各位考生:
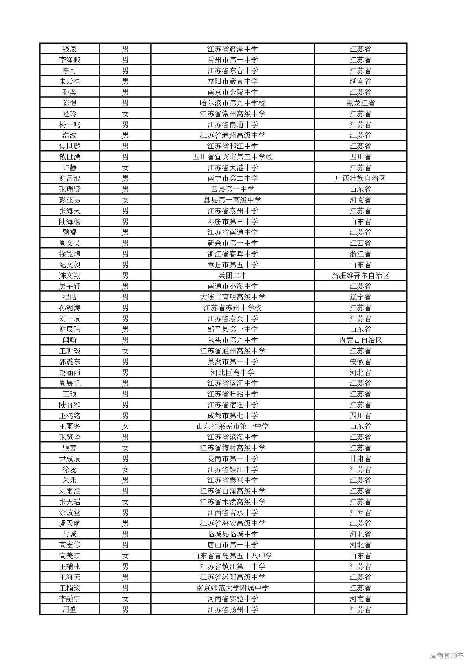
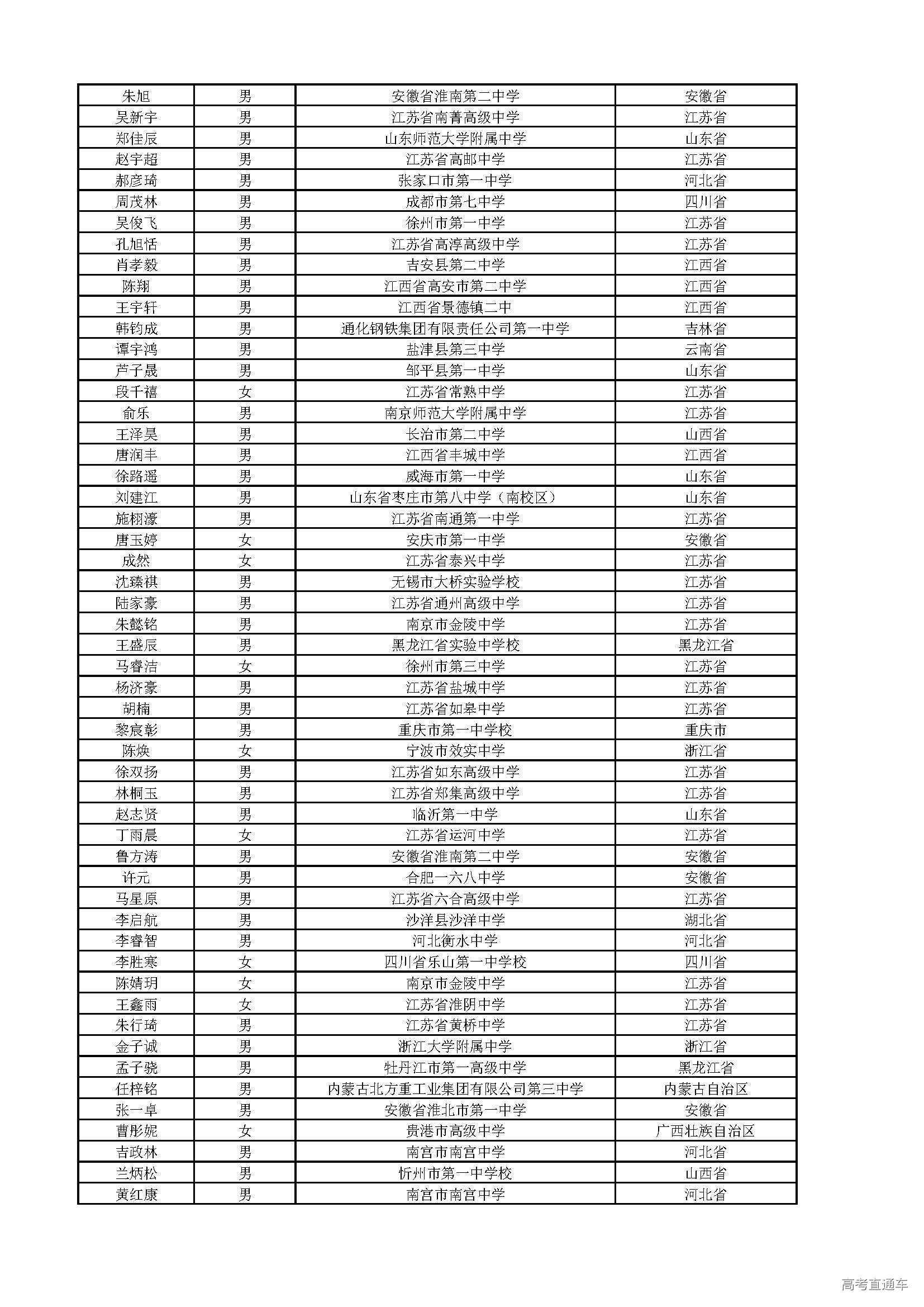
根据《东南大学2018年自主招生简章》的安排,学校组织专家对考生报名材料进行初审,现公布我校2018年自主招生初审合格名单如下(点击阅读原文)。同时,考生可登录阳光高考平台报名系统进行查询。
公示期:2018年4月30日——5月7日,如有疑问,可与我办联系。
传真:025-52090273
邮箱:zhaoban@seu.edu.cn
电话:4006910286
(咨询时间:5月2日——5月7日 9:00-11:30,14:00-17:00)
通过资格初审的考生,请于2018年5月2日至10日在报名系统中确认考试、选择专业、完成缴费。考点安排与确认工作将另行通知。
东南大学招生办公室
2018年4月30日





































































