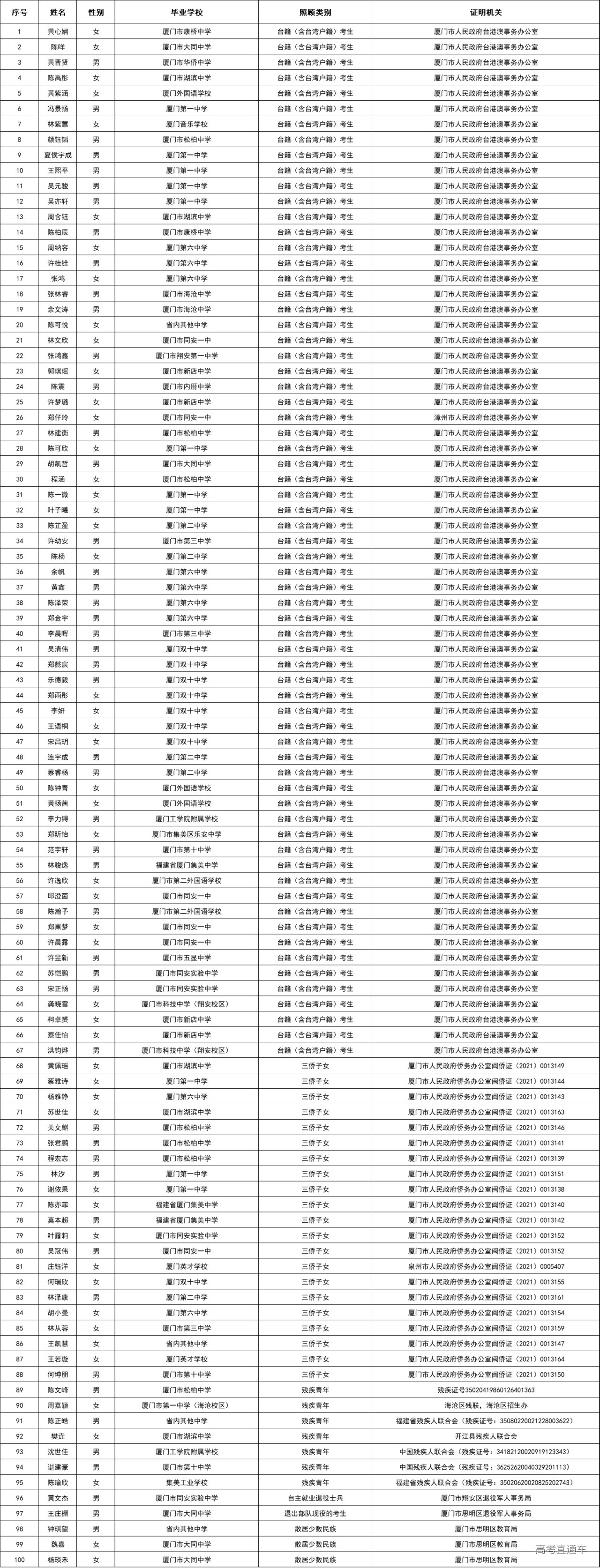
根据《福建省教育厅办公室关于做好2021年高考录取照顾资格申报及审核工作的通知》闽教办学〔2021〕3号,经考生申报、所在学校、区教育招生考试机构审核公示,全市共有478人次申报2021年普通高考录取照顾资格,现将名单予以公示如下。如有异议,可来信来电反映。
公示时间:2021年3月24日至4月7日
联系地址:厦门市湖里区火炬二路269号厦门市教育招生考试中心会考科(邮编:361006)
联系电话:0592-5703107(正常上班时间08:00-12:00 14:30-17:30)
厦门市教育招生考试中心
2021年3月23日
补充名单:




