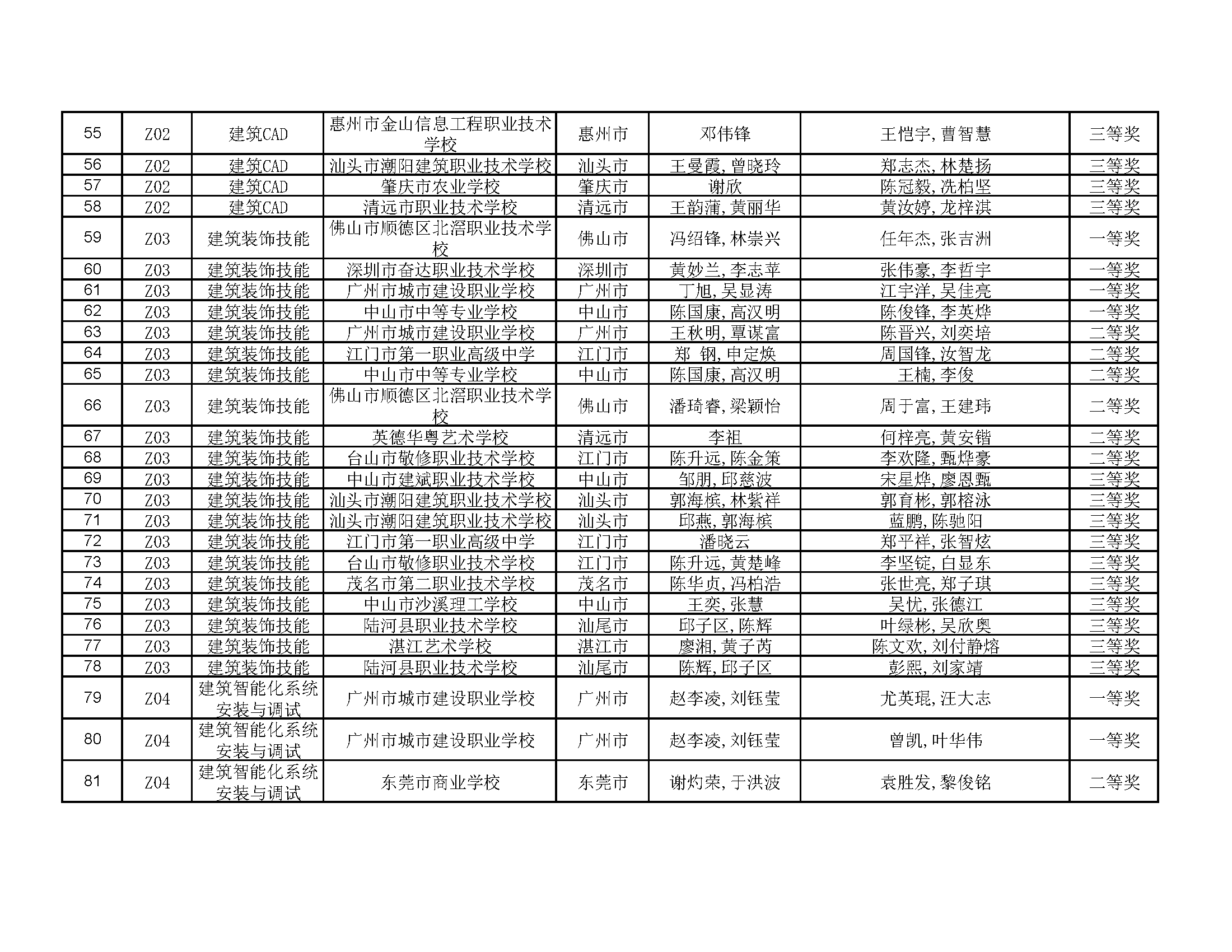
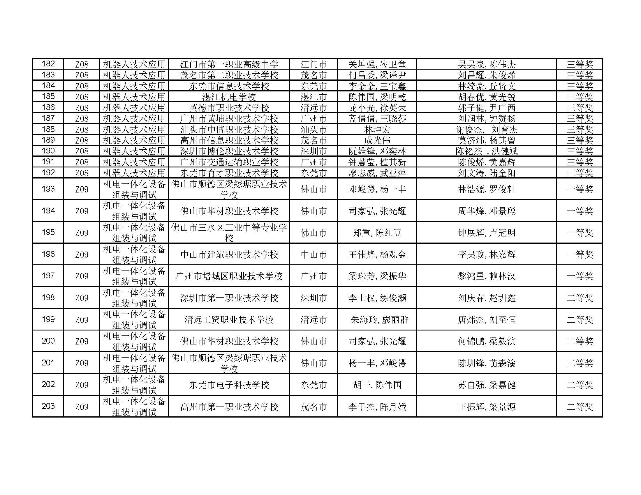
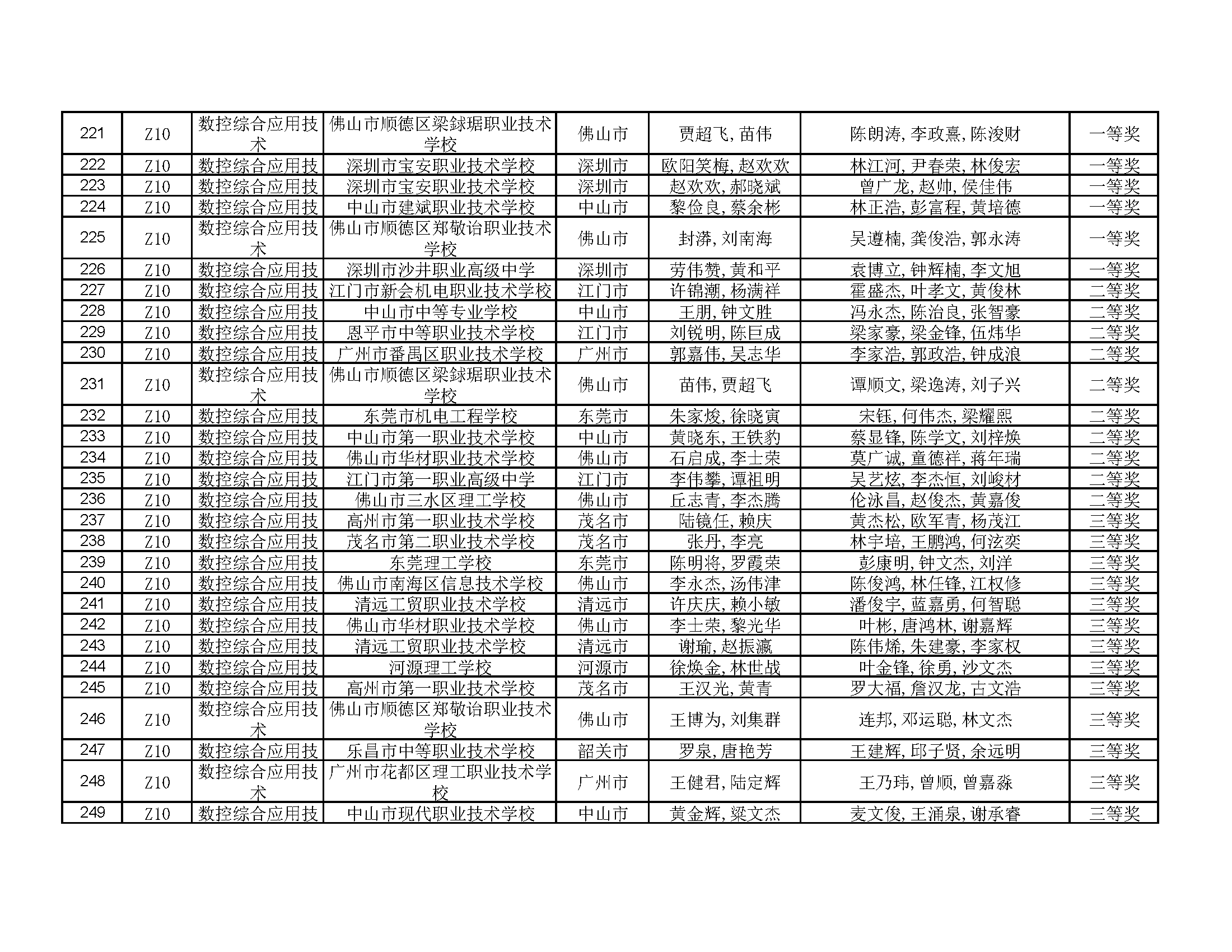
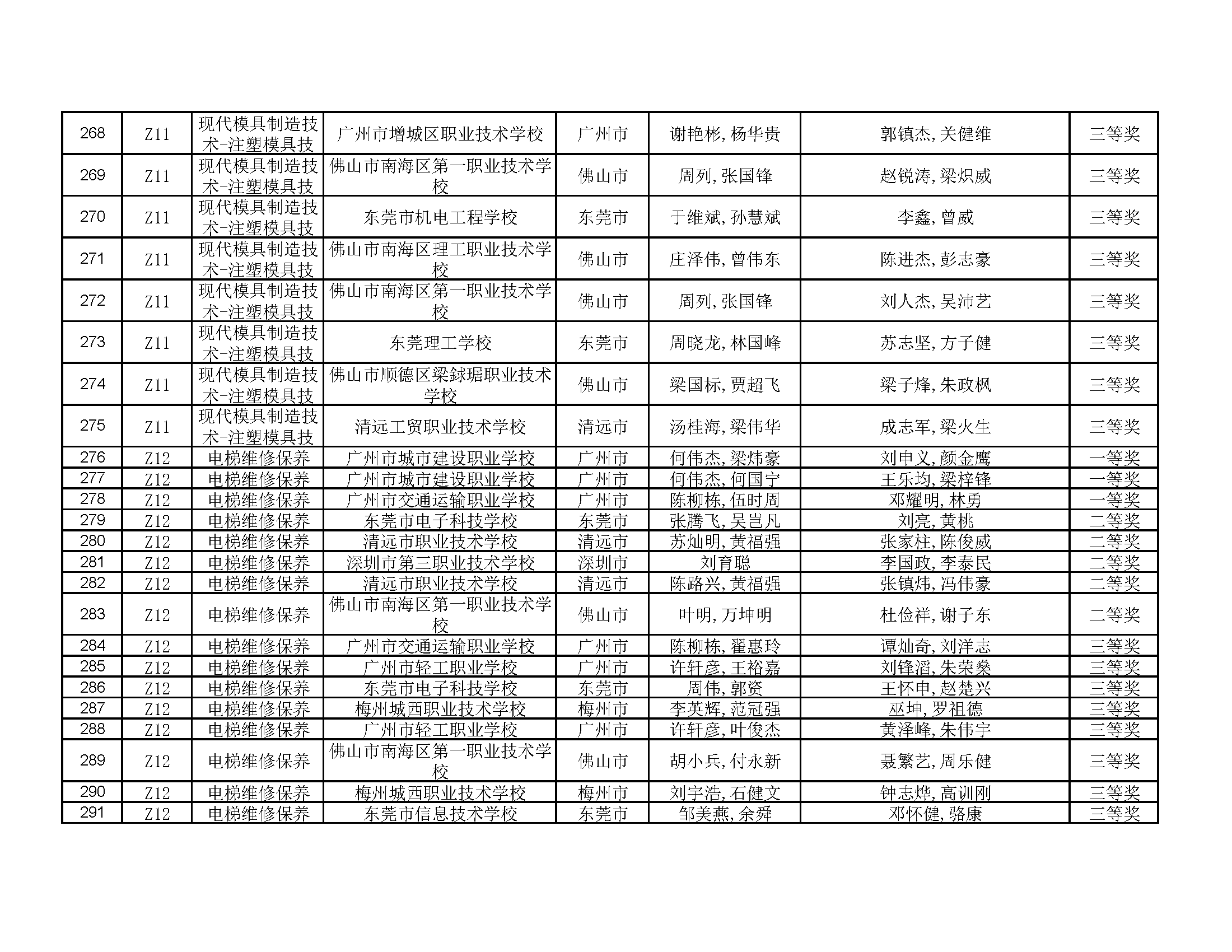
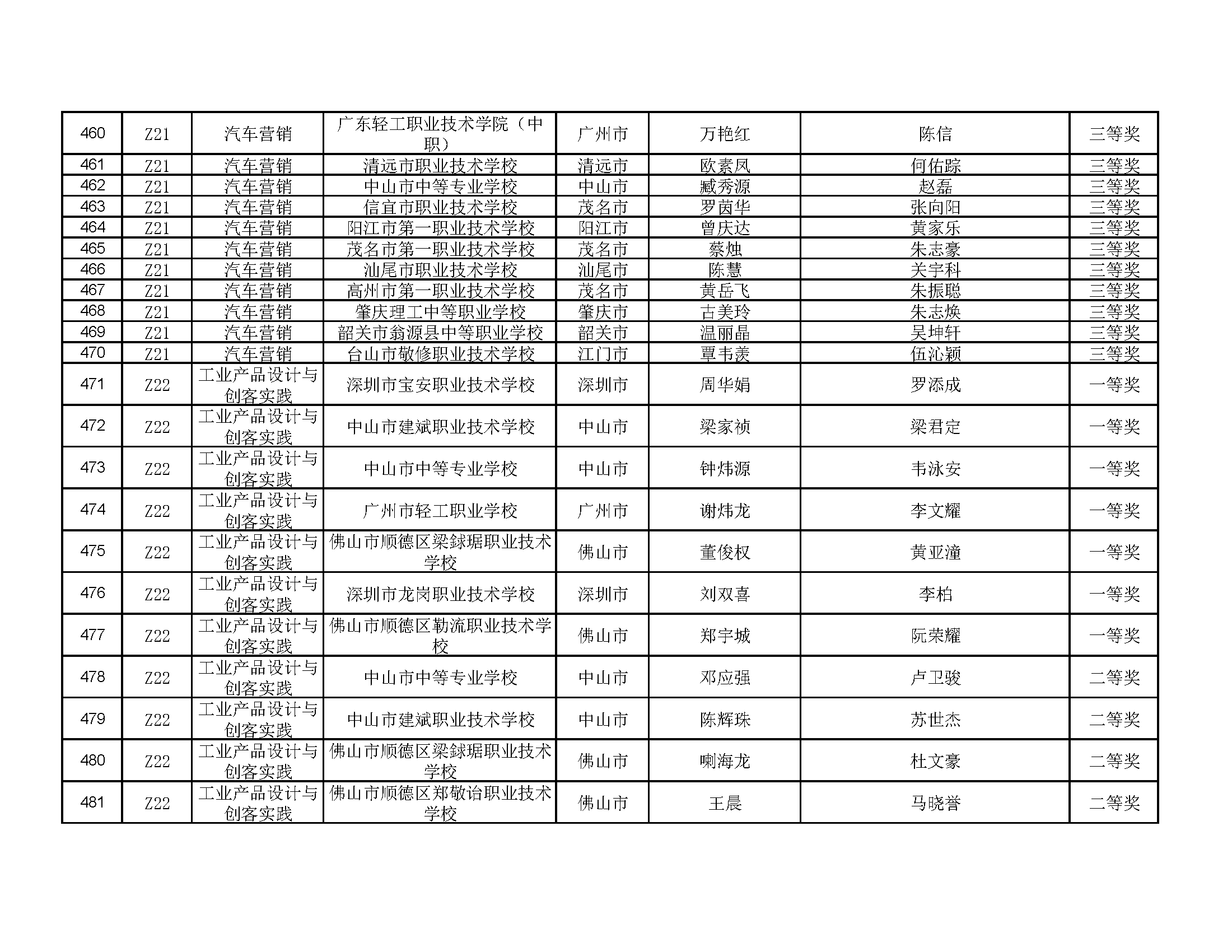
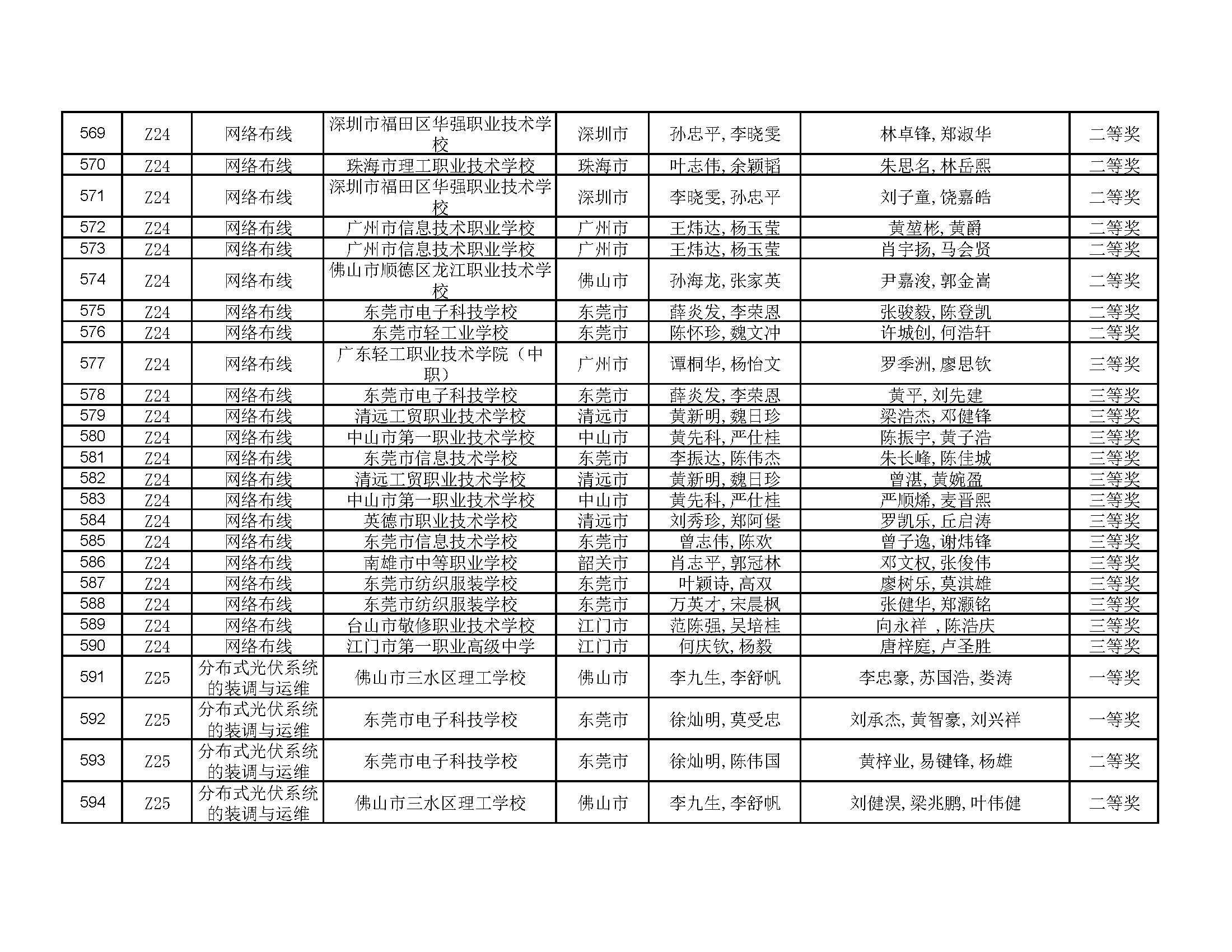
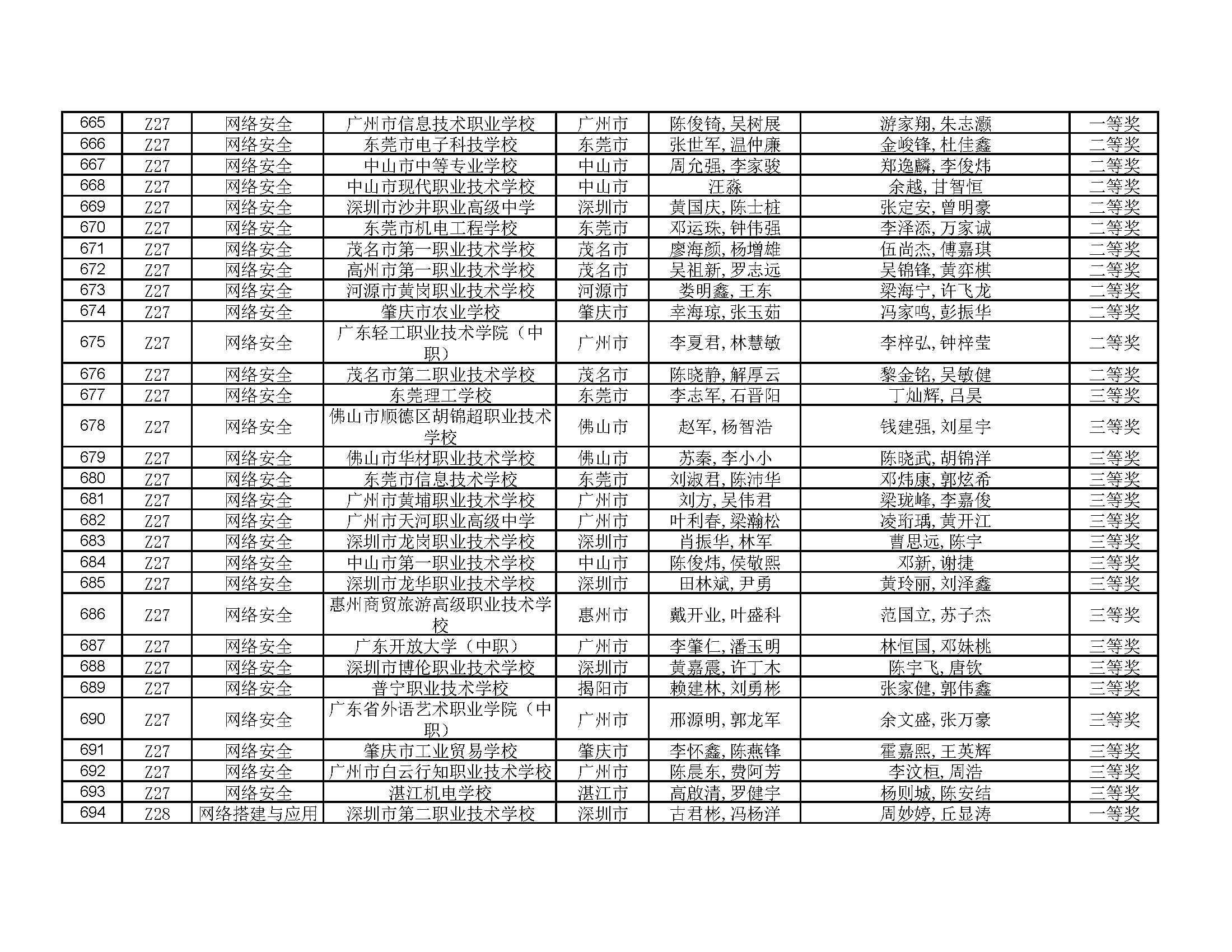
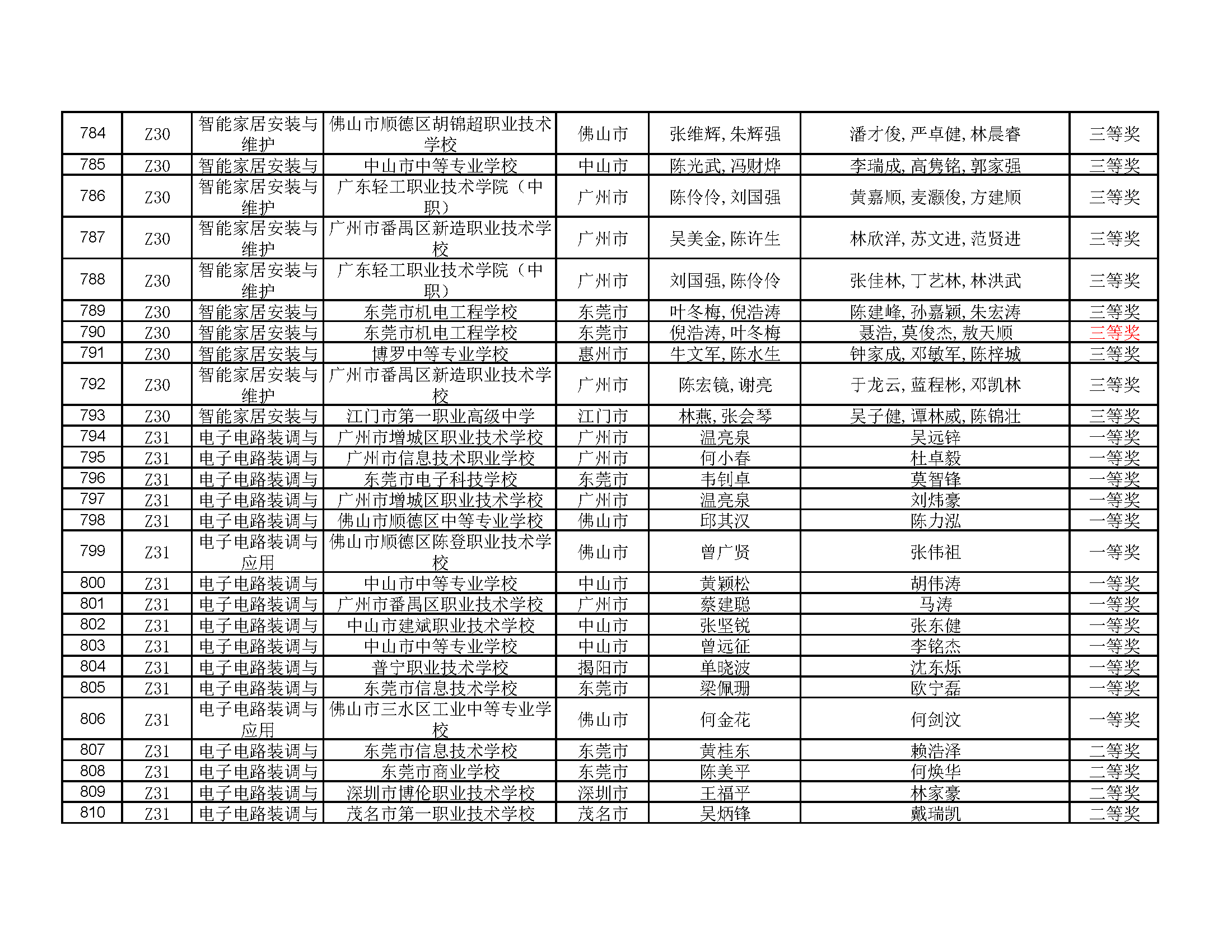
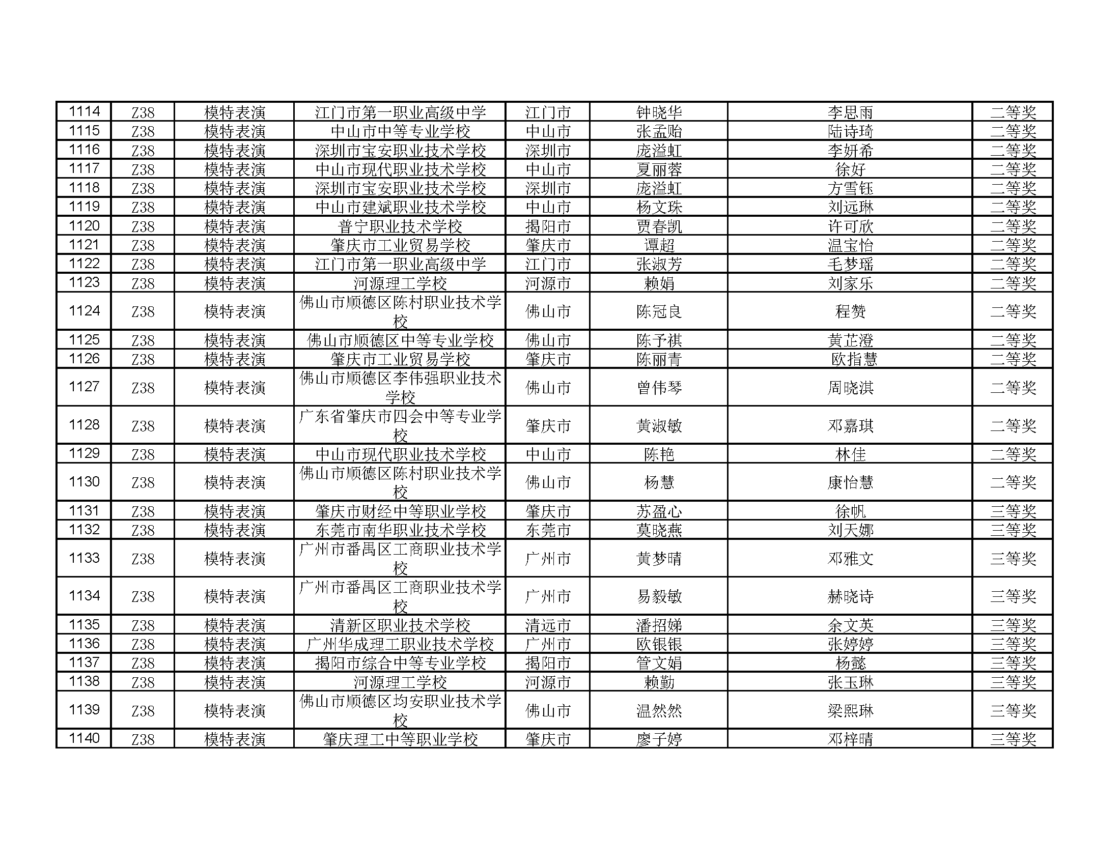
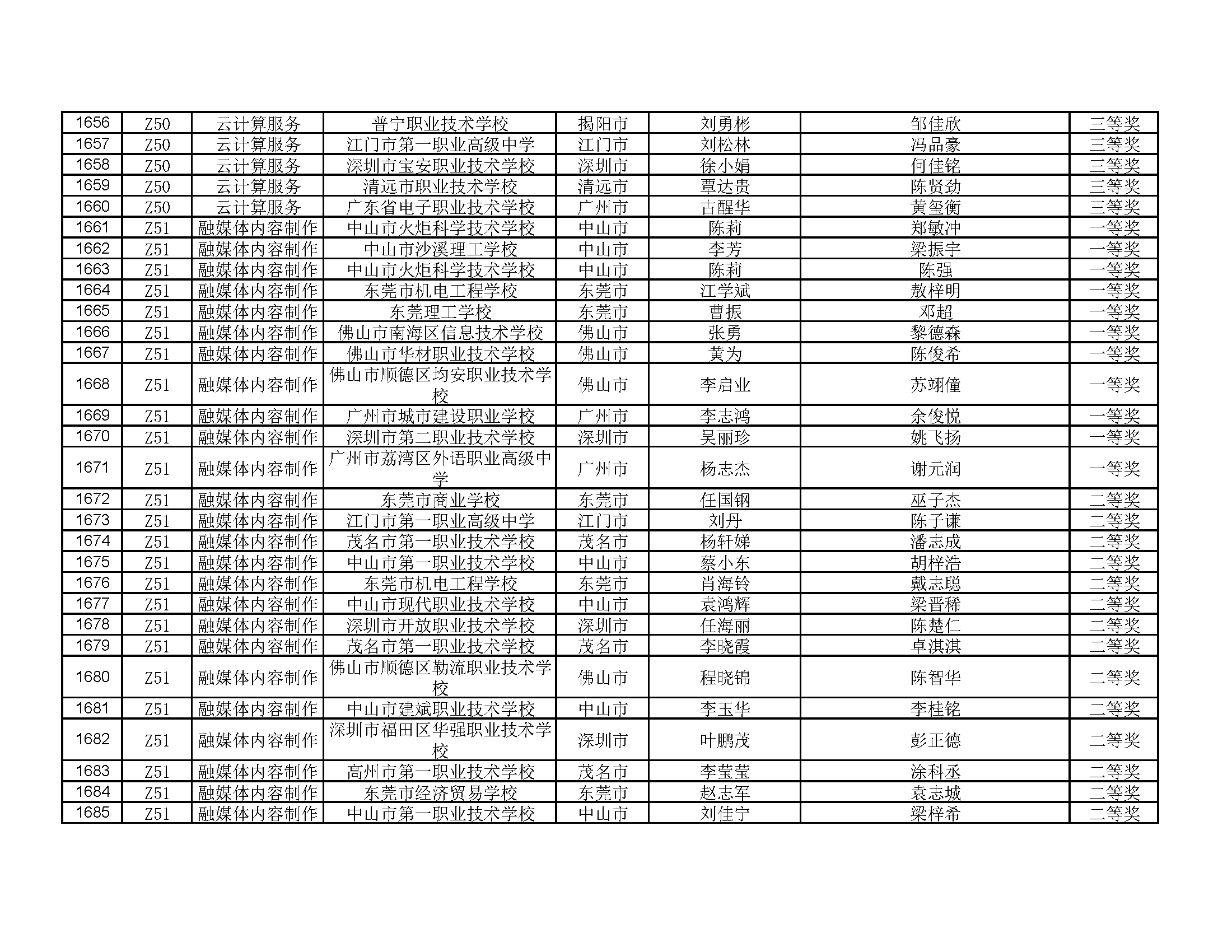
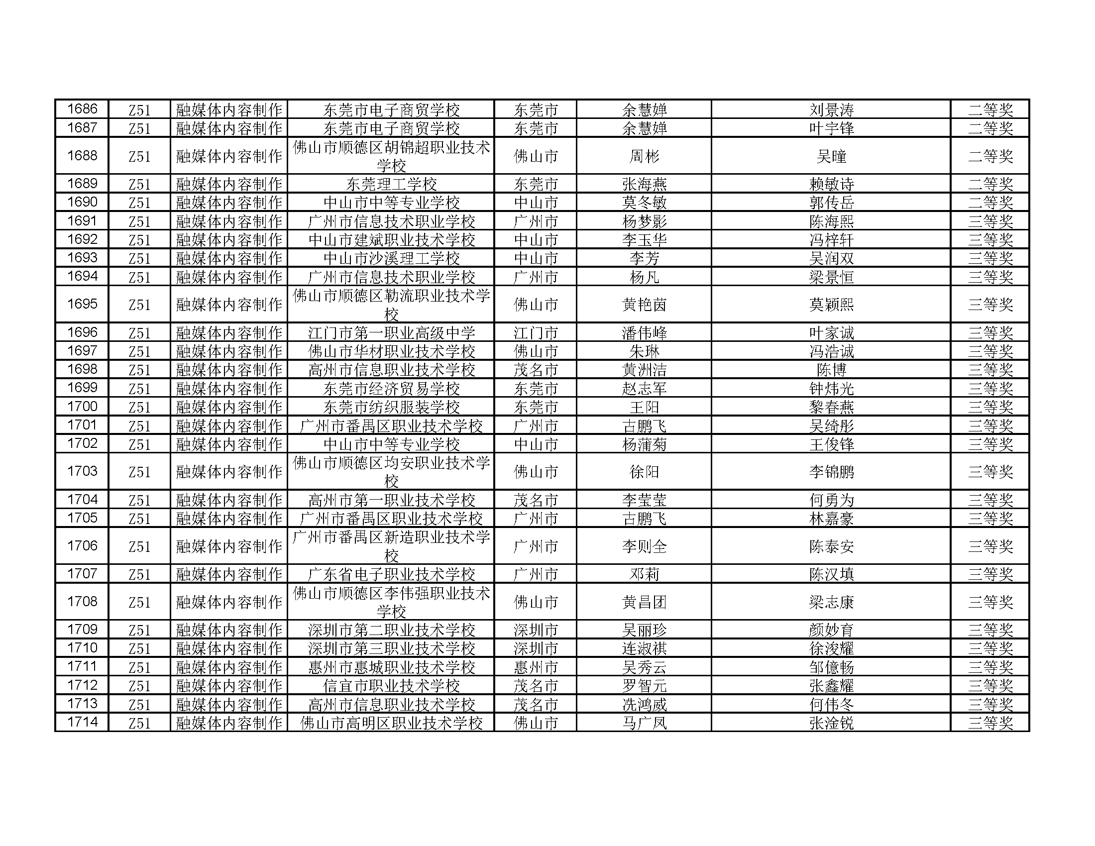
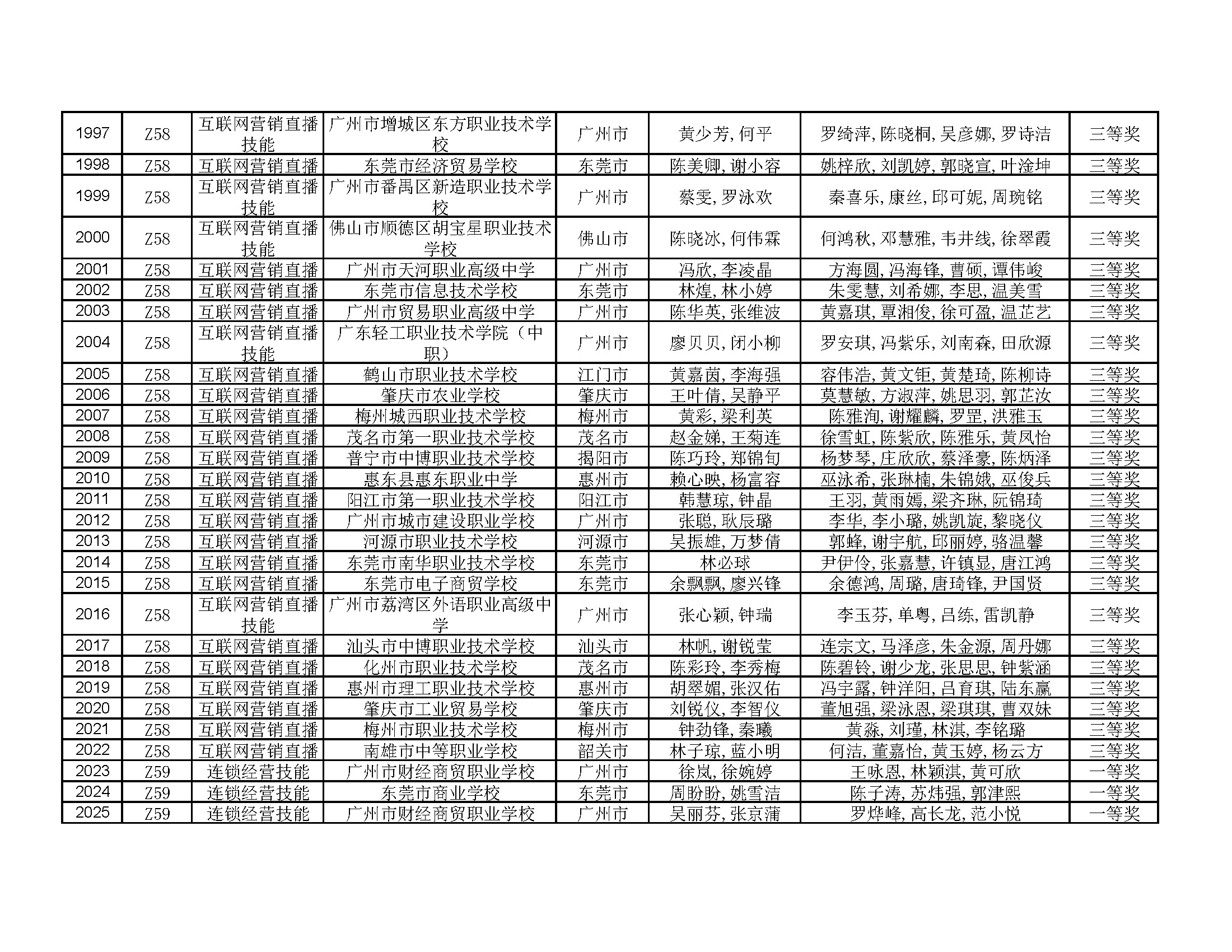
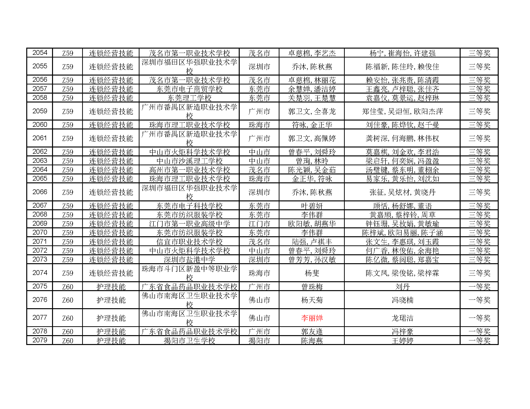
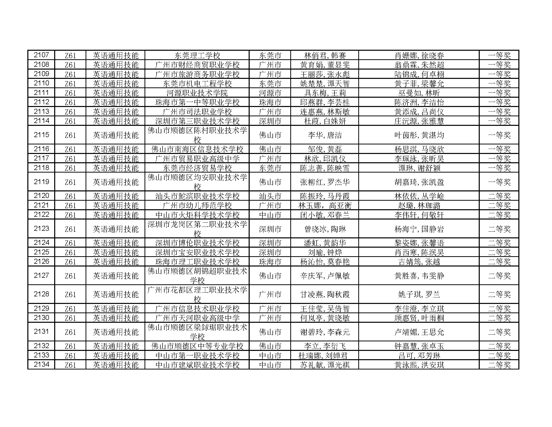
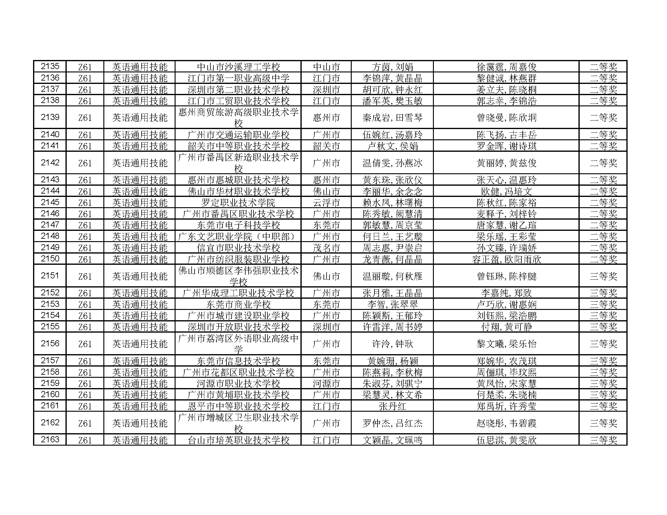
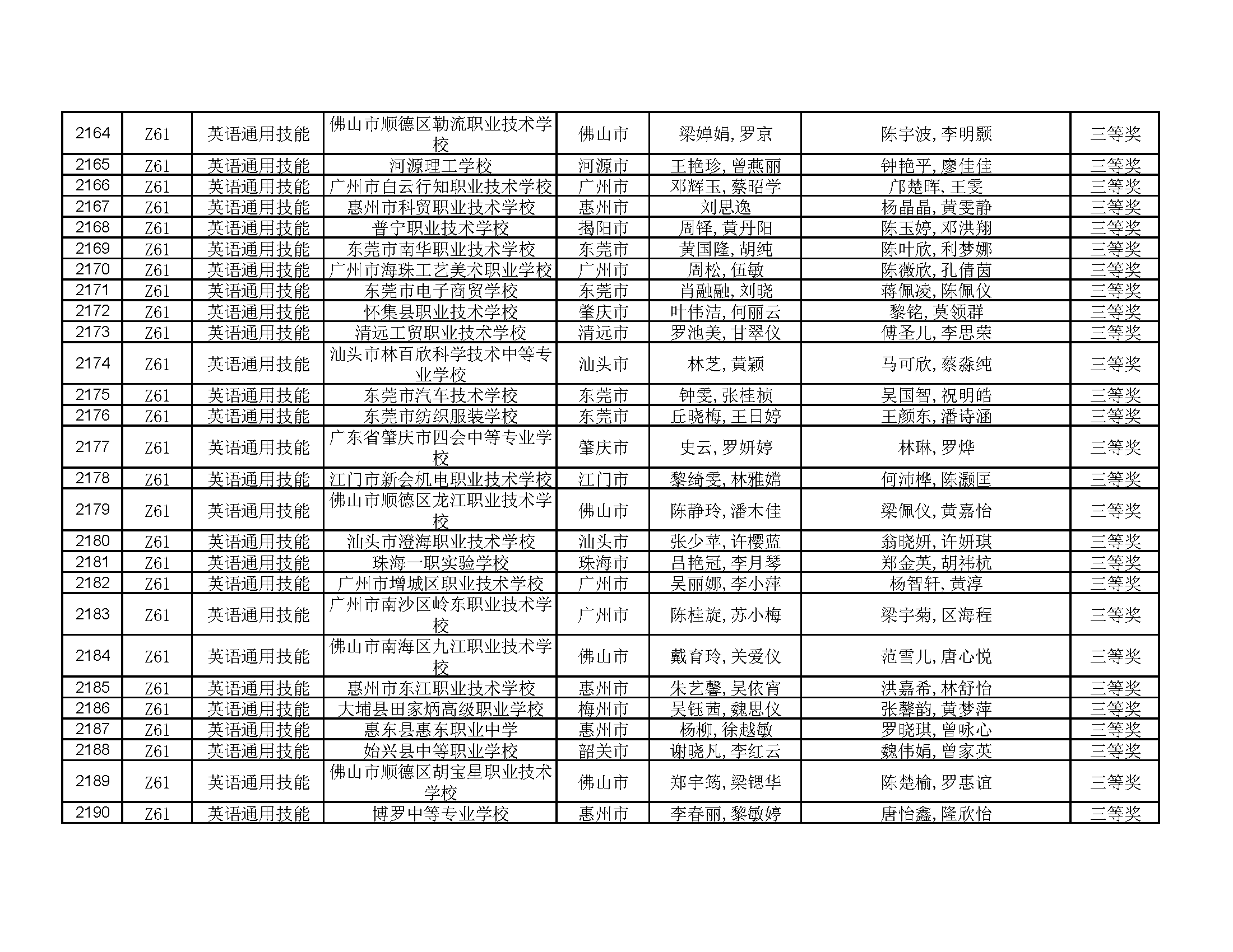
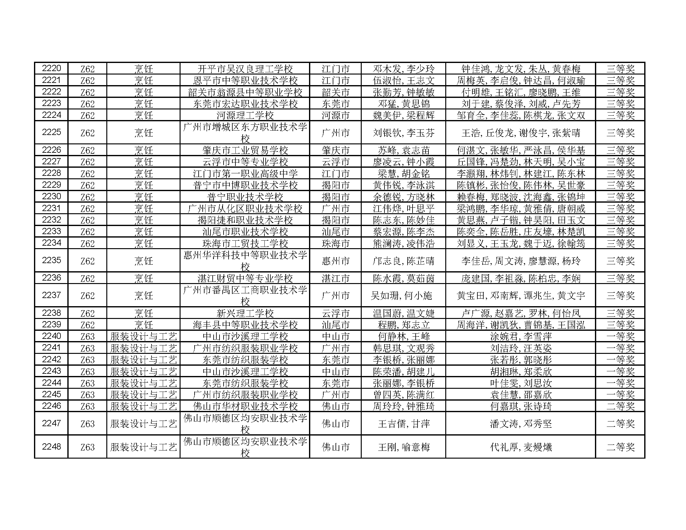
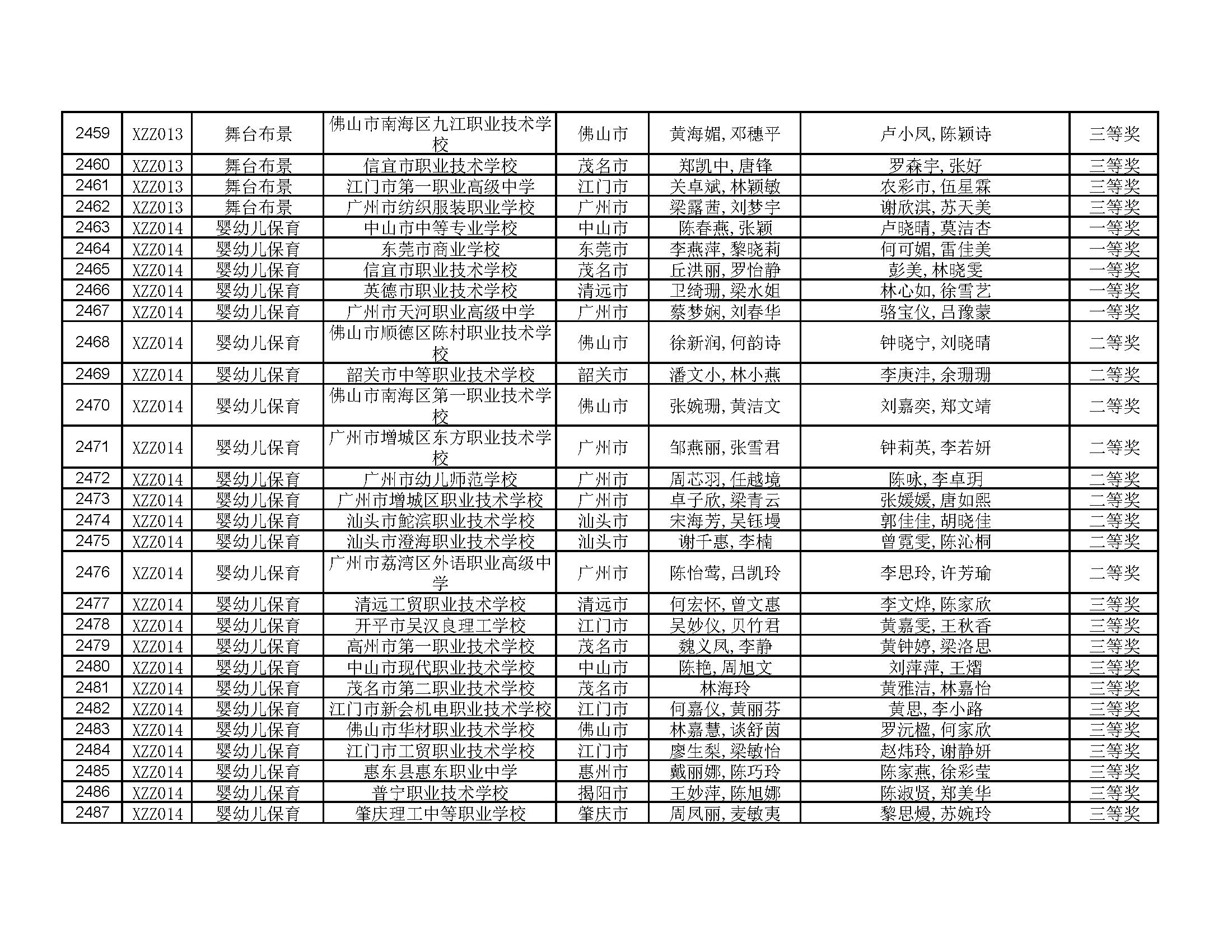
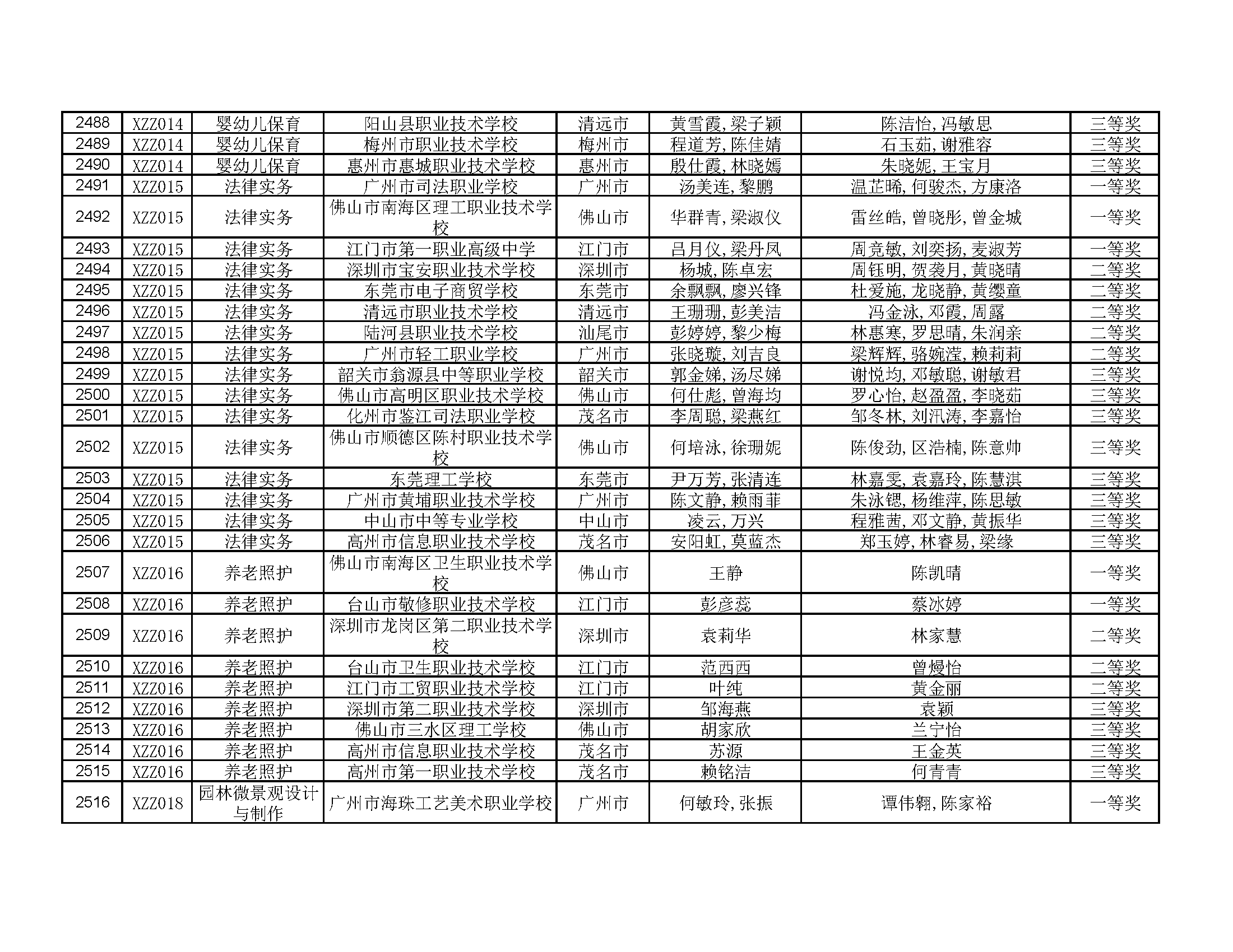
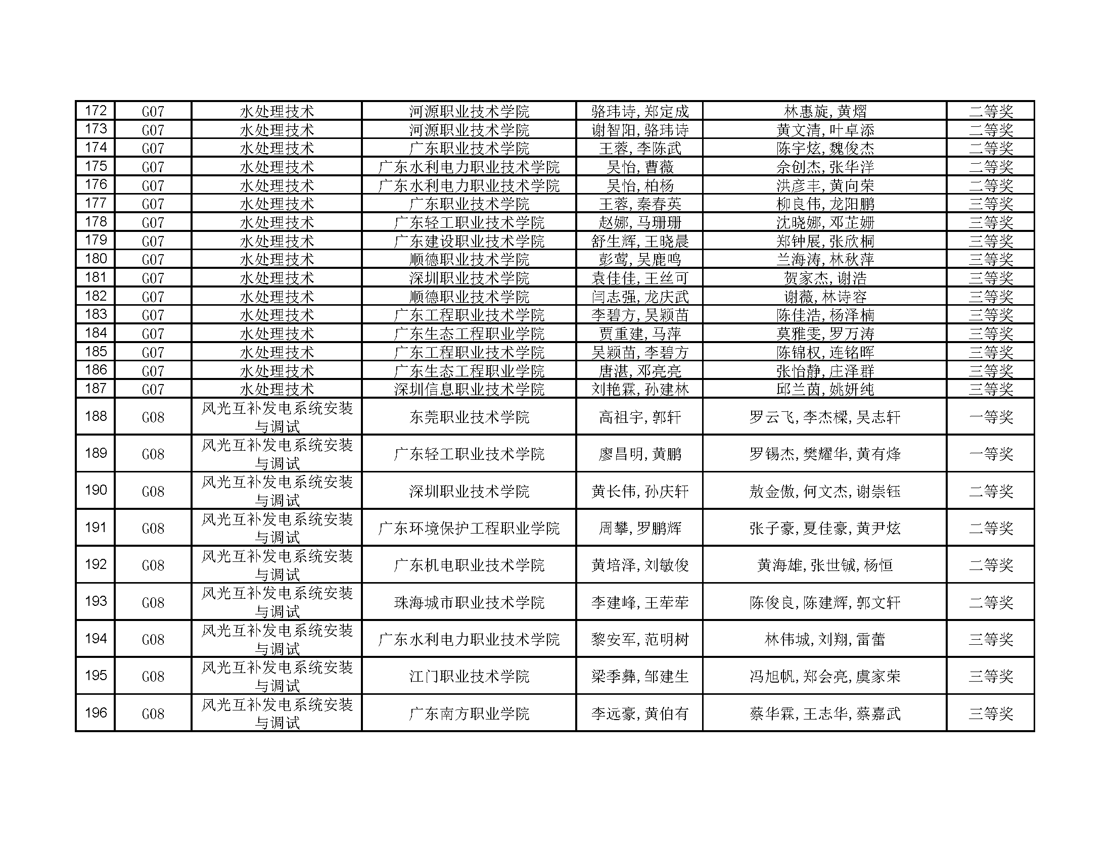
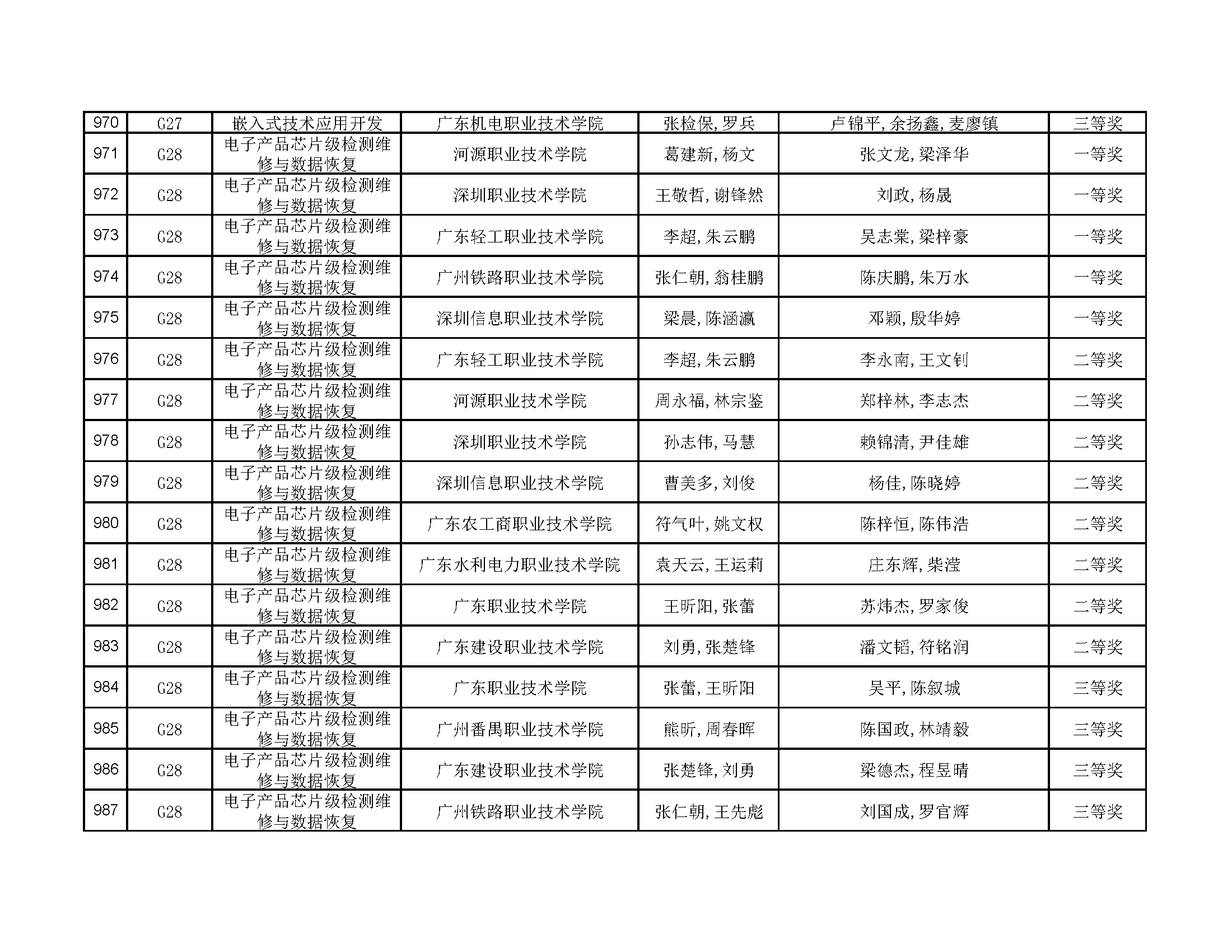
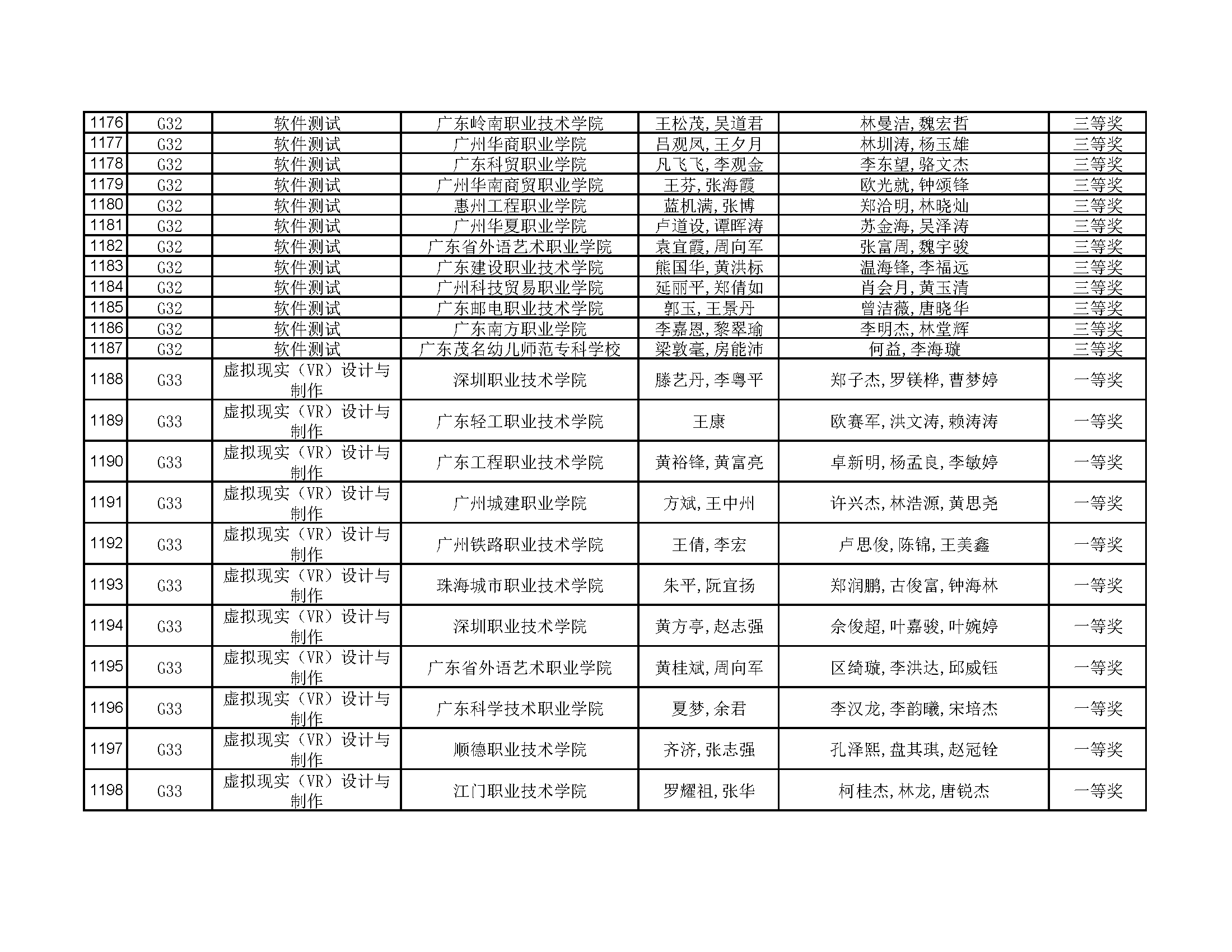
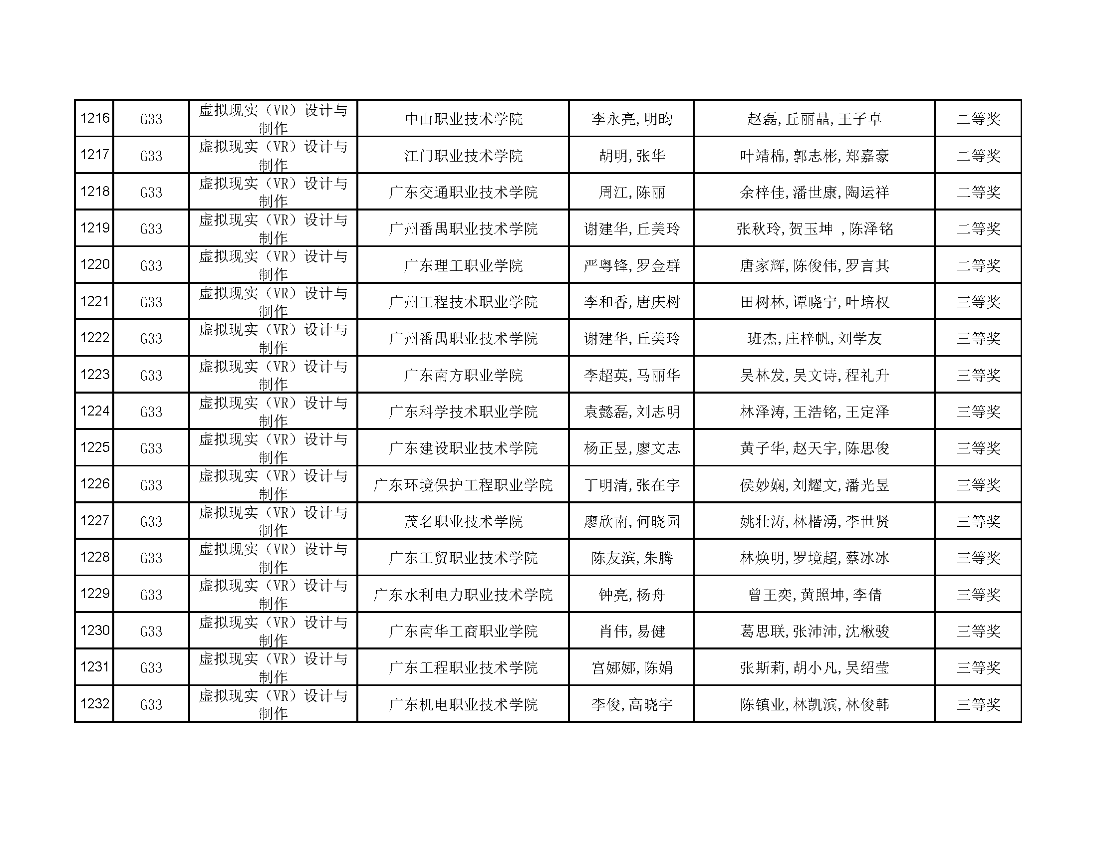
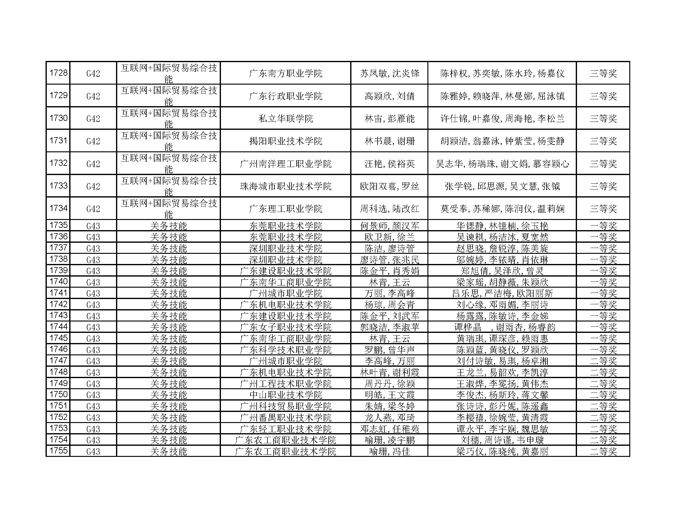
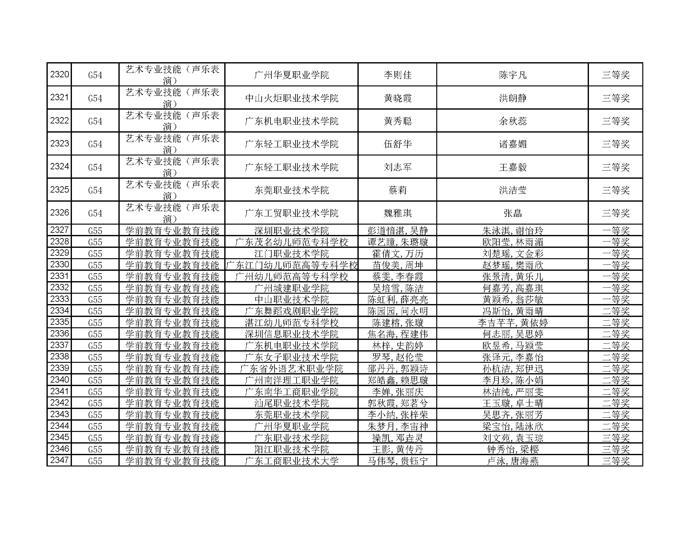
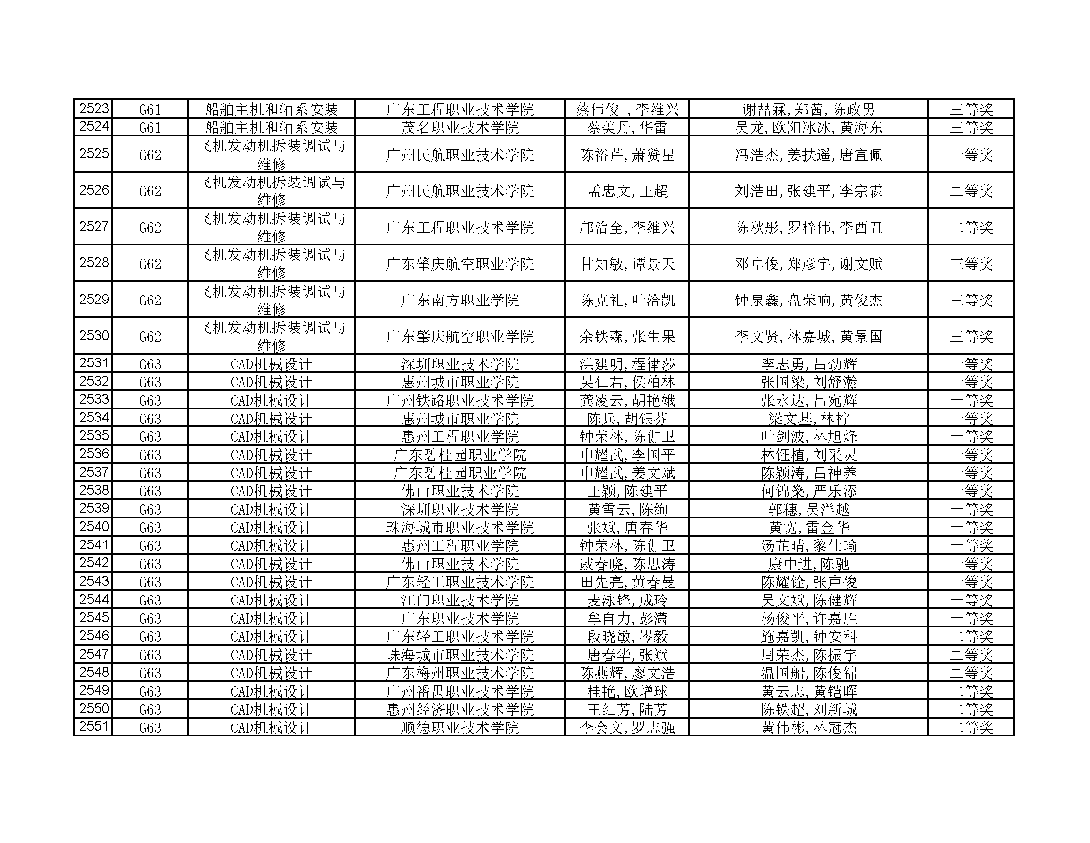
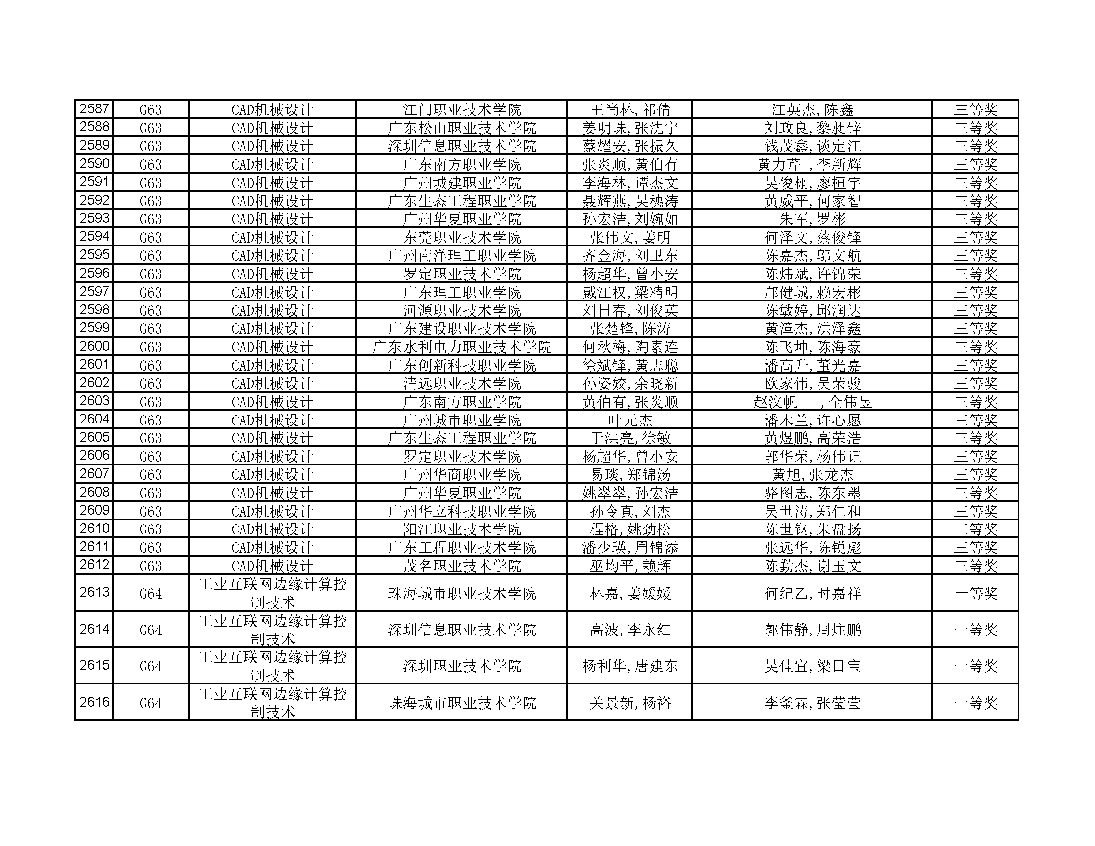
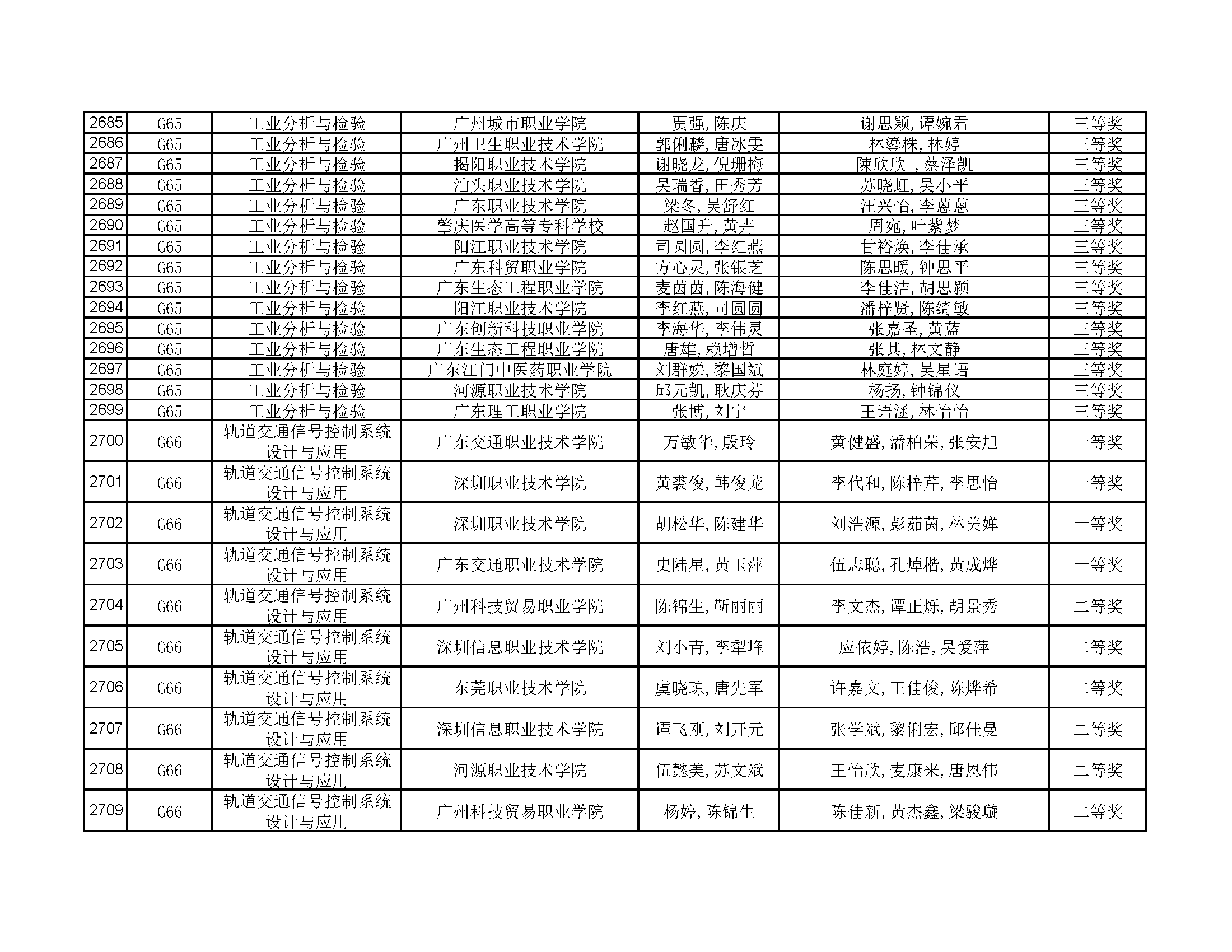
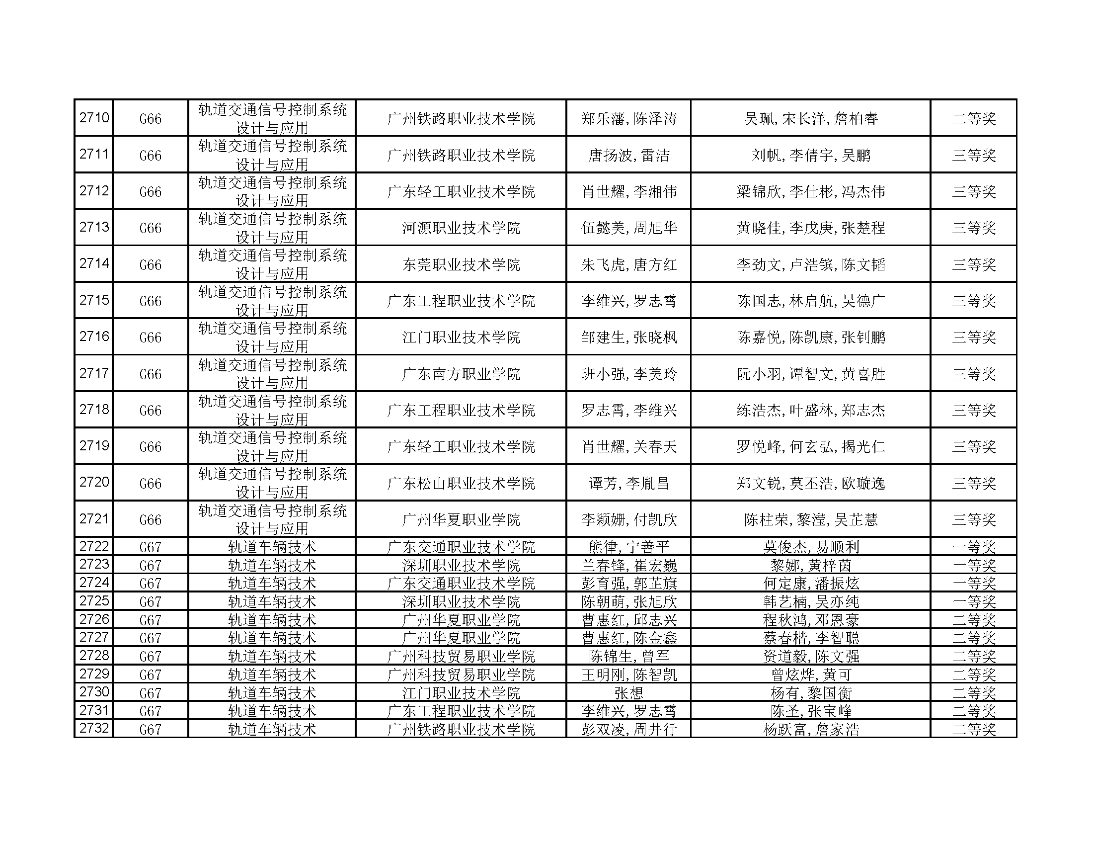
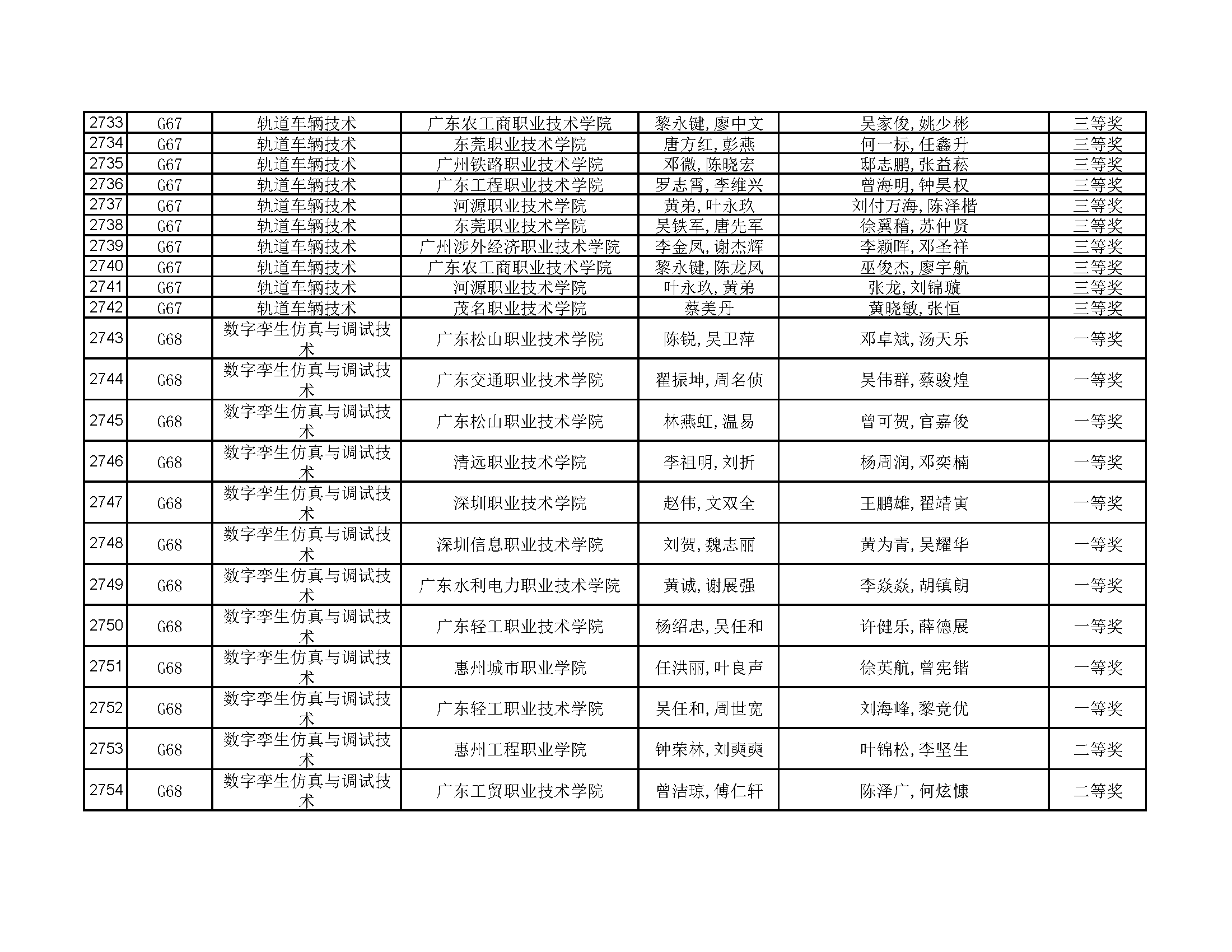
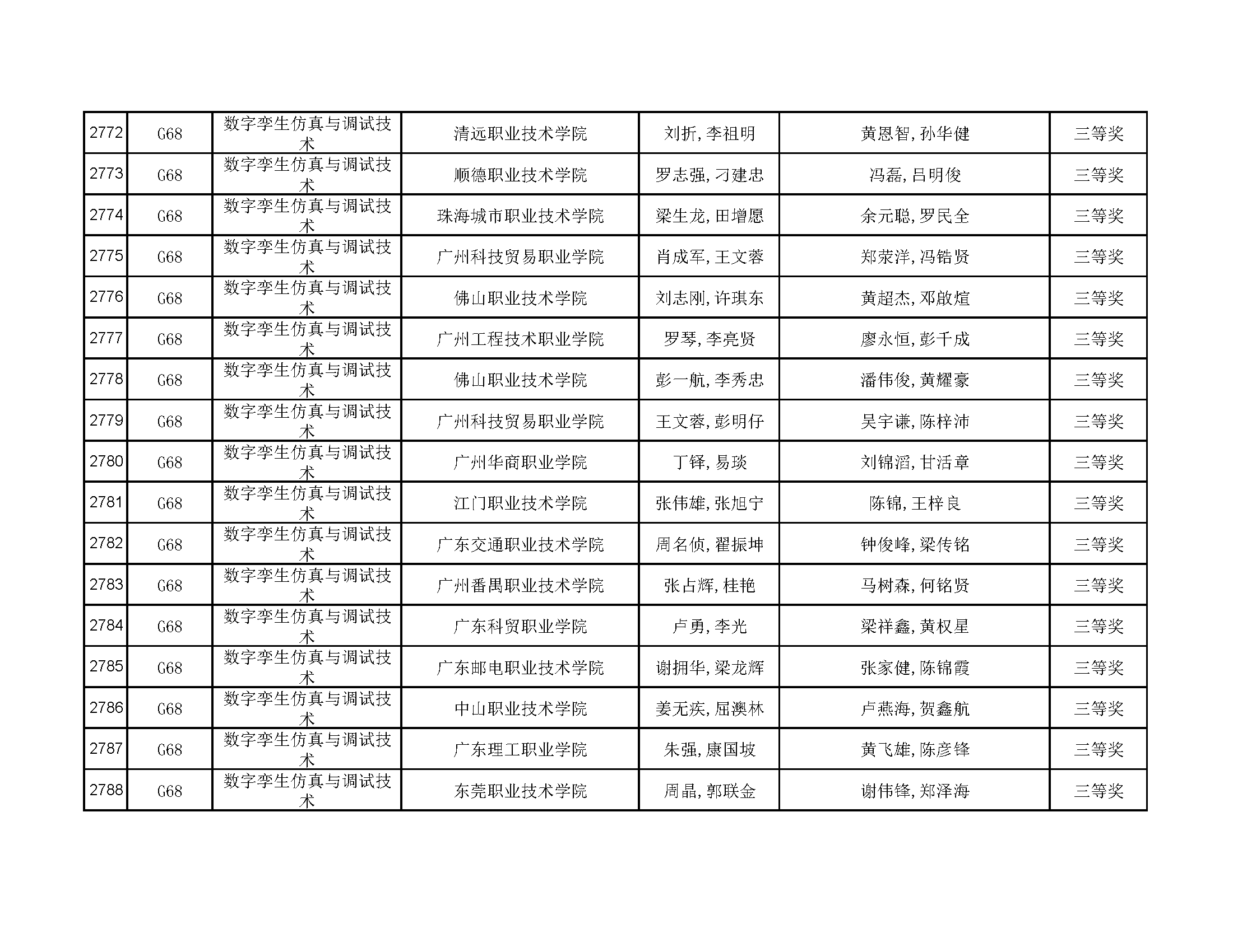
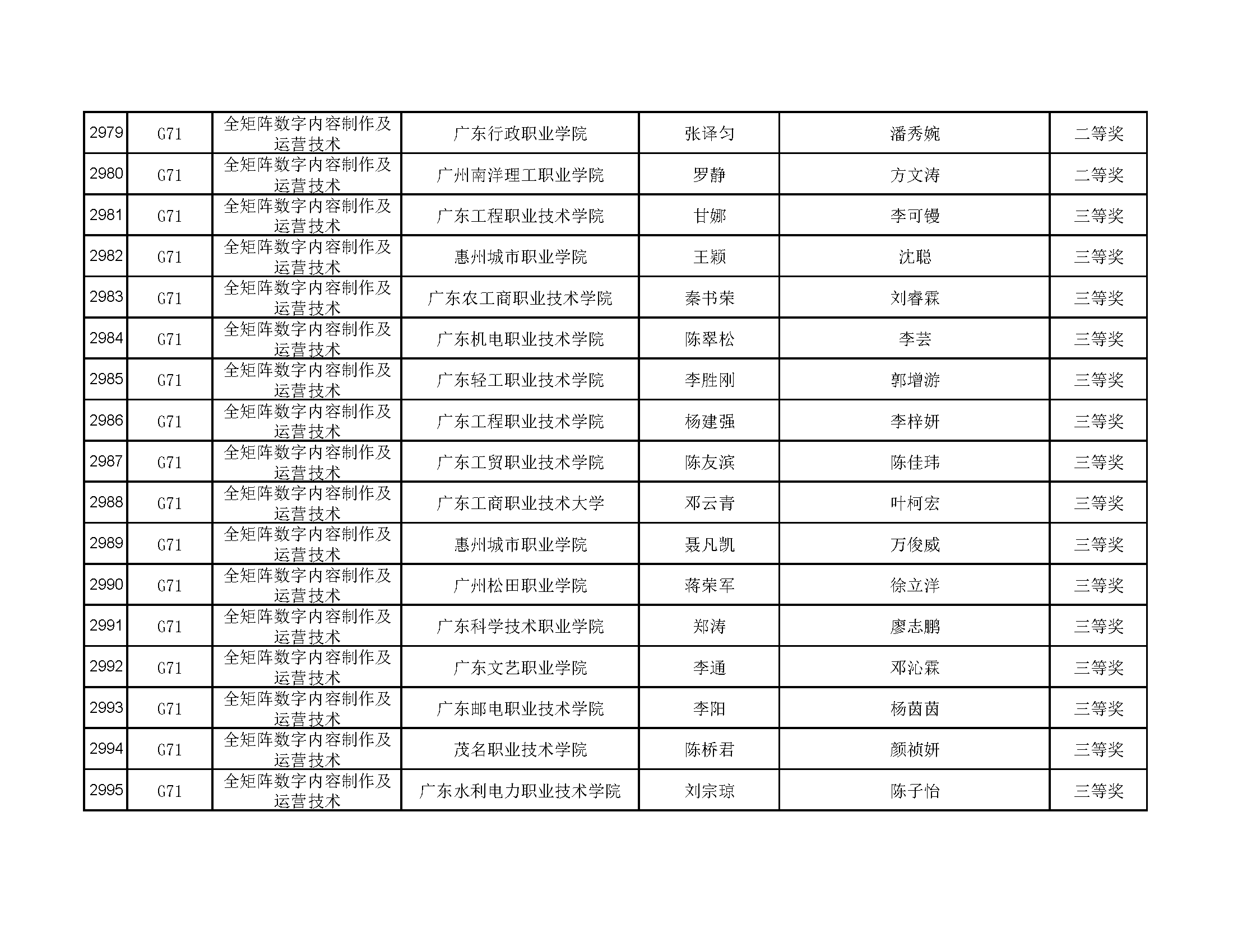
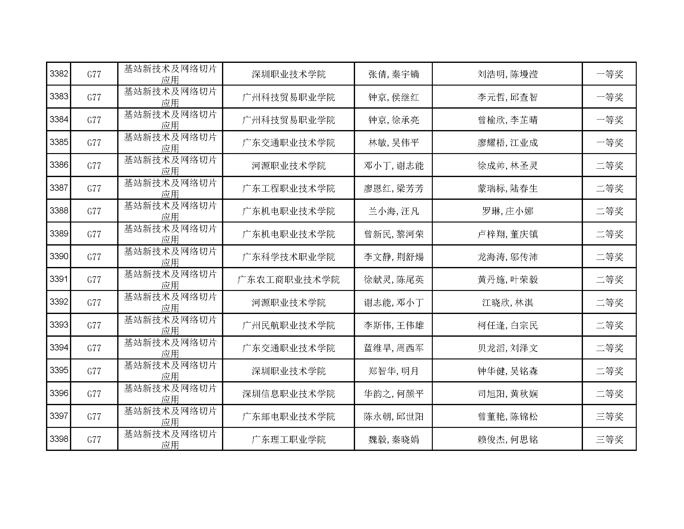
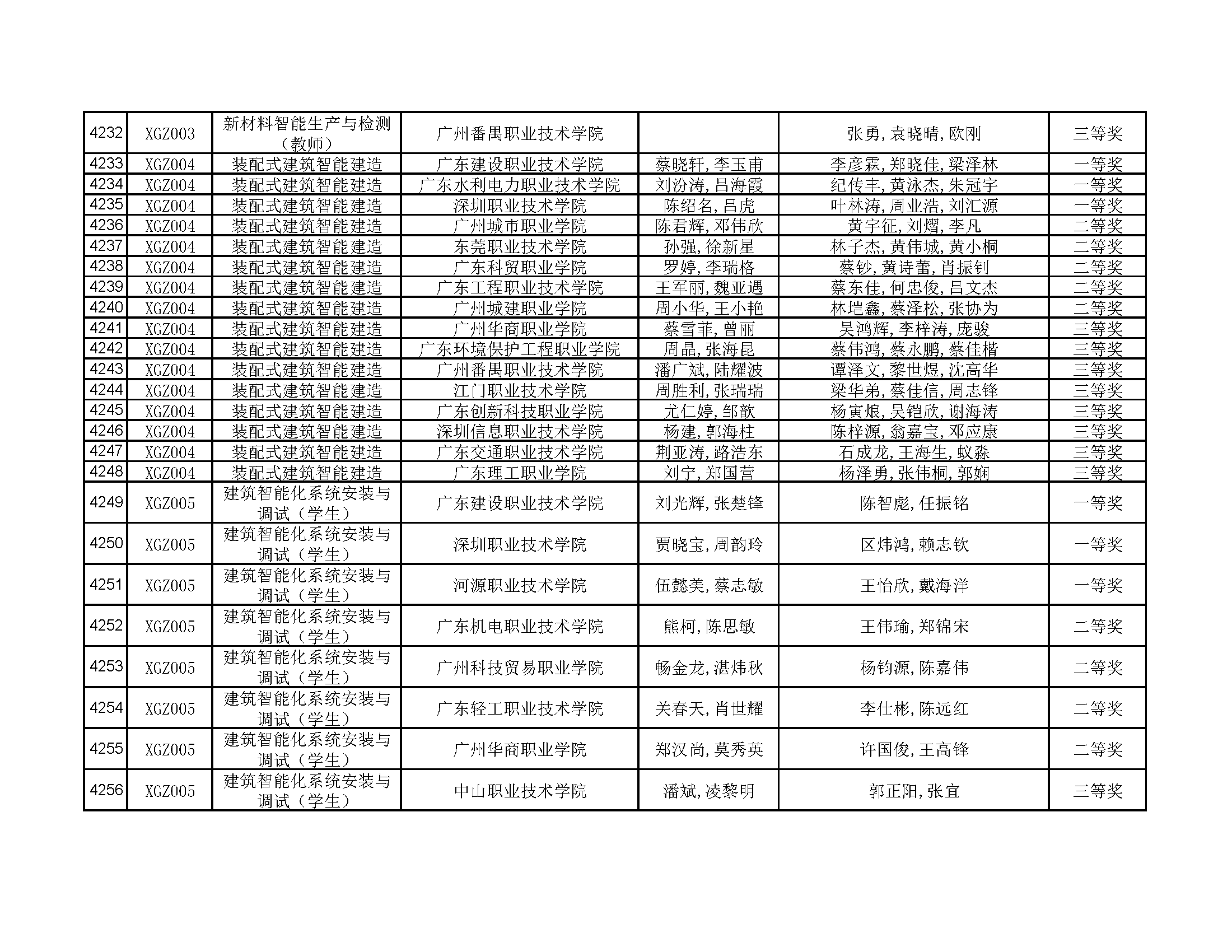
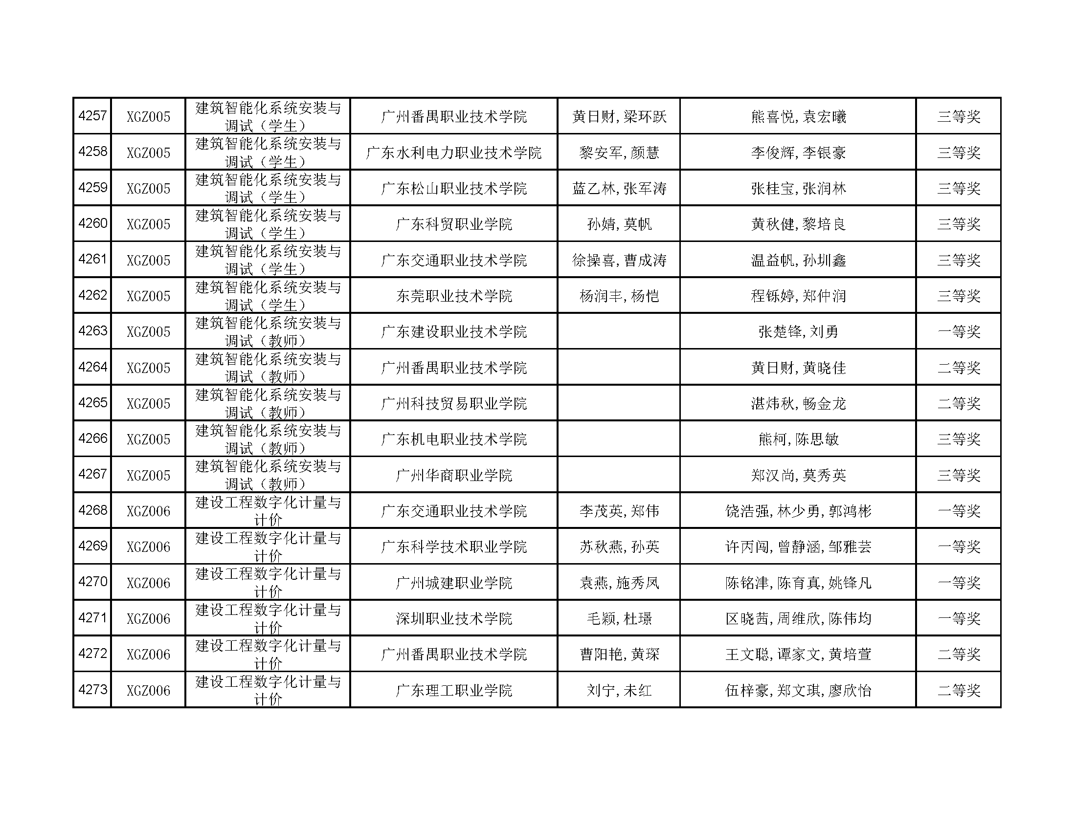
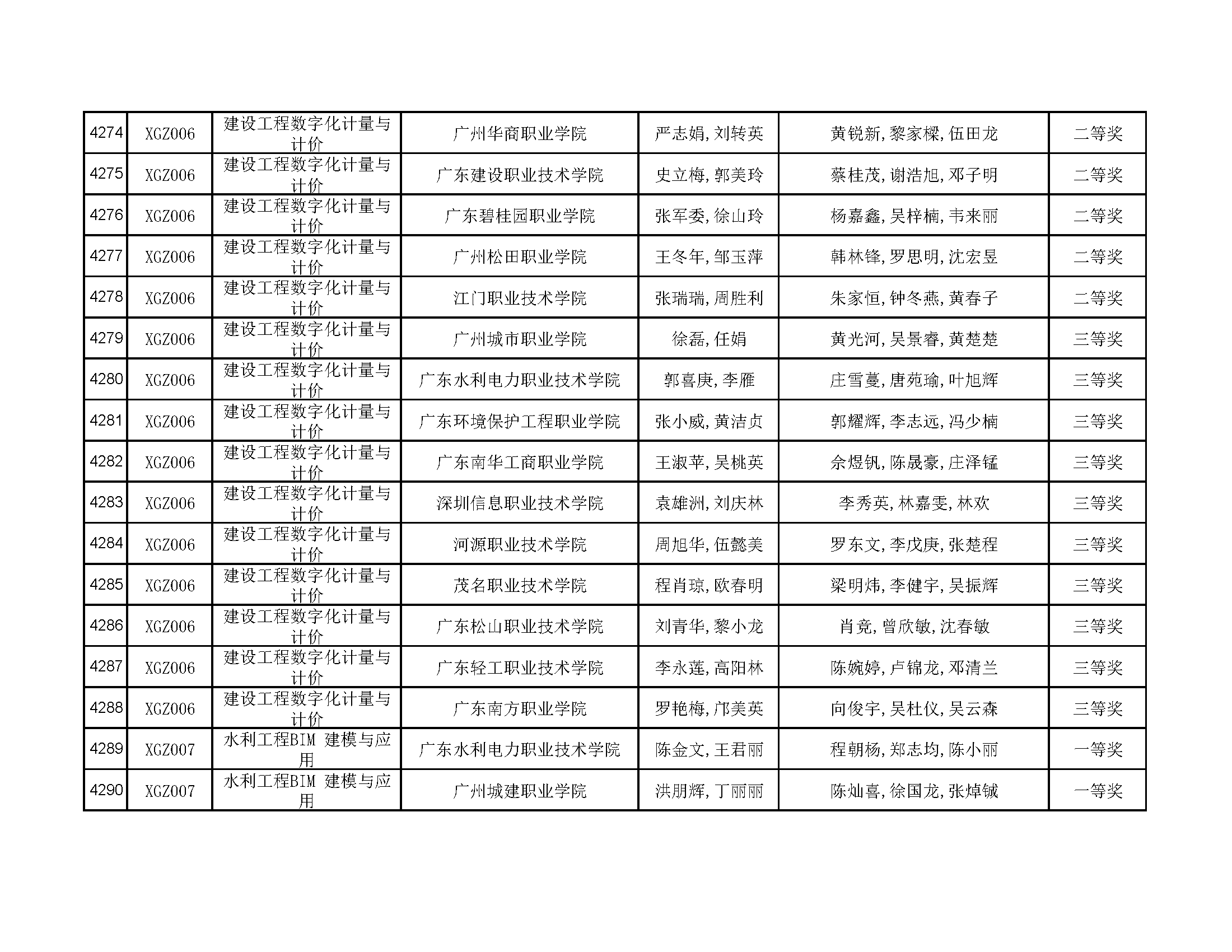
目前,我省2022—2023年度职业院校学生专业技能大赛共208个赛项比赛已全部结束。现将拟获奖名单予以公示(附件1-2)。
公示期为2023年6月21日至6月29日。公示期内,如对拟获奖名单有异议,请以书面形式向省教育厅职终处反映。以单位名义反映的应加盖公章,以个人名义反映的应署真实姓名、身份证号和联系电话,否则不予受理。
联系电话:020-37627439、37804142;电子邮箱:zhizc@gdedu.gov.cn;邮寄地址: 广州市越秀区东风东路723号广东省教育厅职终处902室。
附件(点击下载):
2022-2023年度广东省职业院校技能大赛获奖名单(中职组).pdf
2022-2023年广东省职业院校技能大赛拟获奖名单(高职组).pdf















































































































































































































































































