近日,省教育厅、省人力资源和社会保障厅联合下发《关于公布2021年中等职业教育招生资质学校名录的通知》,明确2021年具备中等职业学历教育招生资质的中职学校(含特教学校的中职班和招收中职学生的高职院校)166所,技工院校40所,同时对加强中等职业教育管理,规范中职招生办学行为作出了要求。
|2021年福建省
具有招生资质的中职学校名单|
1

2

3

4

5

6

7

8

9

10

11

12

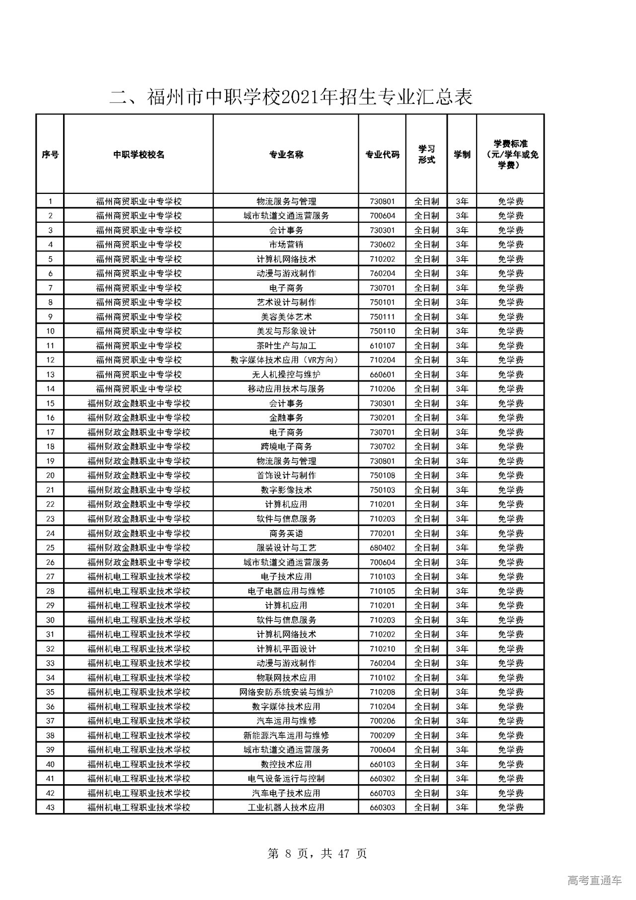
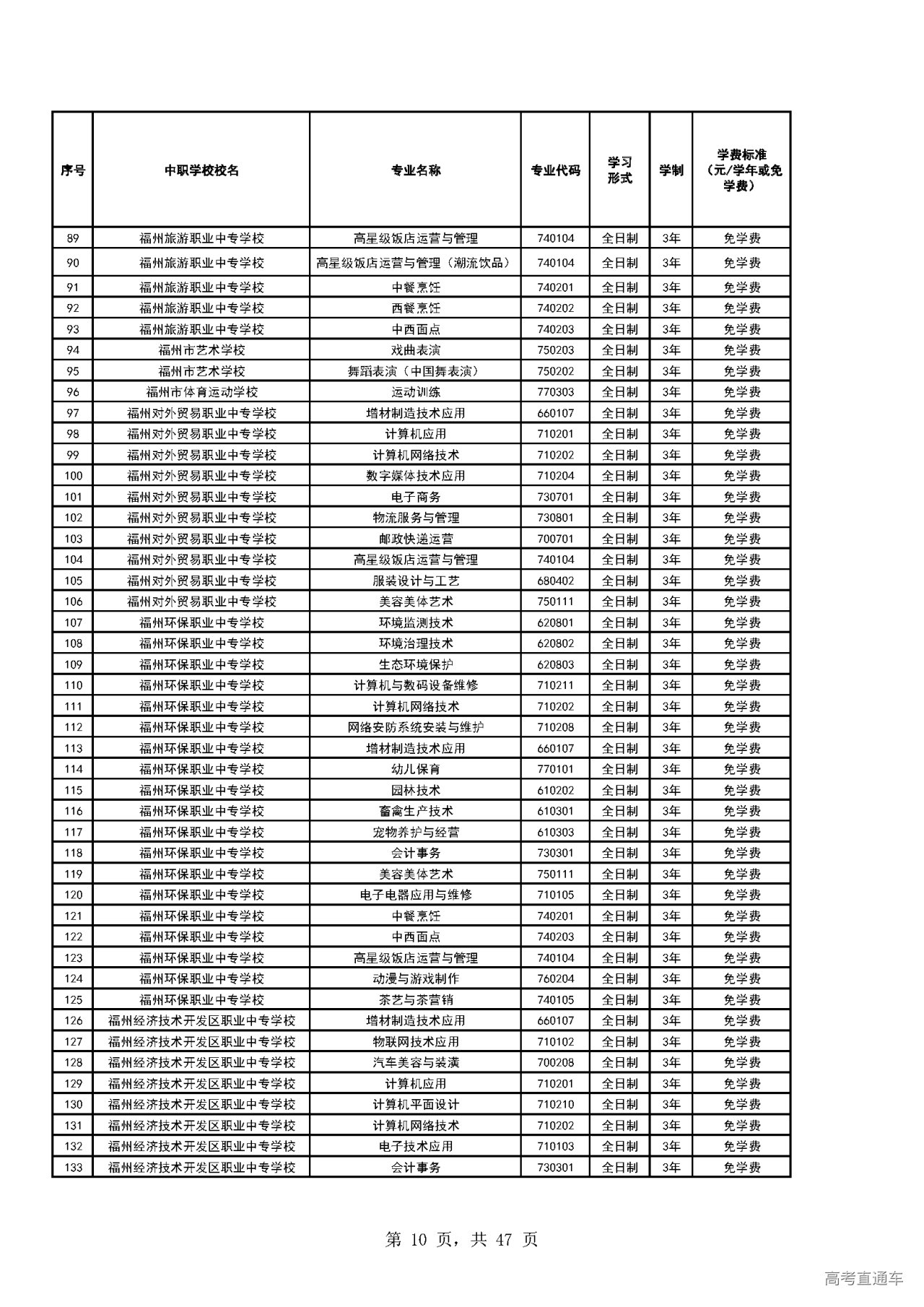
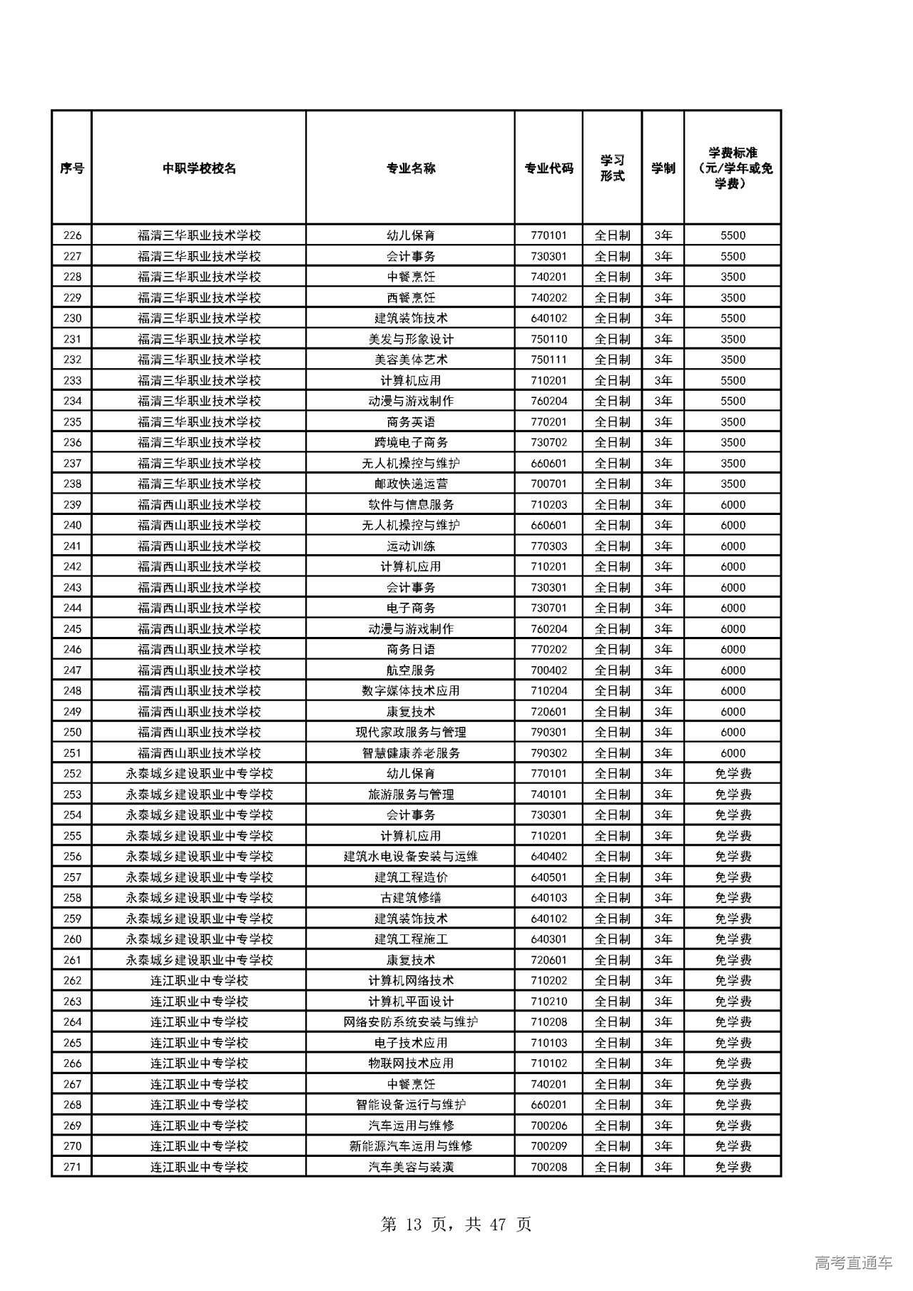
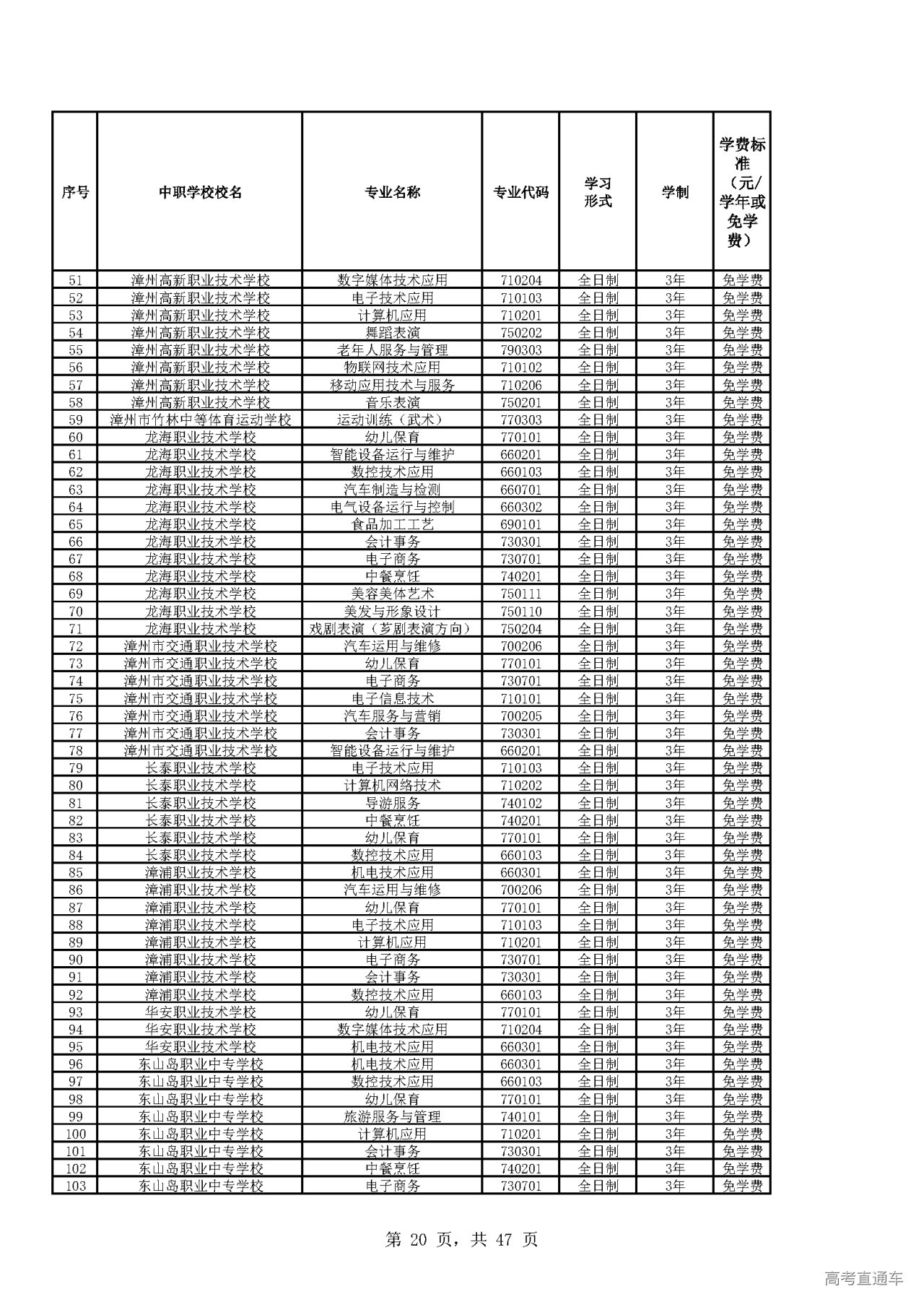
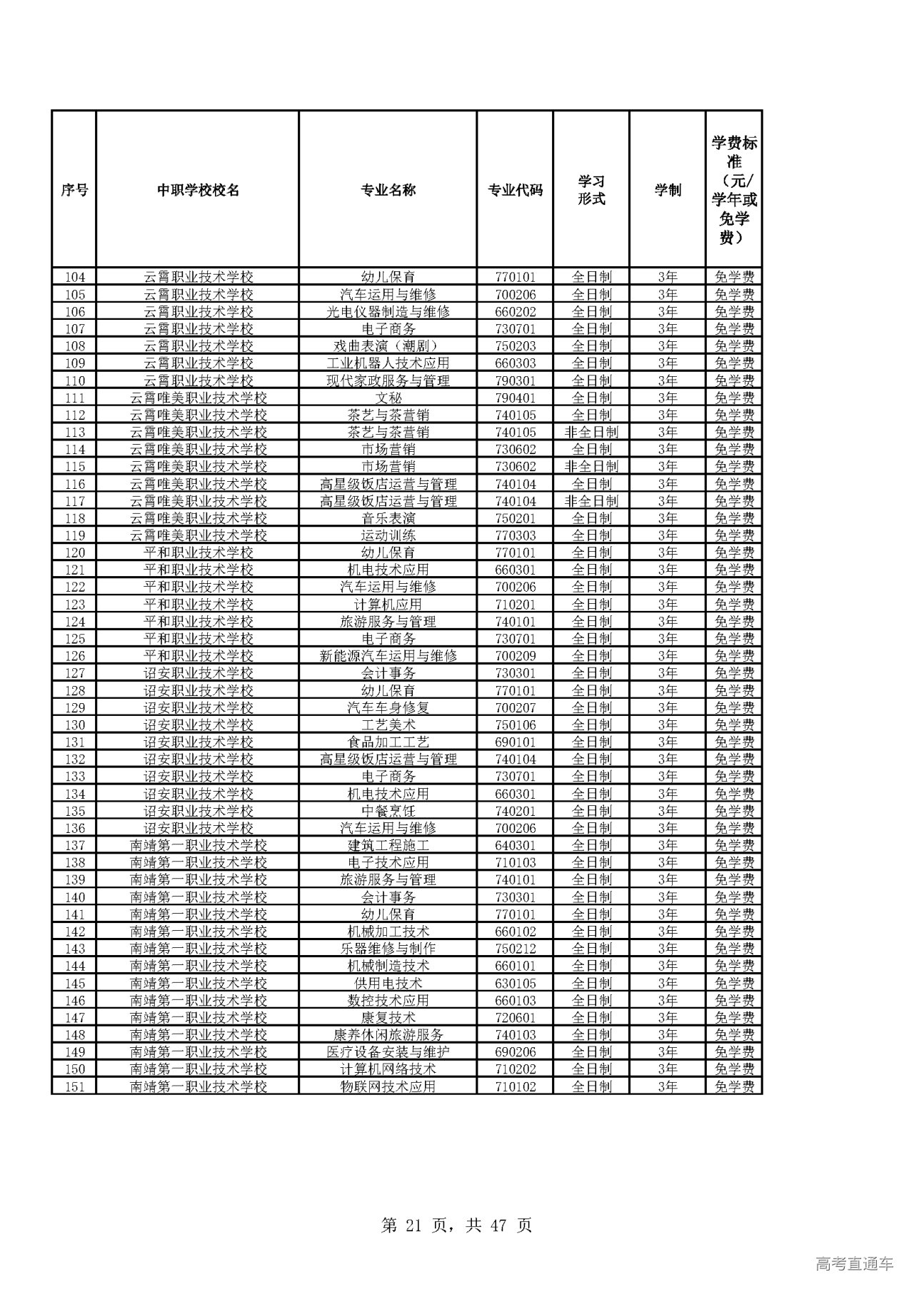
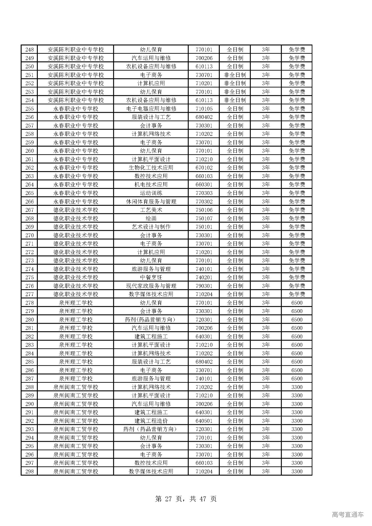
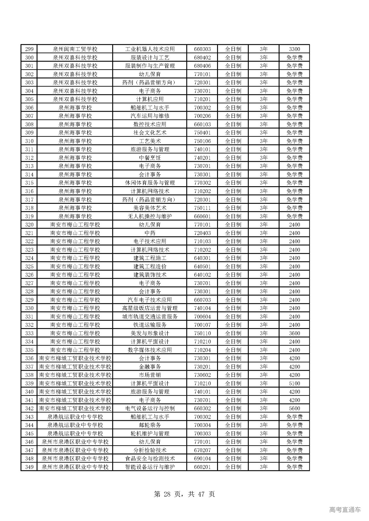
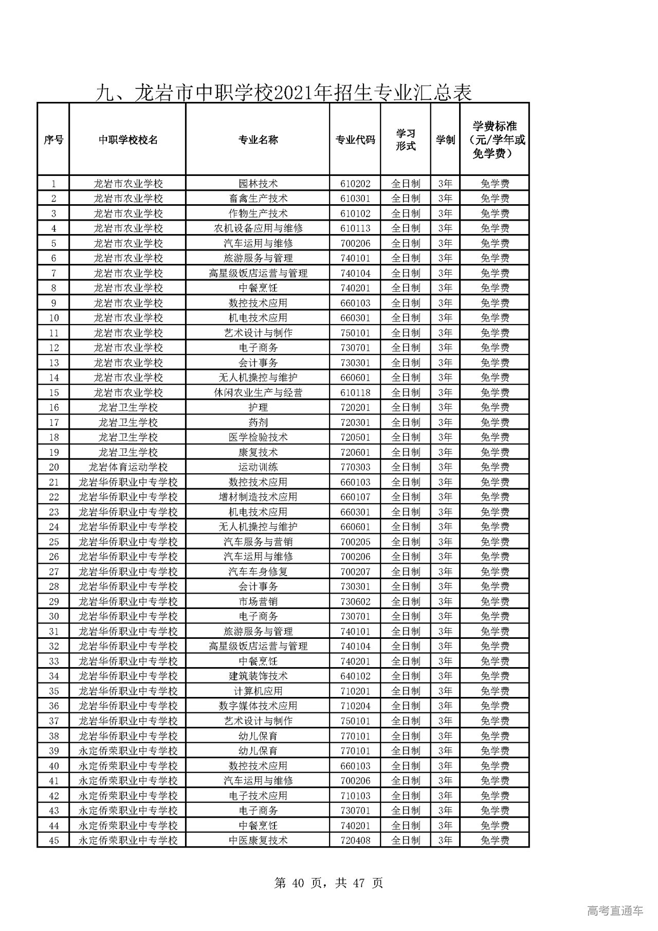
|2021年福建省
中职学校招生专业一览表
|2021年福建省
首批具有招生资质的技工院校名单|

|2021年福建省
首批技工院校招生专业一览表|




























































































