各区招考办,各有关中学:
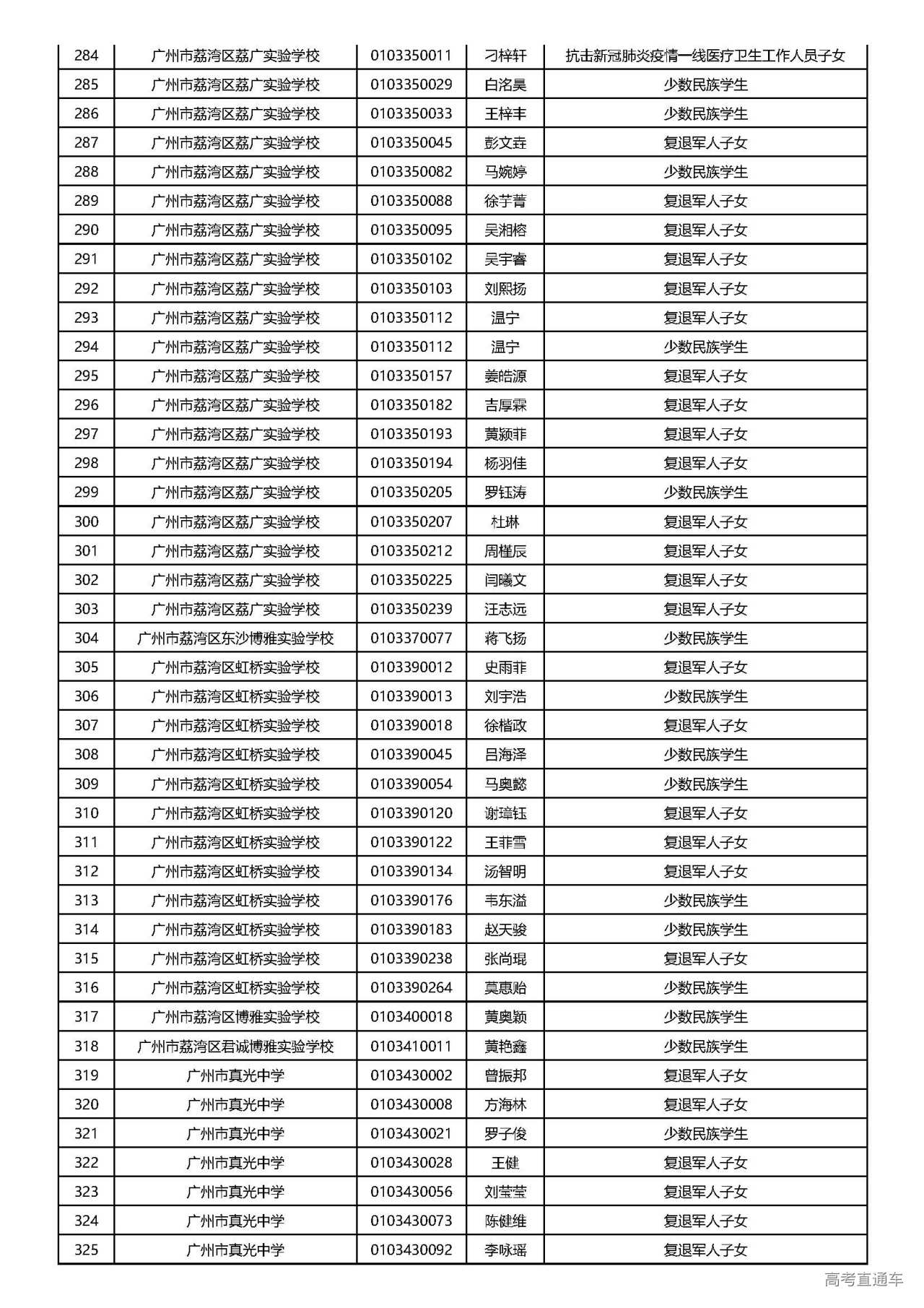
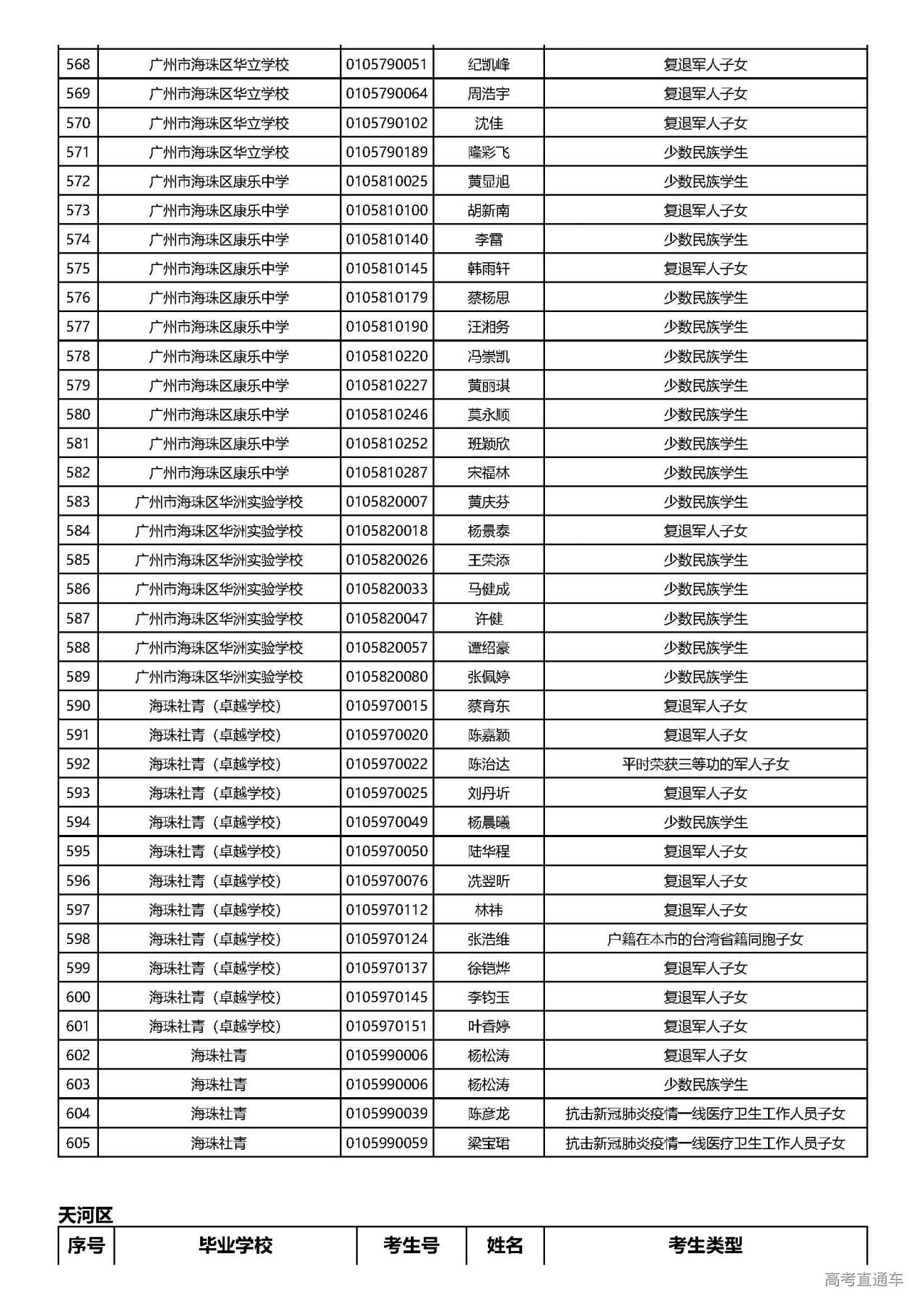
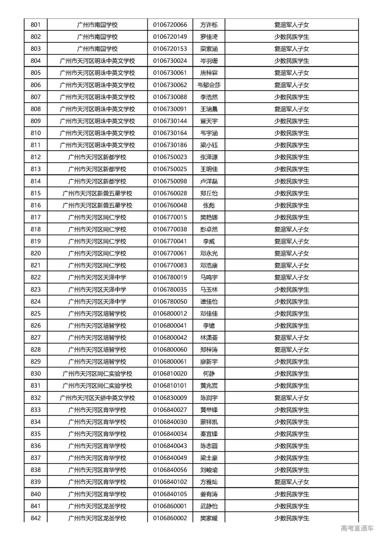
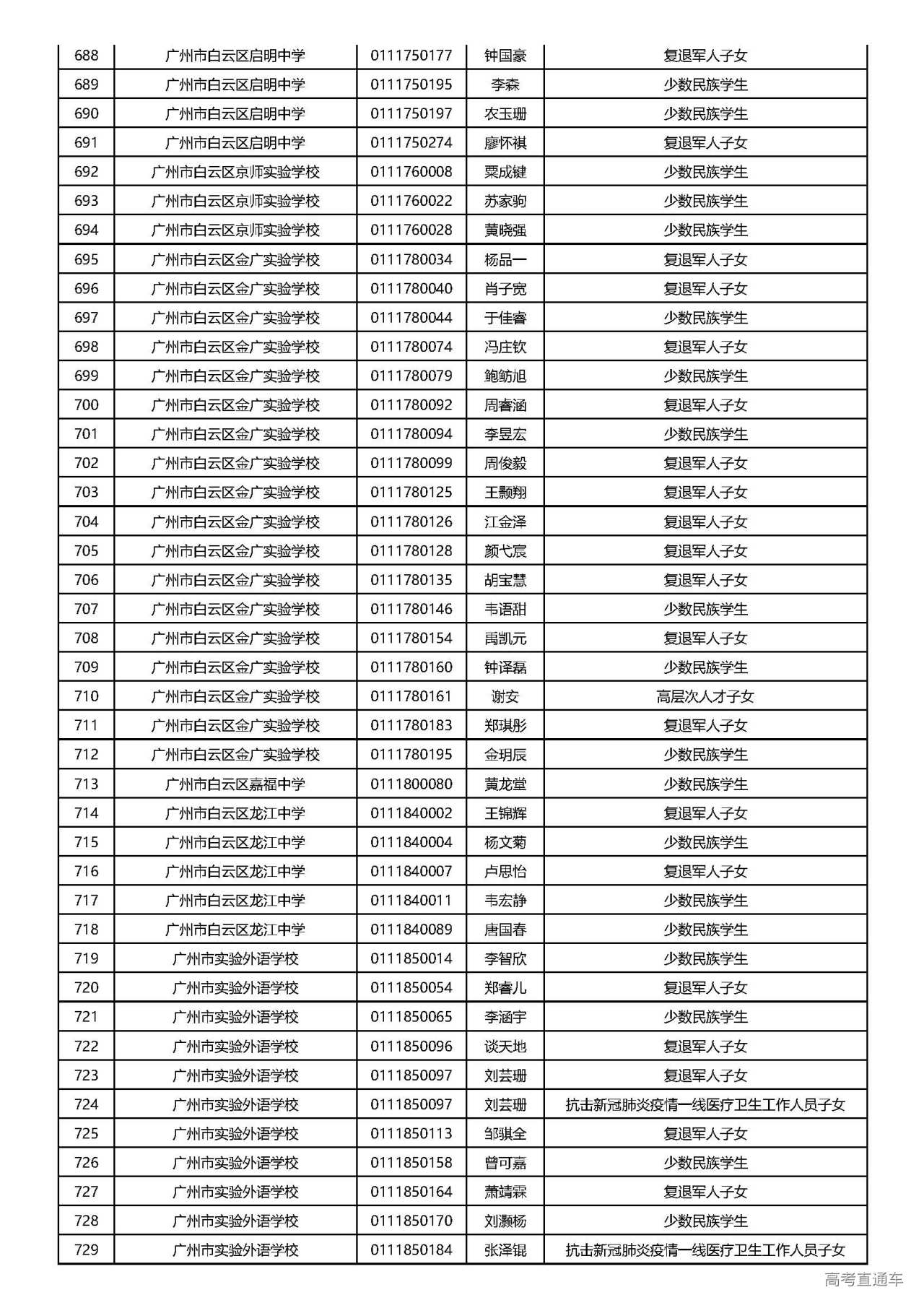
根据《广州市教育局印发<关于进一步深化高中阶段学校考试招生制度改革的实施意见>的通知》(穗教规字〔2018〕8号)和《广州市招生考试委员会办公室关于做好2022年我市高中阶段学校考试招生报名工作的通知》(穗招考办〔2022〕2号)相关规定,经考生申报、报名点初审、区招考办和市相关职能单位复核、审定,现将2022年广州市高中阶段学校考试招生具有加分或优先录取资格的考生名单予以公示,公示期10个工作日。考生或家长如有异议,须在5月31日前向各区招考办或市招考办反映。
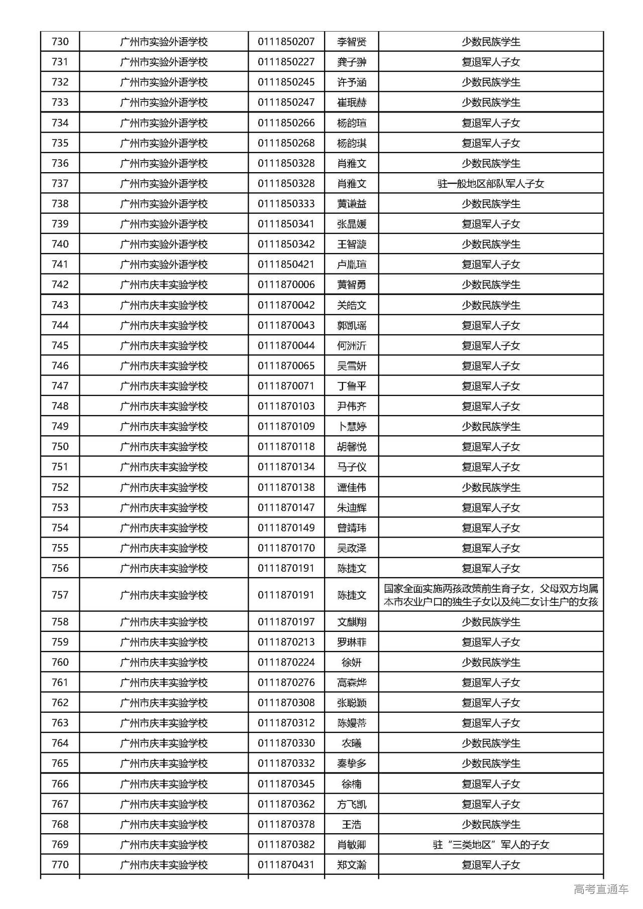
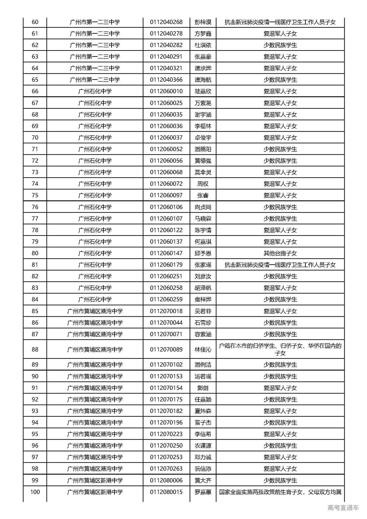
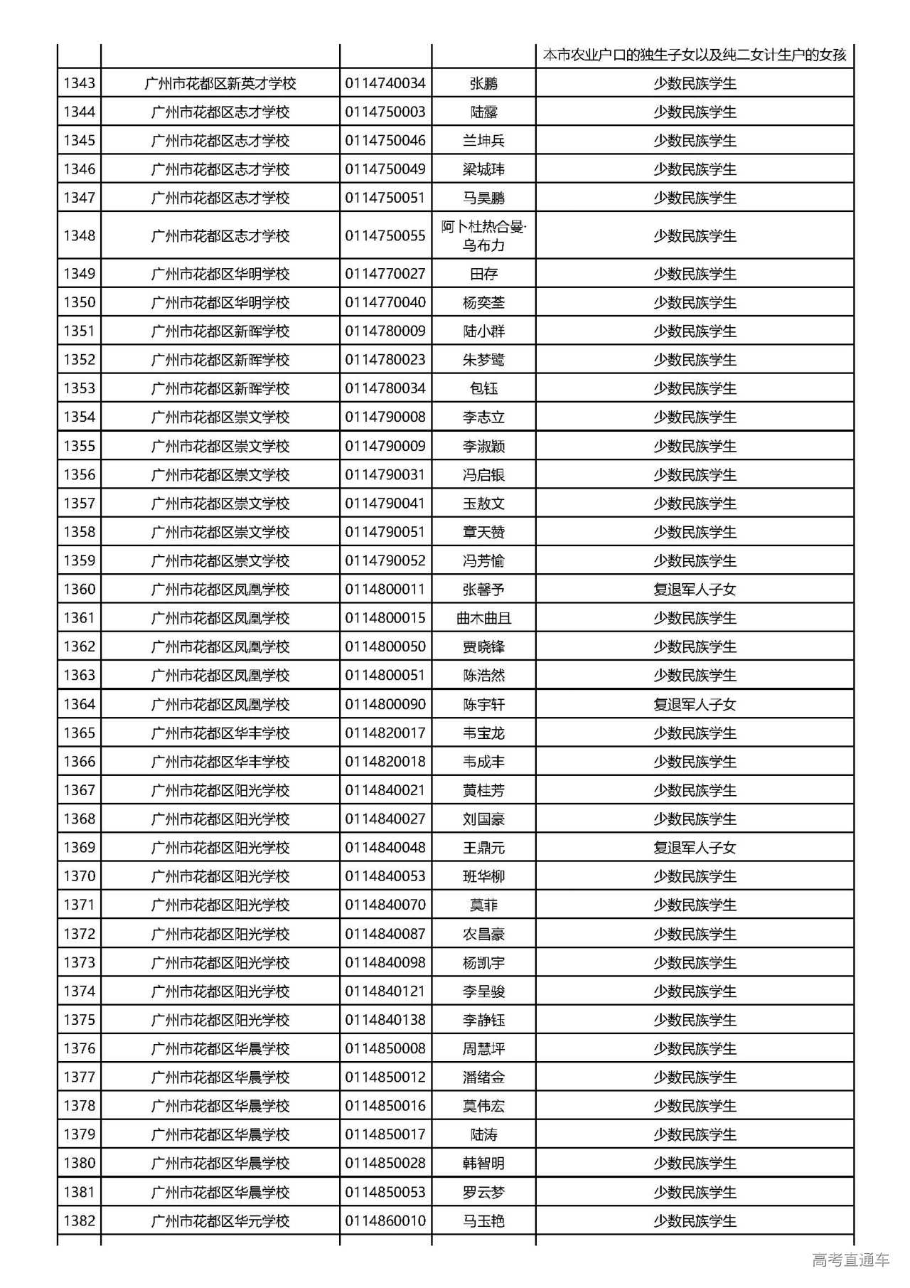
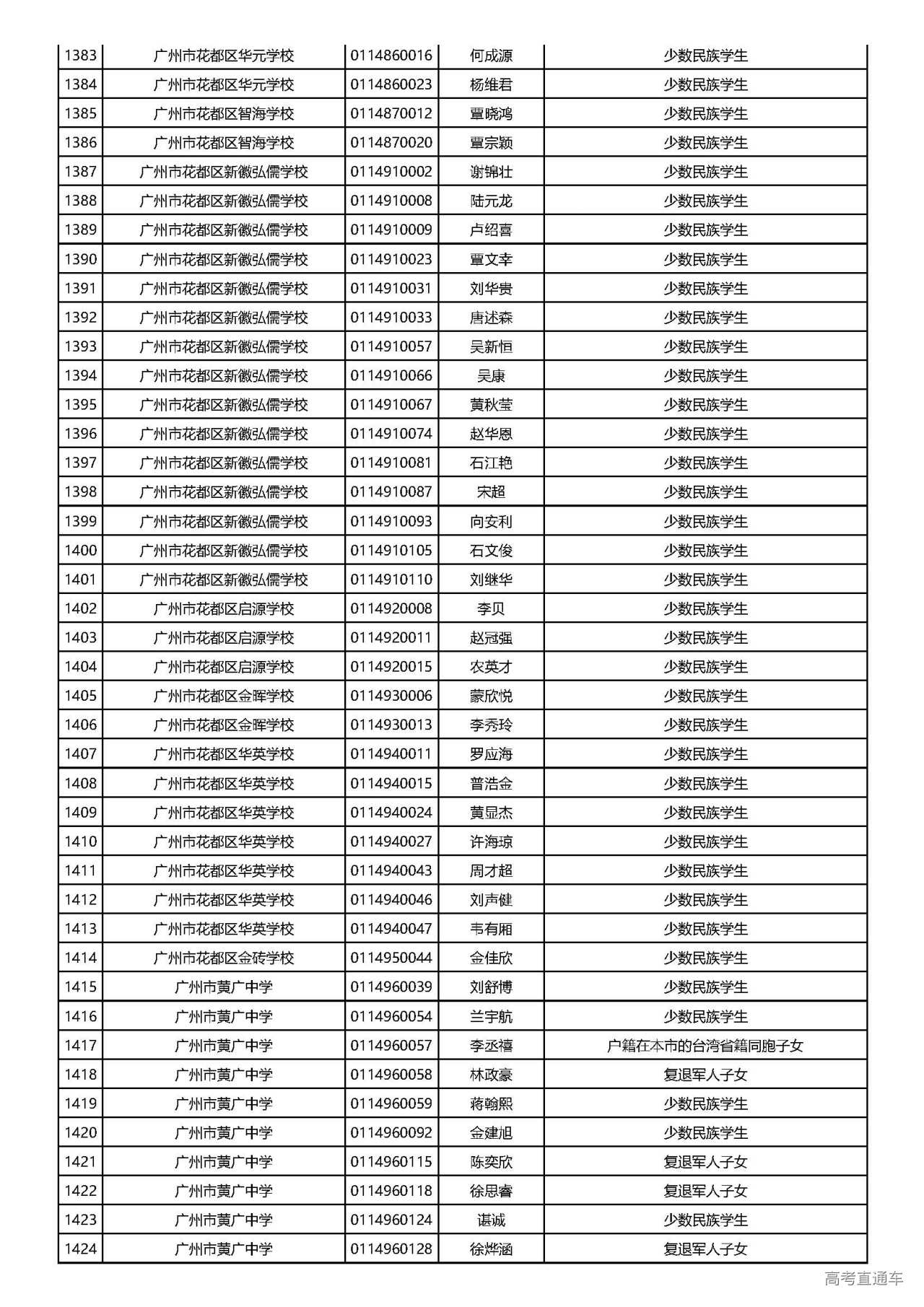
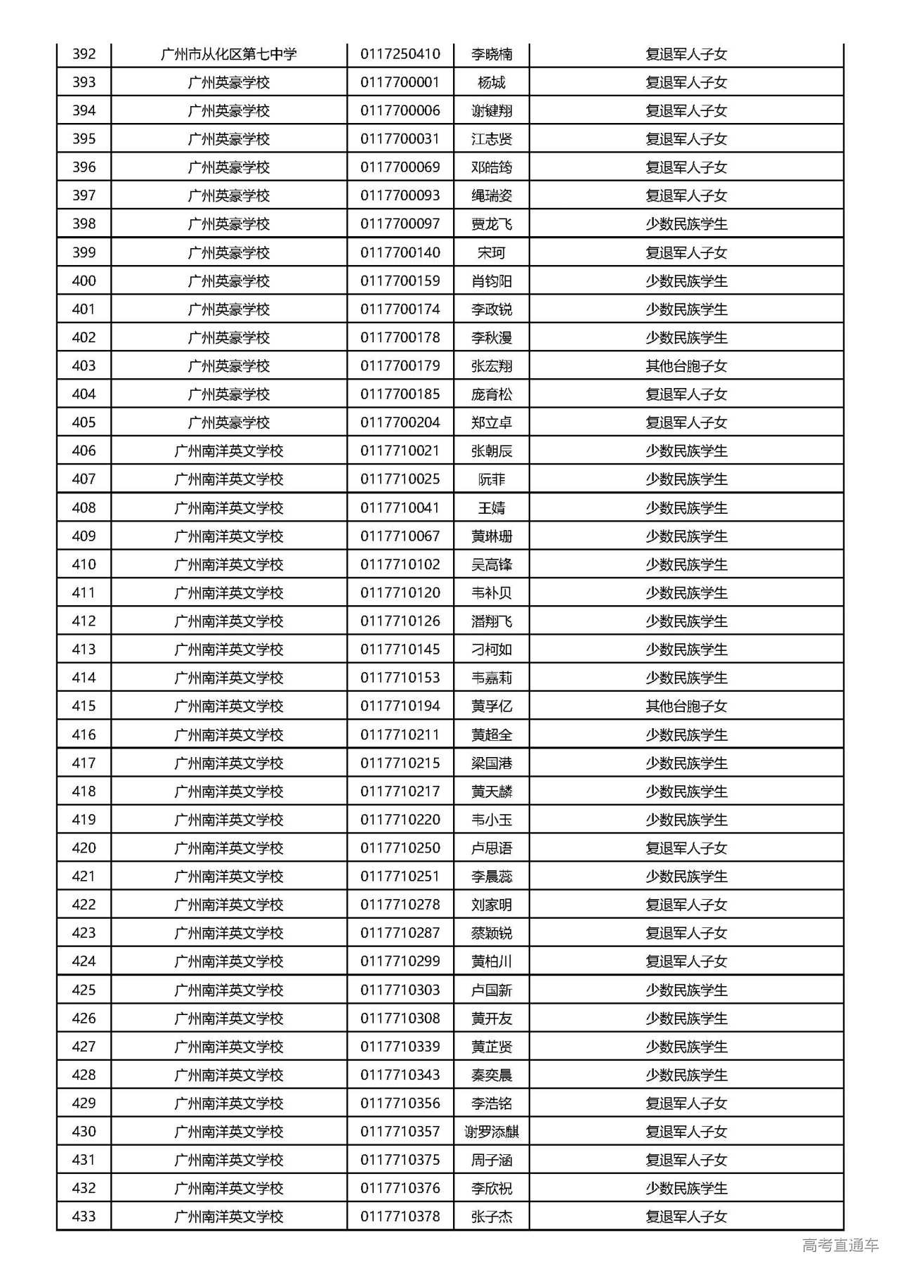
附件:1.2022年广州市高中阶段学校考试招生具有加分或优先录取资格考生名单.pdf
2.申诉(投诉)方式.docx
广州市招生考试委员会办公室
2022年5月18日
































































































































































































































































































































