根据四川省人民政府征兵办公室、四川省高等教育招生考试委员会、四川省教育厅《关于做好2021年做好招收定向培养士官工作的通知》(川征〔2021〕27号),按照“在本科二批录取控制分数线以下、专科批录取控制分数线以上,按考生志愿和高考成绩从高到低的顺序,分性别和科类,依照招生计划数的4倍确定定向培养士官录取控制分数线﹝超过我省本科第二批控制分数线(含),填报了定向培养士官院校志愿的考生,全部纳入体检名单,不计入比例﹞”的原则,划定招收定向培养士官体检控制分数线为:文科男生368分,文科女生472分,理科男生150分,理科女生414分。
特别提醒:
1.定向培养士官体格检查和面试工作由考生准考证号归属地的市(州)统一组织。
2.报考定向培养士官由考生填报高考志愿进行,且为唯一报名途径,官方不会委托其他任何机构或个人办理报名事宜。
3.报考定向培养士官不需要缴纳任何费用,报名、体检等全过程均不收费。
4.考生体检、政治考核、面试均合格后,能否录取为定向培养士官全凭个人高考成绩,省教育考试院将严格按照相关规定投档录取,录取后没有任何培训费用。
5.各类以赢利为目的宣传推介均不可信,请广大考生和家长注意防范,如有可疑情况请向当地兵役机关或教育部门咨询核准。
附件:
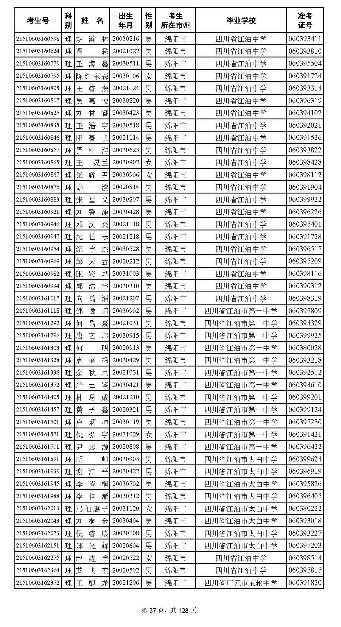
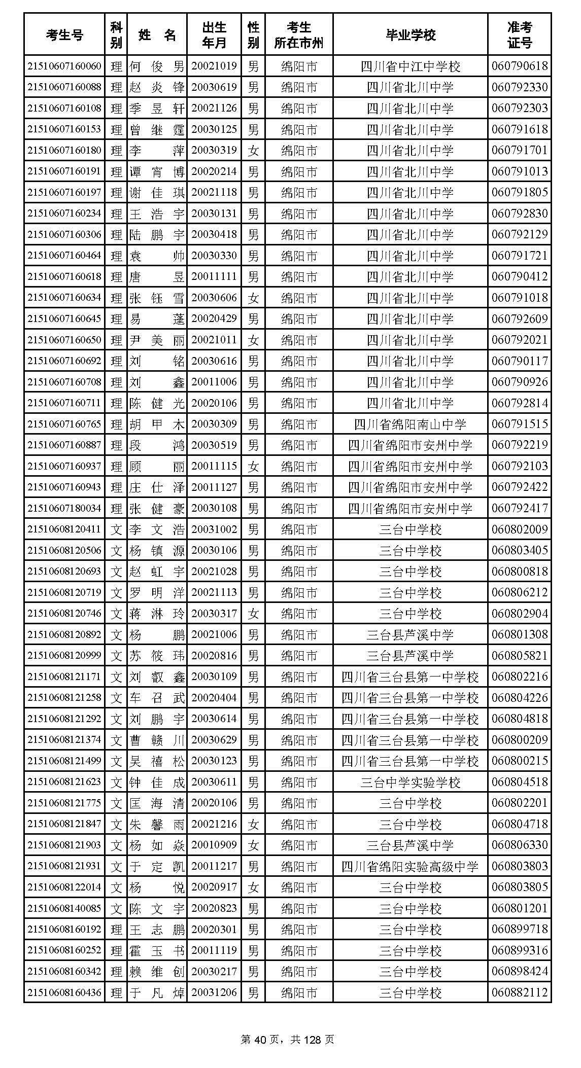
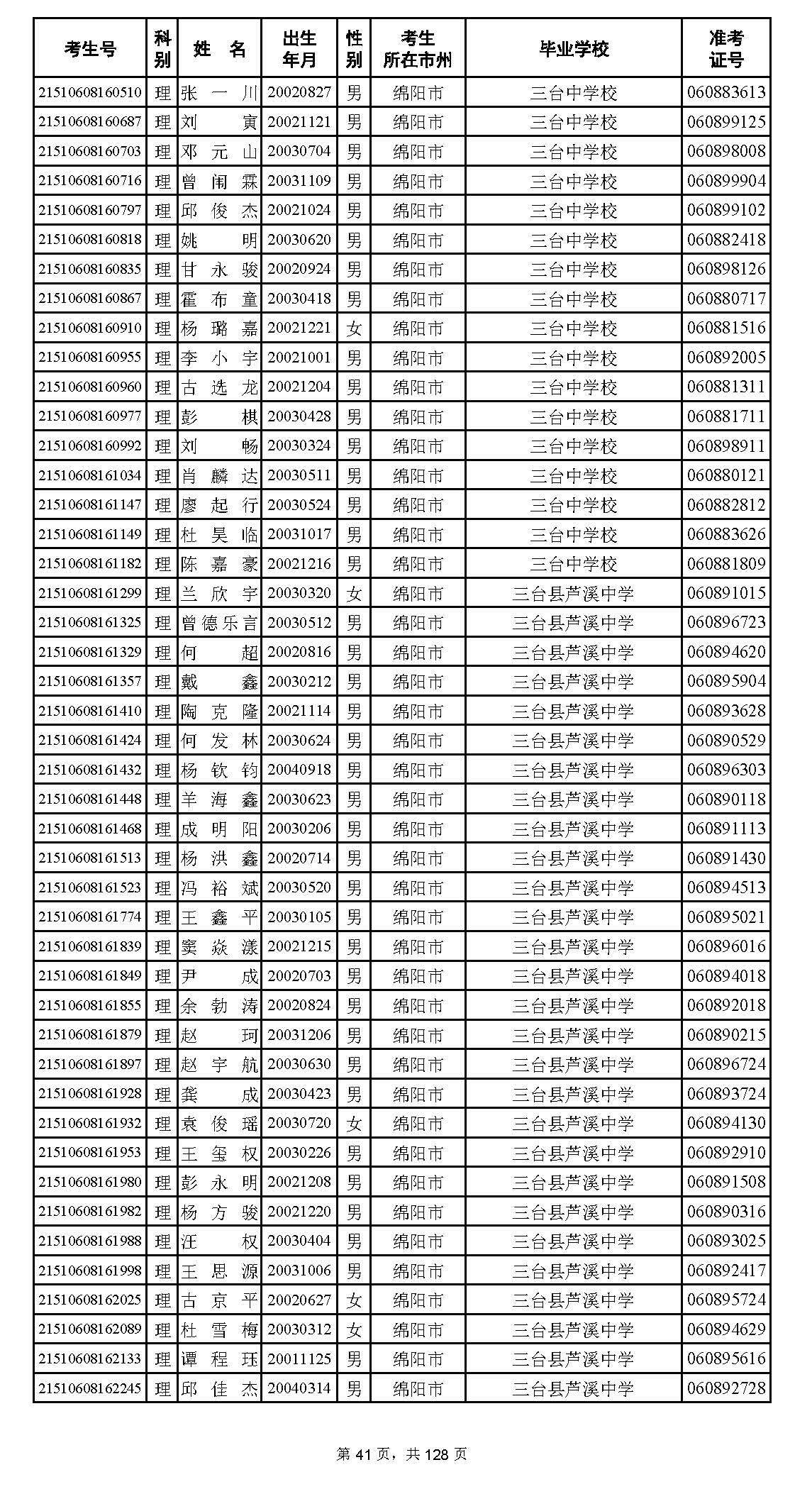
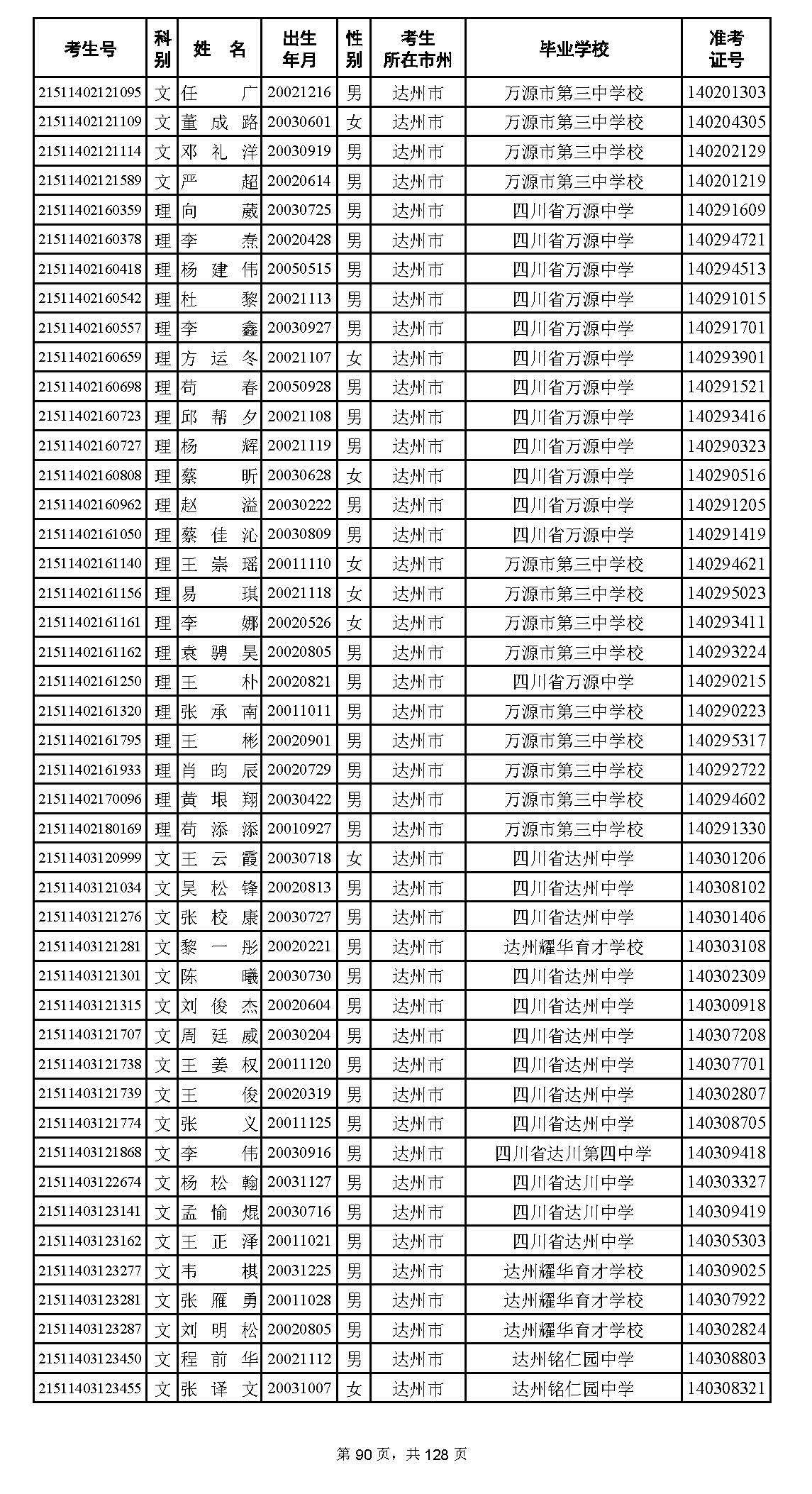
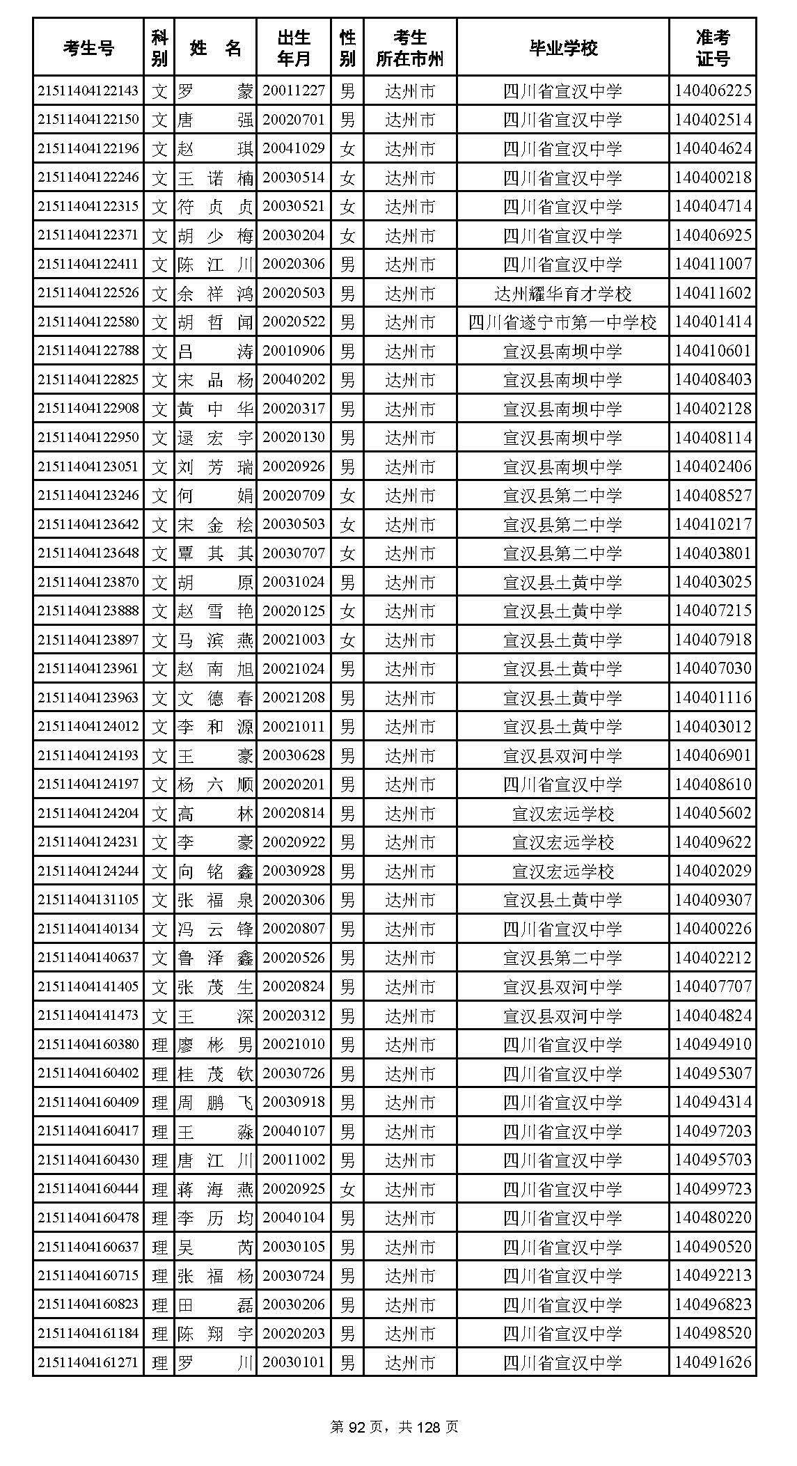
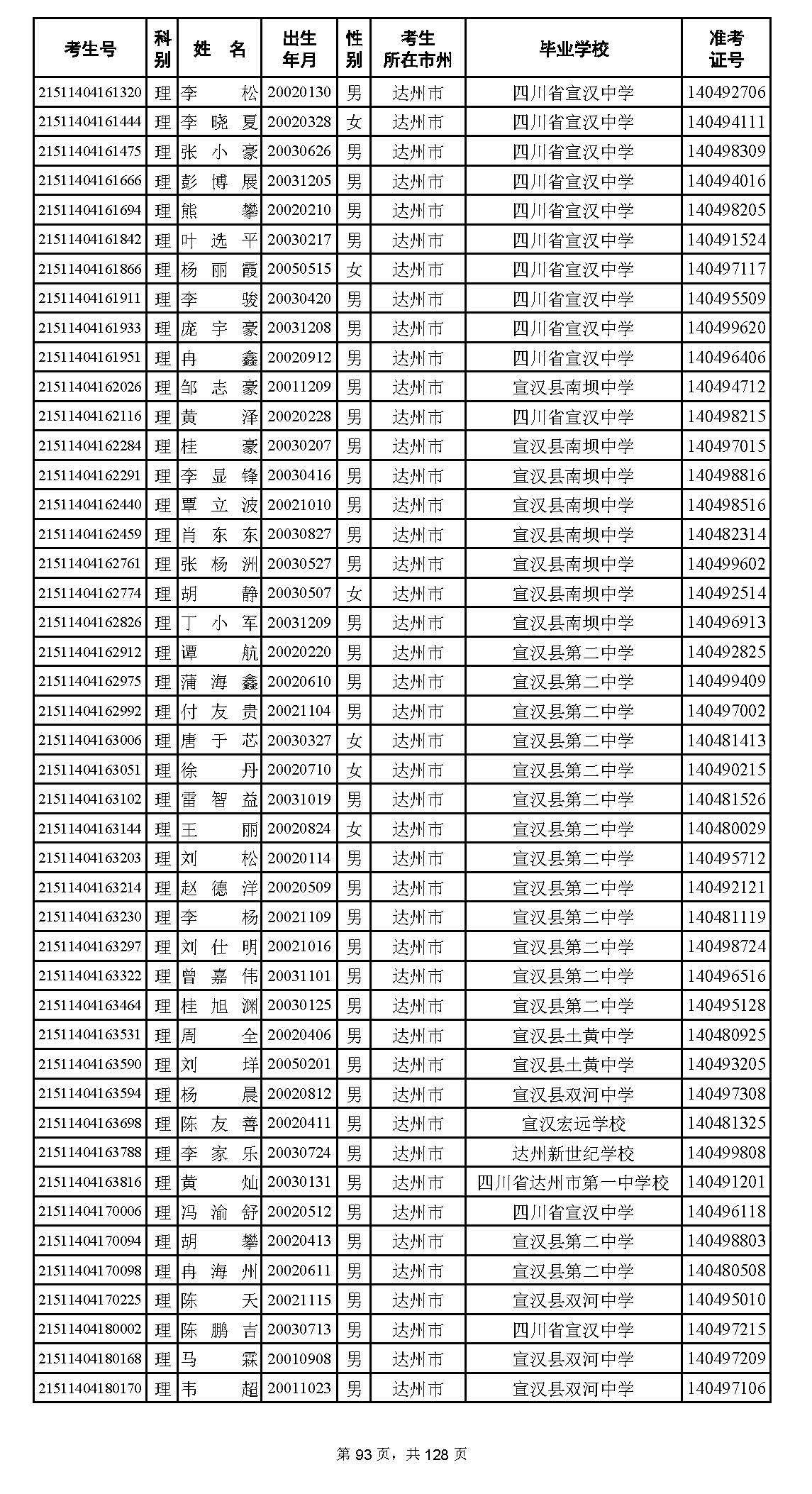
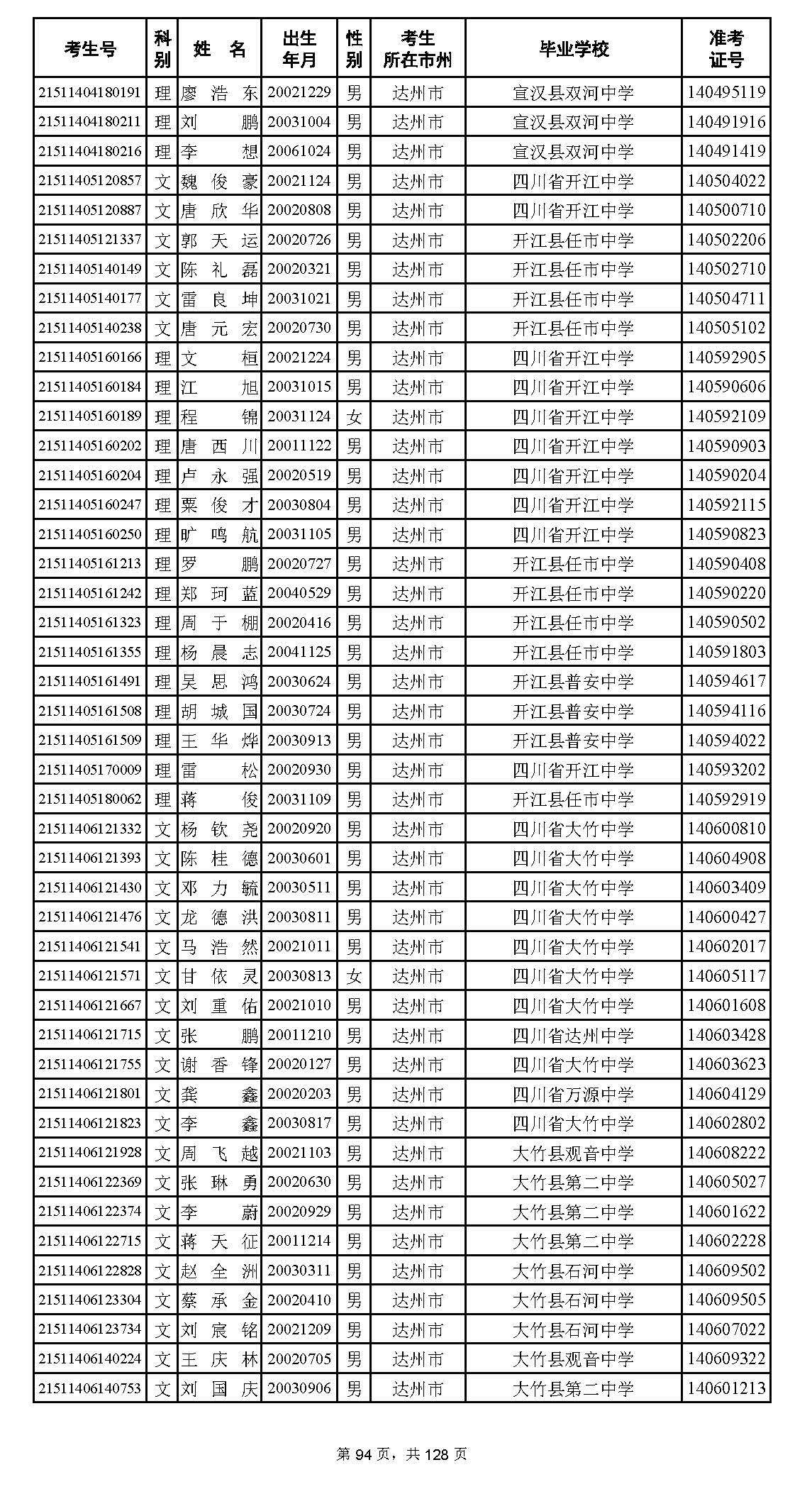
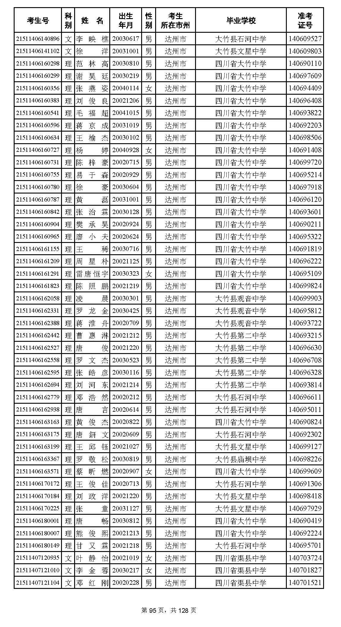
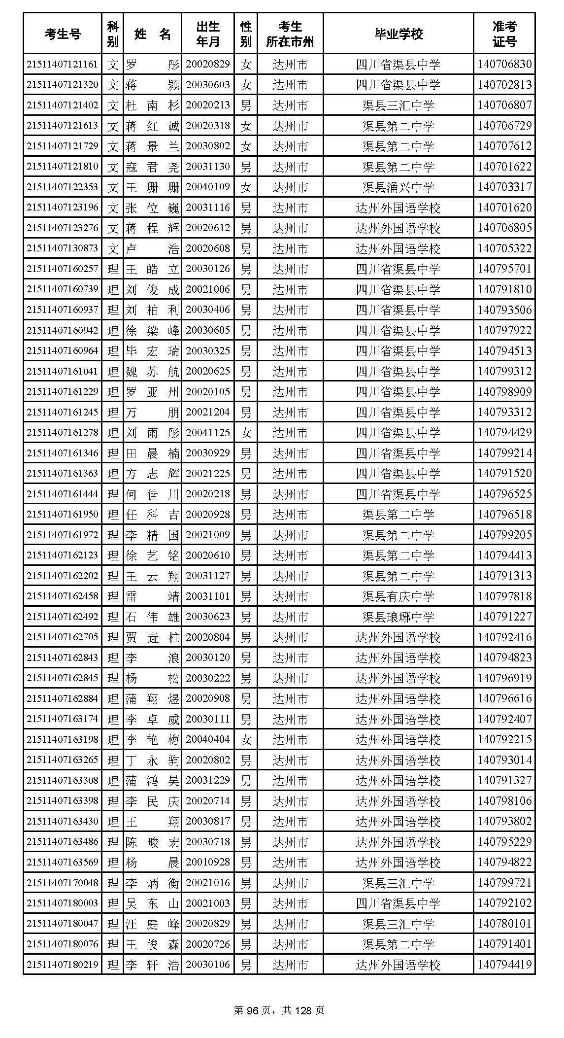
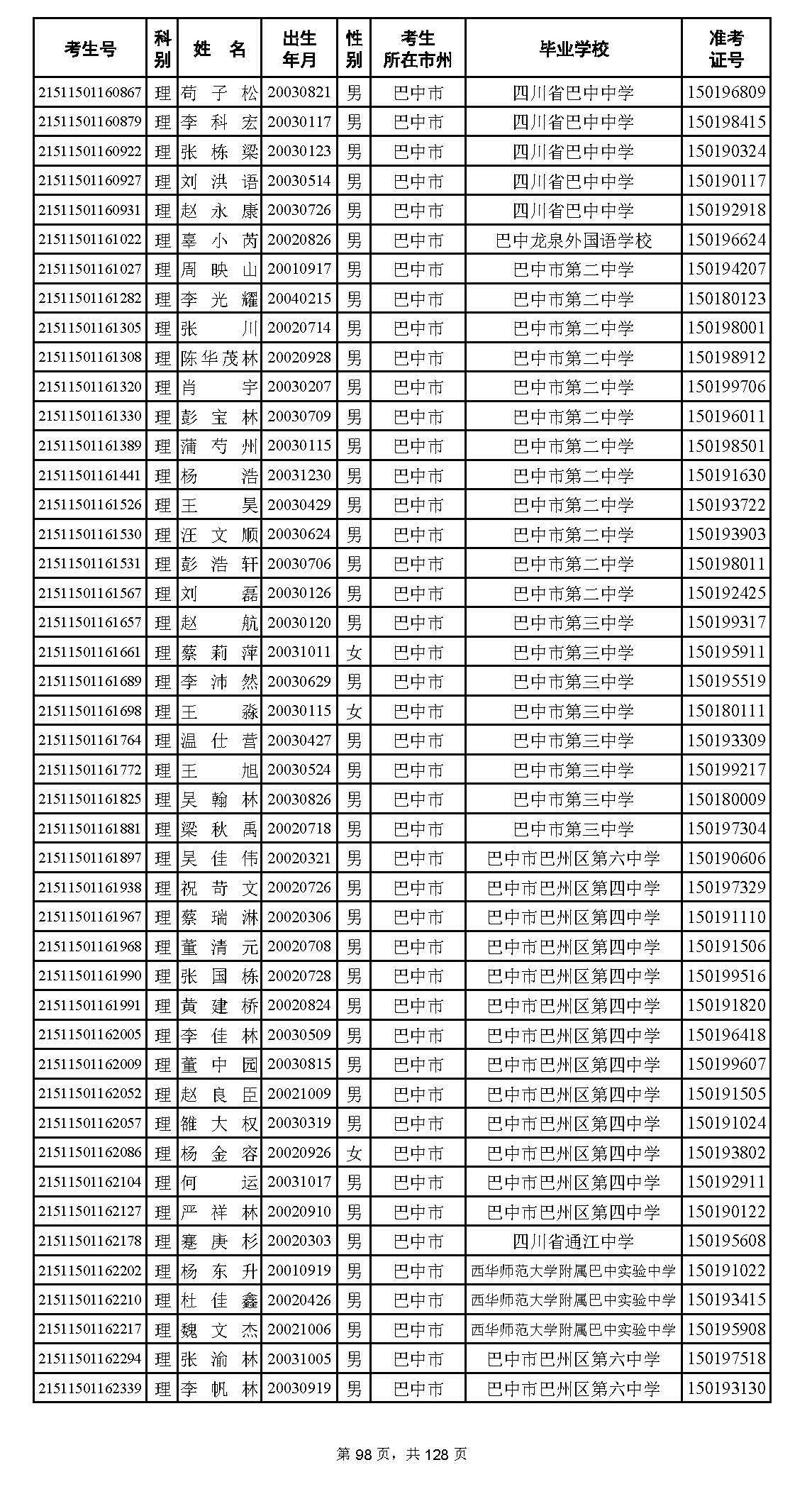
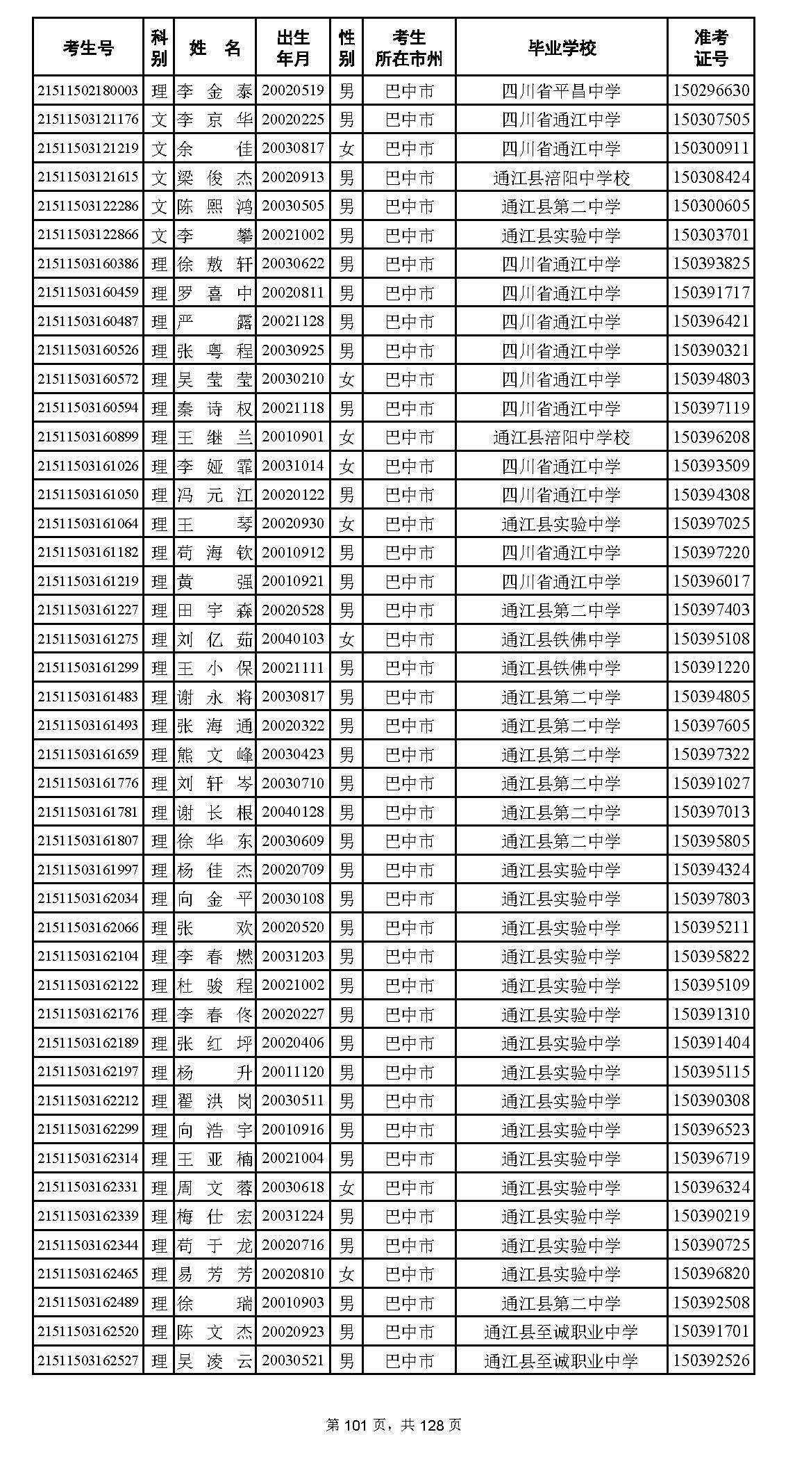
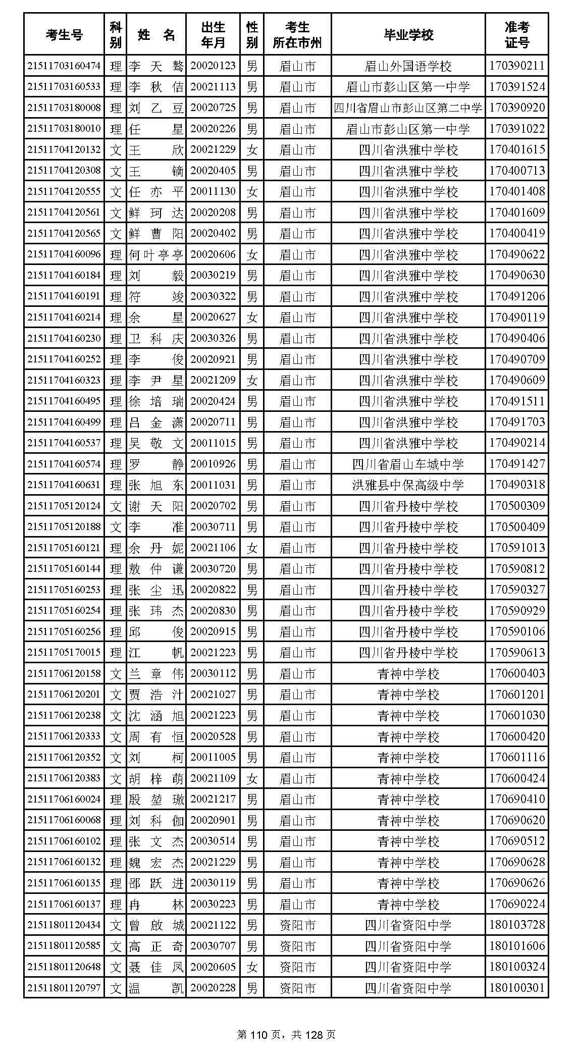
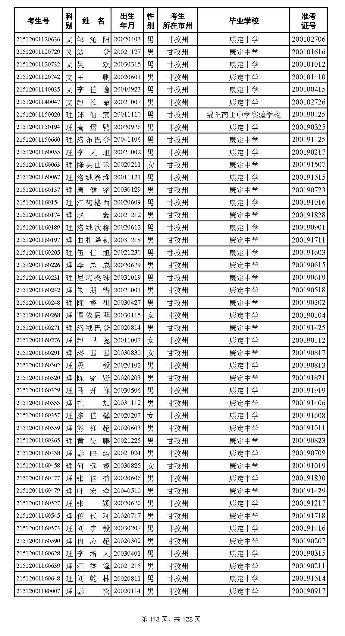
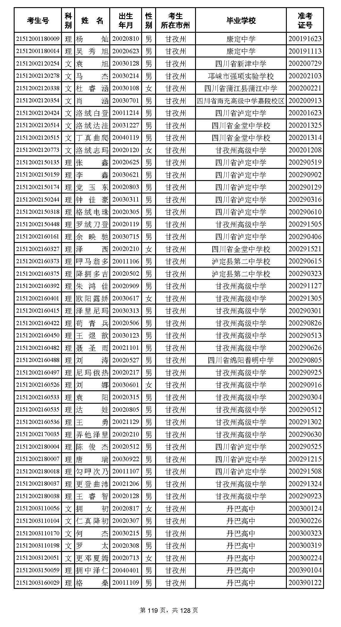
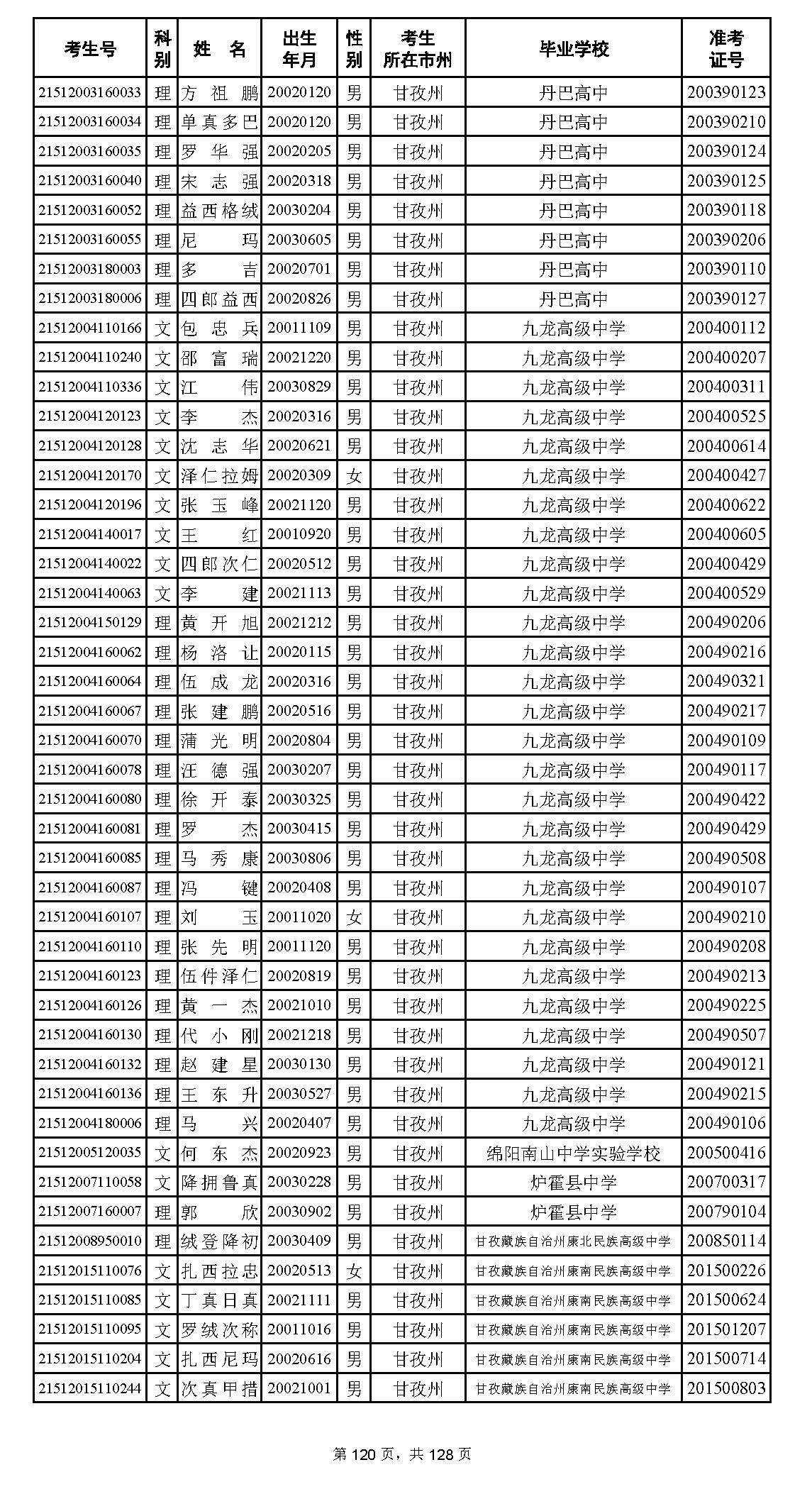
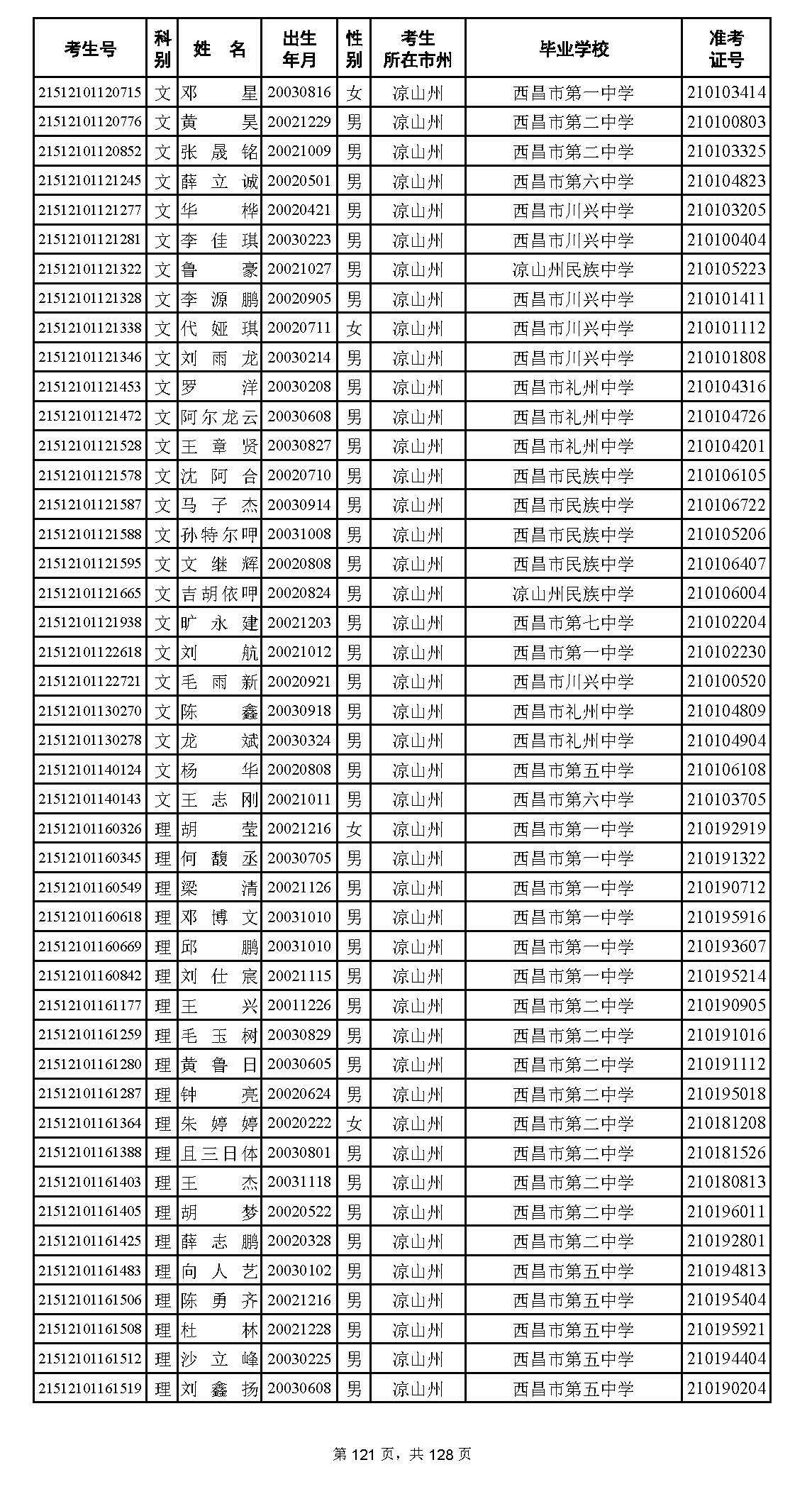
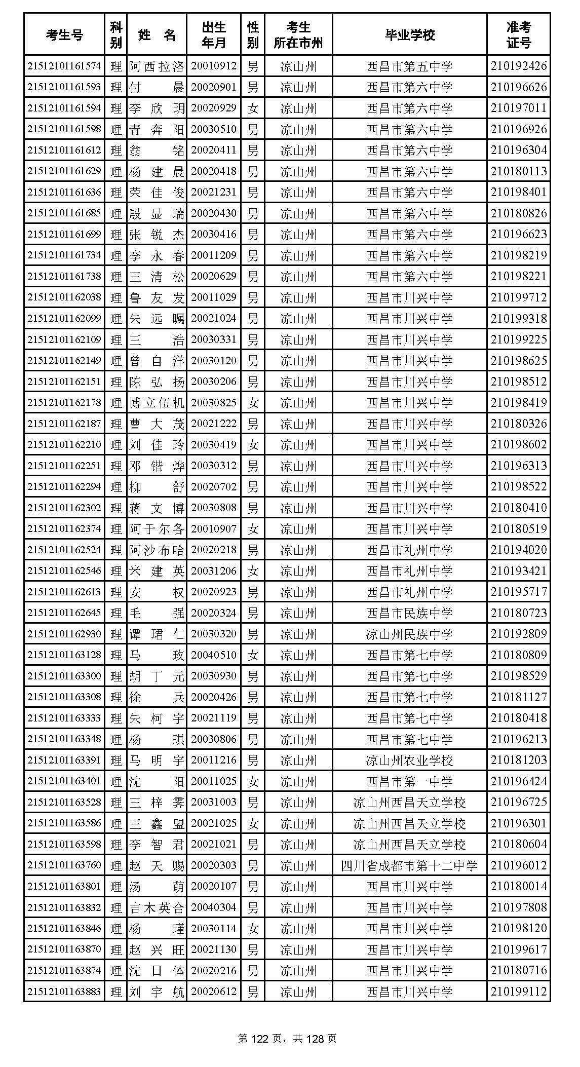
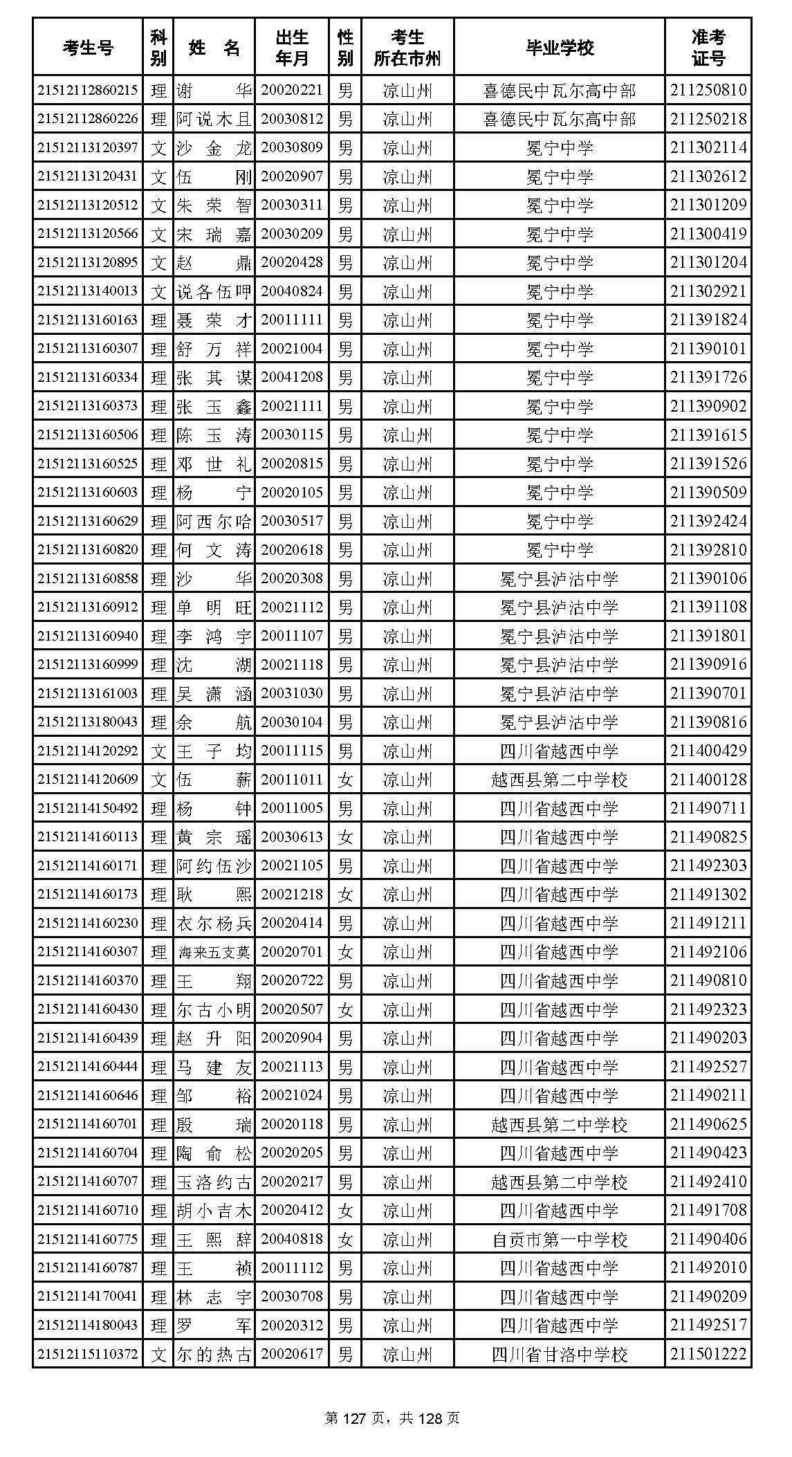
1.2021年四川省招收定向培养士官体检考生名单【下载】
2.2021年四川省各市州定向士官体检面试时间安排【下载】
































































































































