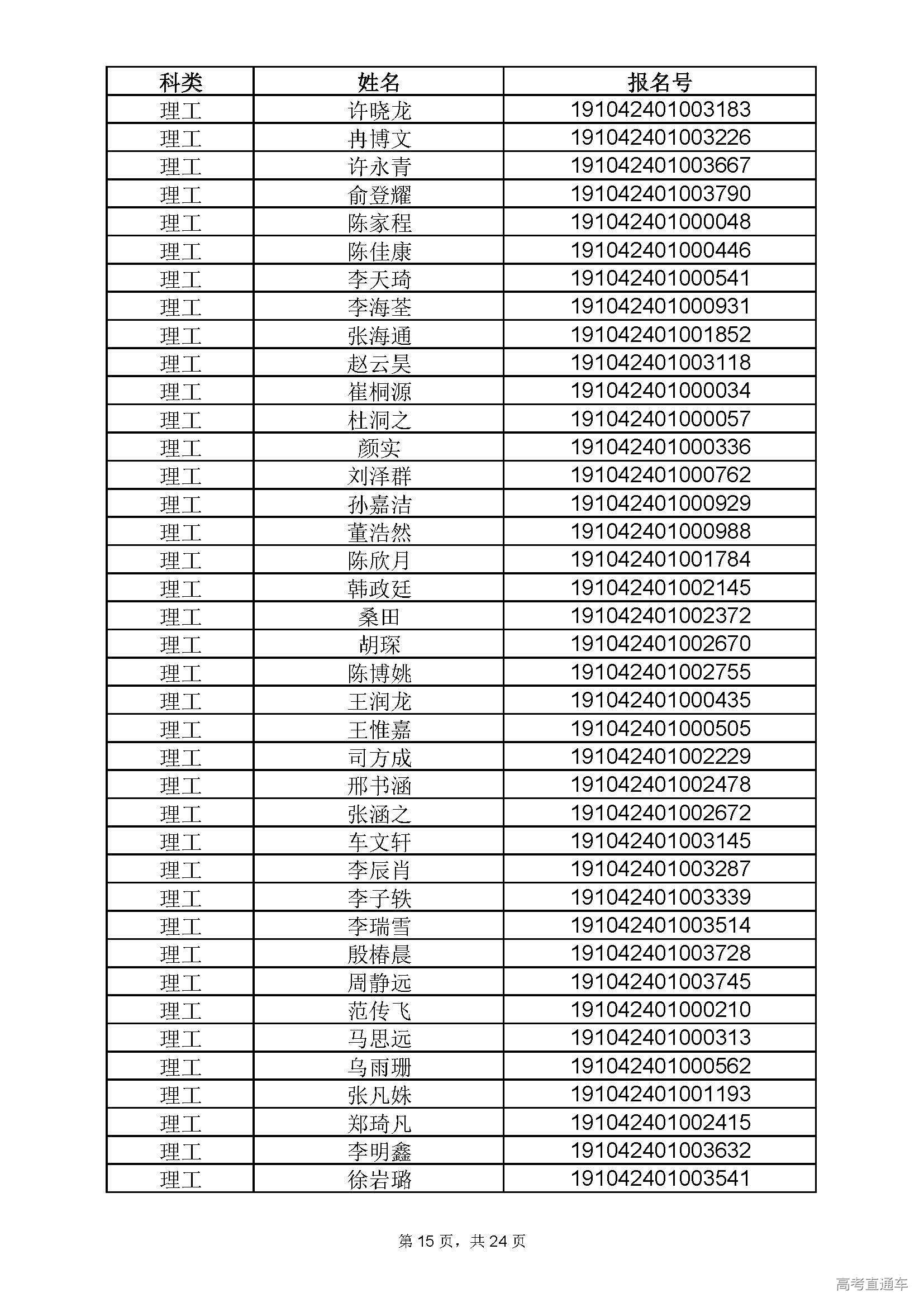
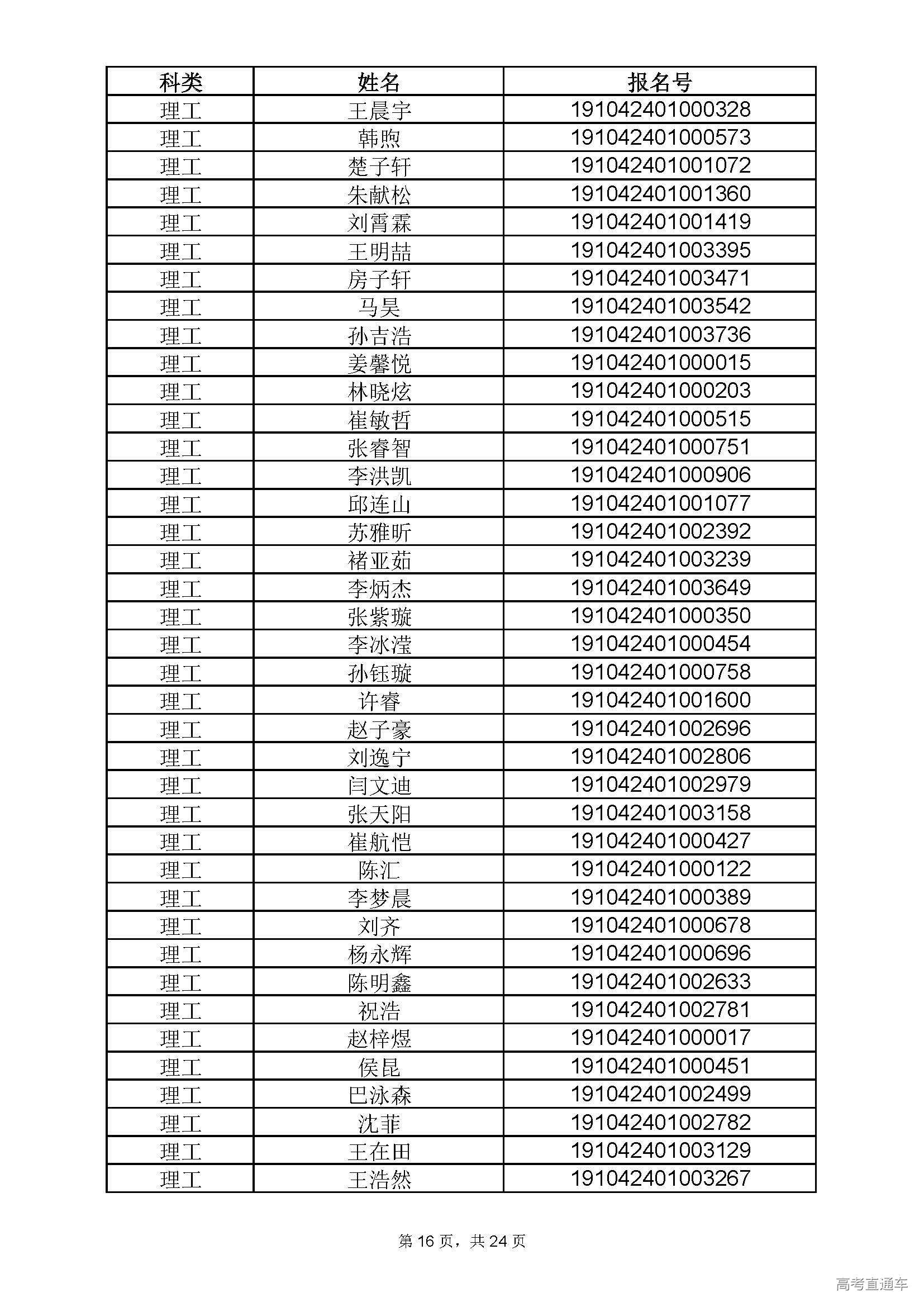
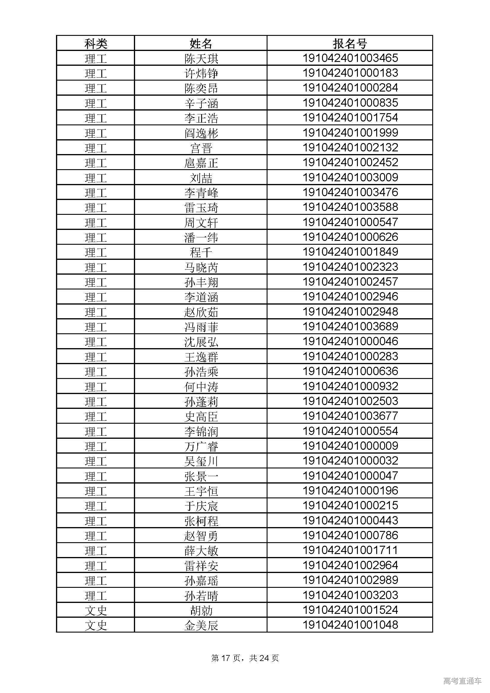
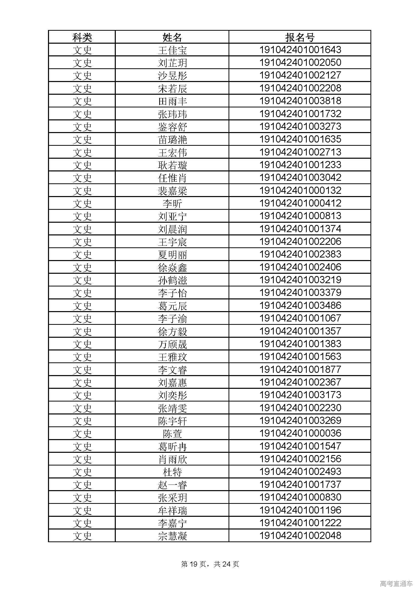
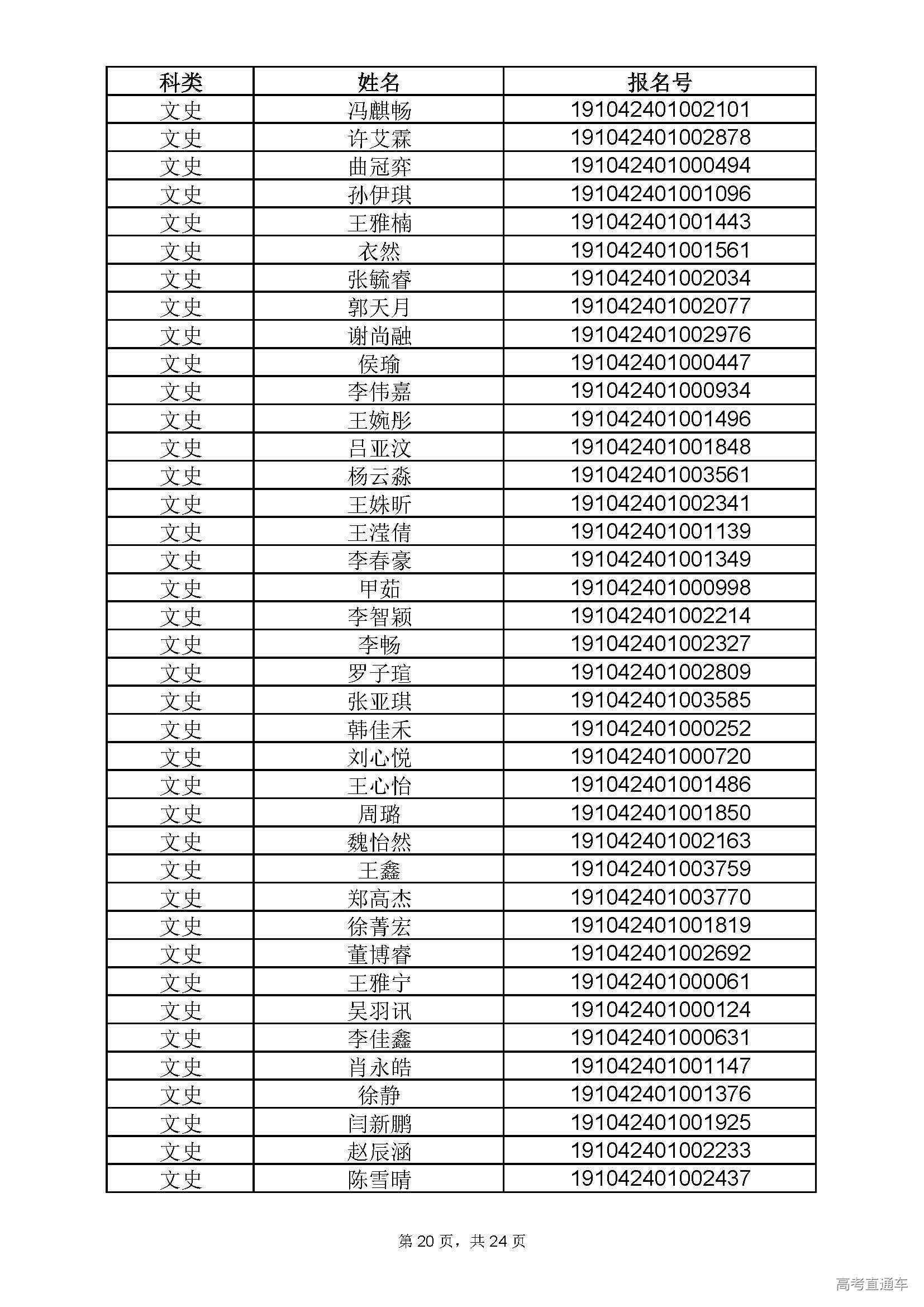
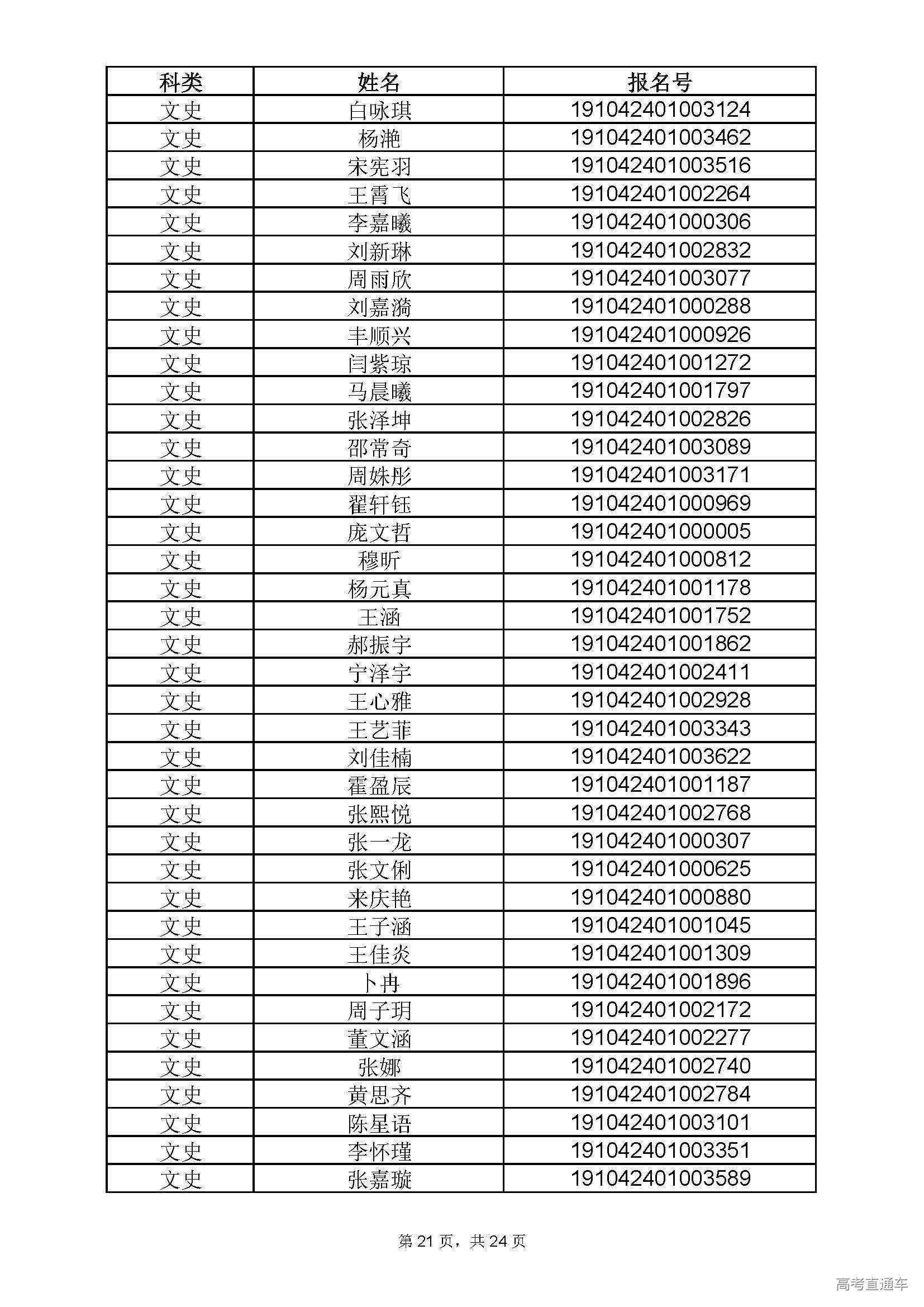
山东科技大学2019年综合评价招生考试已经结束,根据教育部、山东省相关文件和《山东科技大学2019年综合评价招生章程》的规定,学校招生领导小组确定了考试合格名单,详见附件,现予以公示,公示截止6月25日17时。如有异议,请于公示期间联系山东科技大学招生办公室,超出期限的异议不予受理。联系方式如下:
招生咨询电话:0532-86057077(工作日期间的8:30-11:30和14:30-17:30)
招生监督电话:0532-86058201(工作日期间的8:30-11:30和14:30-17:30)
考生可登陆山东科技大学成绩查询系统查询考试成绩(网址:http://xxfw.sdust.edu.cn/zhpj/account/login?ReturnUrl=%2fzhpj)。
根据山东省教育招生考试院要求,考生志愿纳入本科提前批次进行填报,高考投档成绩不低于首次划定的山东省本科普通批最低录取分数线。填报的专业志愿须在山东科技大学公布的综合评价招生计划专业范围内,文理不得跨科类填报。
投档录取时,学校按综合成绩从高分到低分进行录取。综合评价成绩由统一高考成绩、高中学业水平考试成绩、学校考核成绩三部分组成,其中统一高考成绩占60%、高中学业水平考试成绩占10%、学校考核成绩占30%。
学业水平测试成绩满分为100分,其中,A等计10分,B等计8分。学业水平测试成绩以教育厅提供的数据为准。























