各有关普通高等学校:
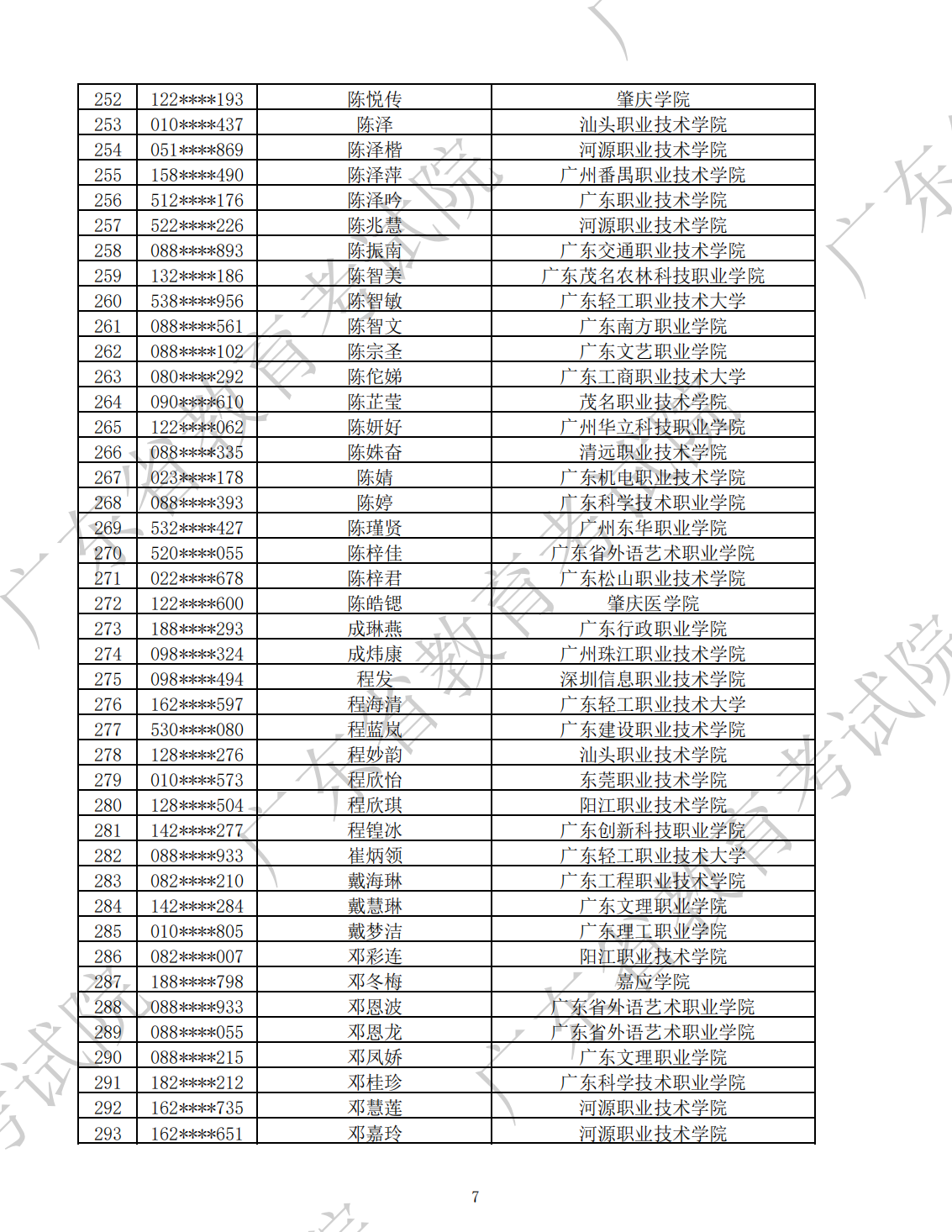
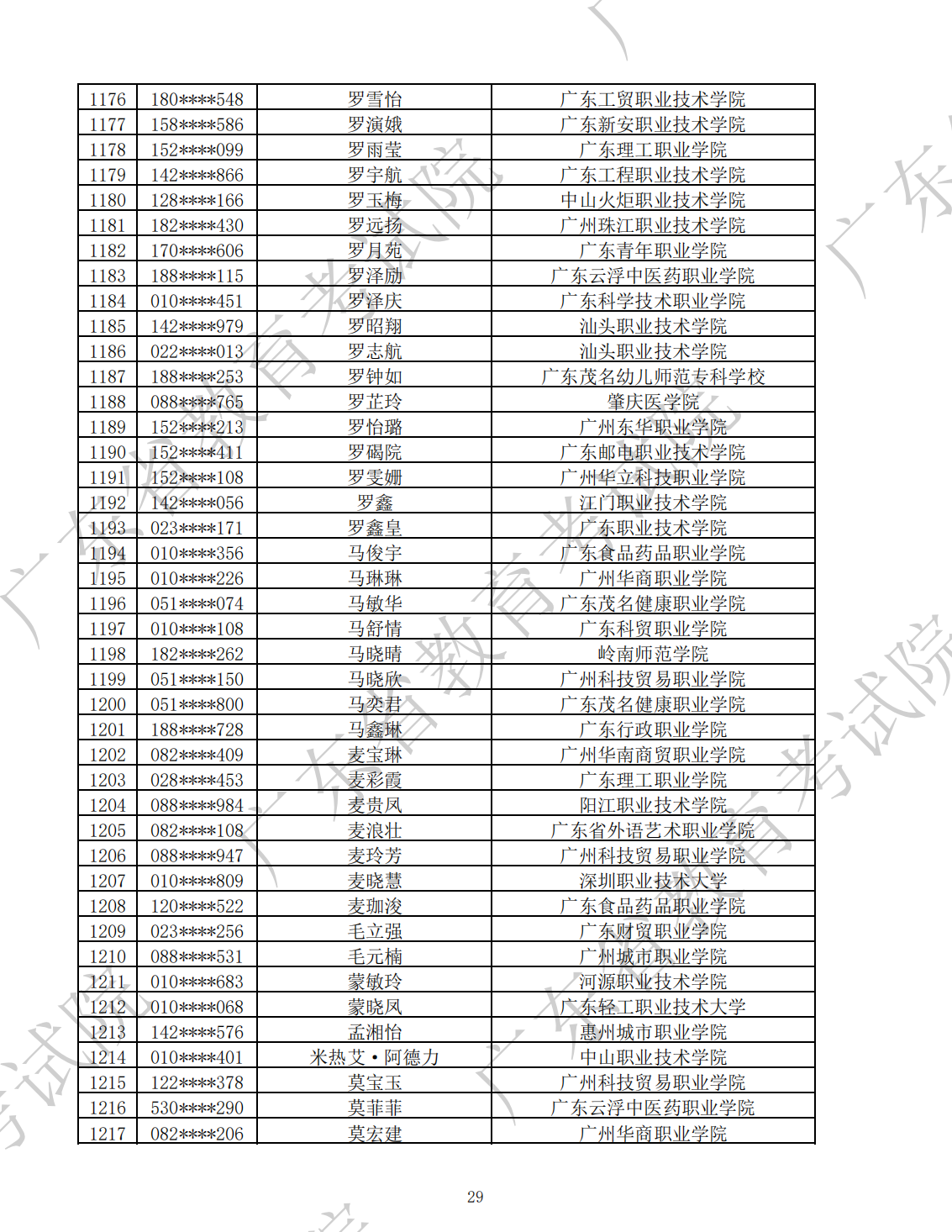
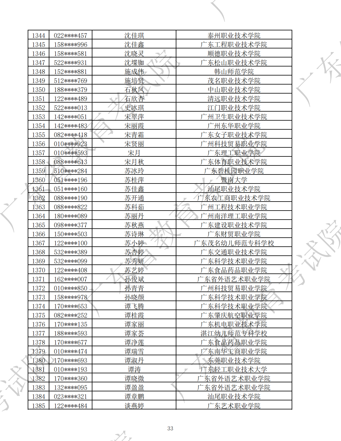
根据《关于做好2025年普通高等学校专升本考试招生工作的通知》(教学司〔2024〕12号)、《教育部办公厅关于做好世界技能大赛获奖保送的通知》(教学厅〔2020〕3号)、《广东省教育厅关于印发<广东省中国“互联网+”大学生创新创业大赛激励措施>的通知》有关精神和要求,按照《关于印发<广东省2025年普通高等学校专升本招生工作规定>的通知》(粤招办普〔2024〕50号)、《关于做好广东省2025年普通高等学校专升本免文化课考试招收退役大学生士兵工作的通知》(粤招办普〔2024〕51号)有关规定,我办对申报广东省2025年普通专升本招生退役大学生士兵、建档立卡、加分资格的考生进行了汇总复核确认。其中,退役大学生士兵考生由我办会同省征兵办审核后确认,共7084名(荣立三等功以上的1188名)符合退役大学生士兵条件(见附件1);广东省户籍原建档立卡考生名单由我办根据省农业农村厅提供的数据比对后确认,非广东户籍建档立卡考生由考生提交相关证明材料经我办审核后确认,共2144名(见附件2);加分资格由考生提交相关证明材料,我办审核后确认,共1028名(见附件3)。现将上述考生名单发给你们,并就有关工作安排通知如下:
一、资格名单3月19日起在广东省教育考试院网站(网址:http://eea.gd.gov.cn/)公示,公示信息保留至2025年底。
二、如对公示名单有异议,可向省教育考试院反映,联系电话:020-62833628。反映意见须内容真实且具体明确,属个人反映的需签署真实姓名、联系电话,属单位反映的需加盖公章、注明联系方式,否则不予受理。
附件:1.具有退役大学生士兵资格的考生名单
2.具有建档立卡资格的考生名单
3.具有加分资格的考生名单
广东省招生委员会办公室
2025年3月19日


















































































































































































