一、公示名单
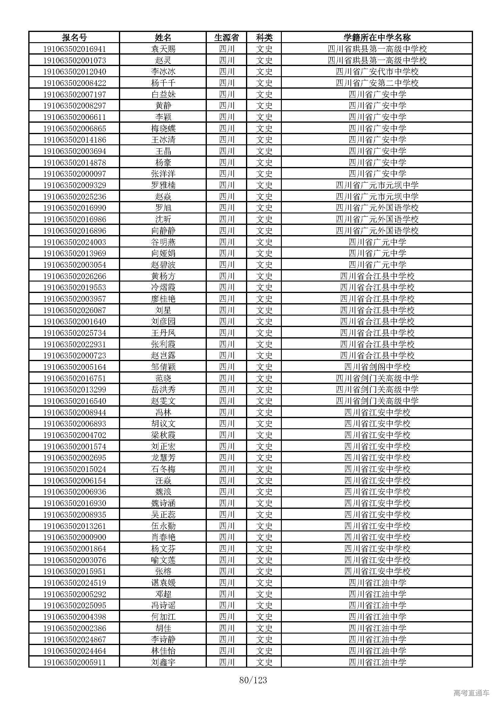
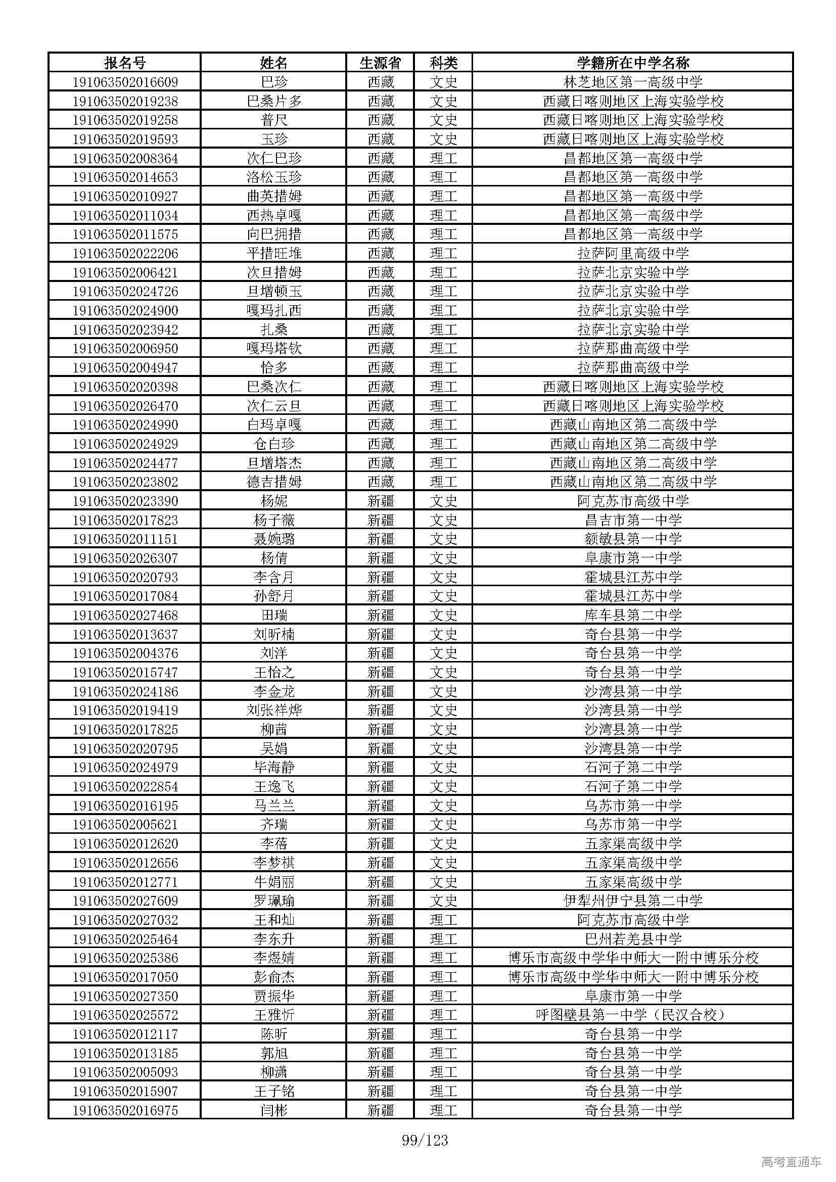
西南大学2019年高校专项计划招生资格审查拟合格名单(附件)
注:如各省招办后续对学籍户籍条件审核结论有所调整,我校将根据相关调整审核结论实时更新此名单,请考生自行关注。
二、意见受理期限
2019年5月31日—6月14日
三、反映情况的基本要求
(一) 如果认为公示对象不符合高校专项计划报名条件,请以邮件的方式向招生办公室、纪委办公室、监察处反映。
(二) 反映人要用真实姓名,反映情况要实事求是,真实、具体。
四、意见受理单位
西南大学招生就业处
电 话:023-68367777, 023-68362513
电子邮箱:zs2006@swu.edu.cn
西南大学纪委办公室、监察处
电子邮箱:zsksjd@swu.edu.cn
西南大学招生就业处
2019年5月31日
附件:西南大学2019年高校专项计划招生资格审查拟合格名单


























































































































