关于公示我校2019年高职专业学院
自主招生正式录取名单的通知
根据《关于做好2019年高职专业学院自主招生试点工作的通知》(粤教考函〔2019〕40号)和我校《2019年高职专业学院自主招生章程》,现将我校高职专业学院自主招生正式录取名单予以公布(见附件)。
公示期为2019年5月27日—5月29日,如有异议,请向我院招生办公室反映,联系电话:广州校区 020-85297313;珠海校区 0756-7796101、7796211。
如对以下公示名单有异议,可向我校纪检处进行申诉。
申诉部门:广东科学技术职业学院纪检监察处
申诉电话:0756-7796896
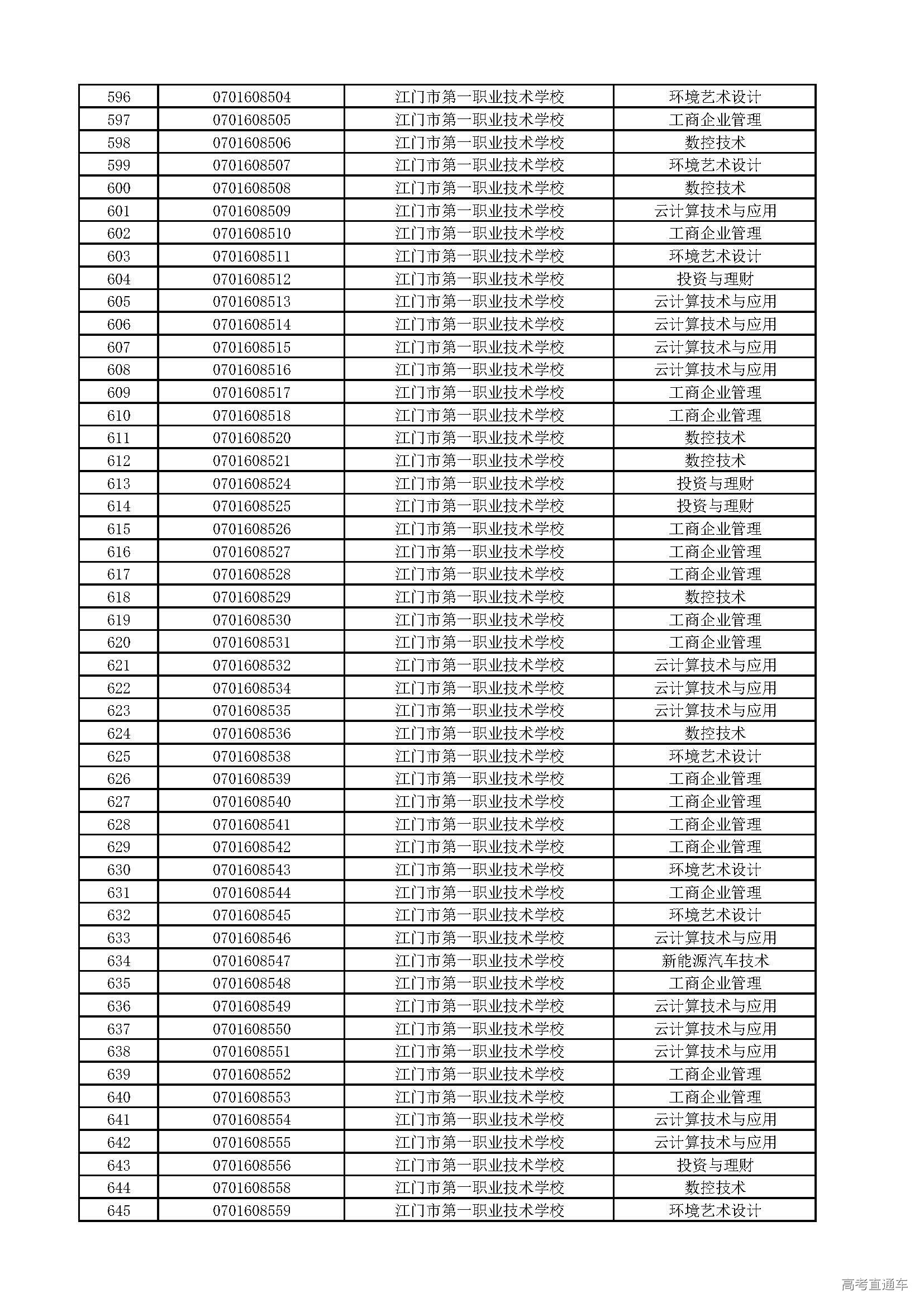
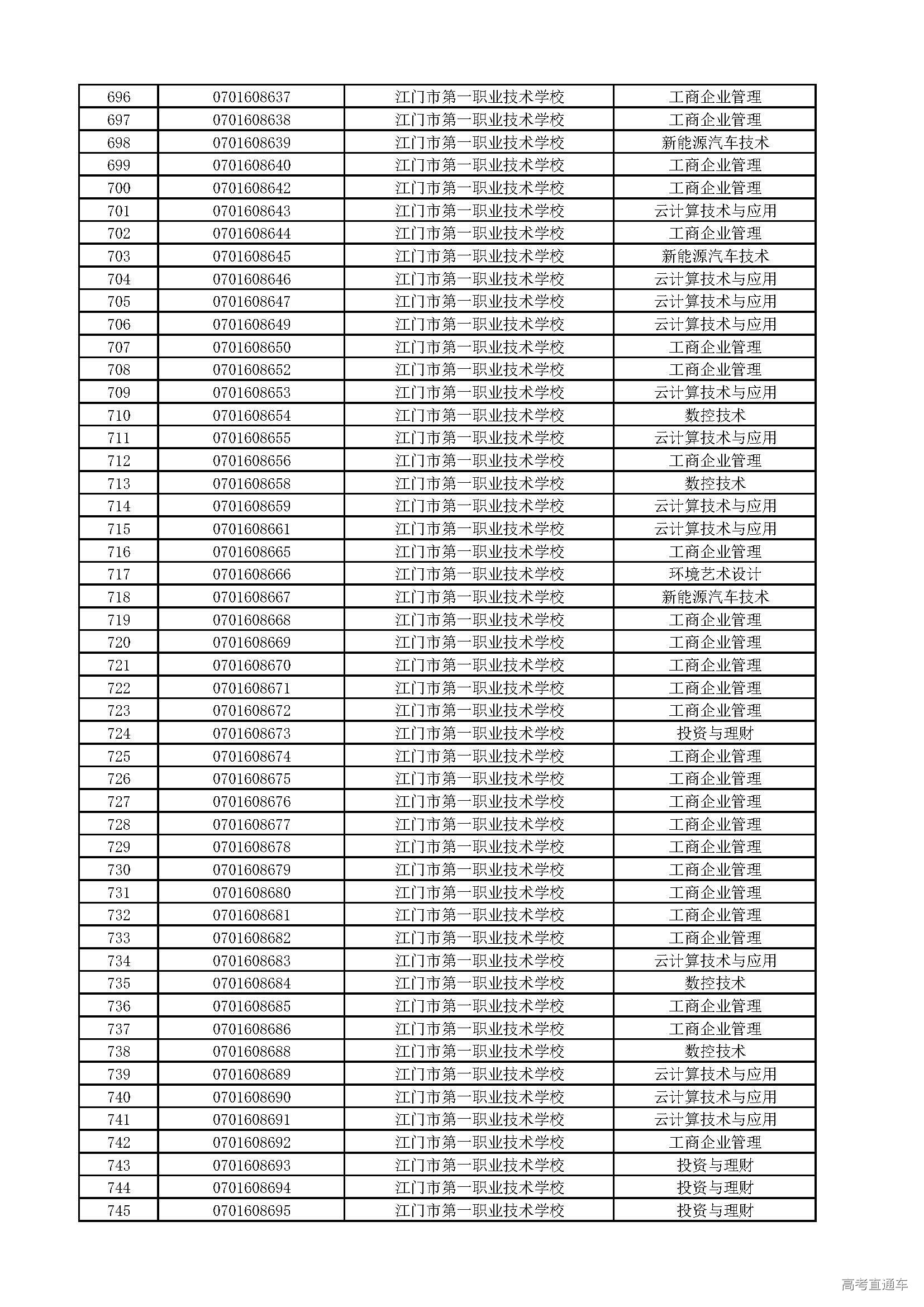
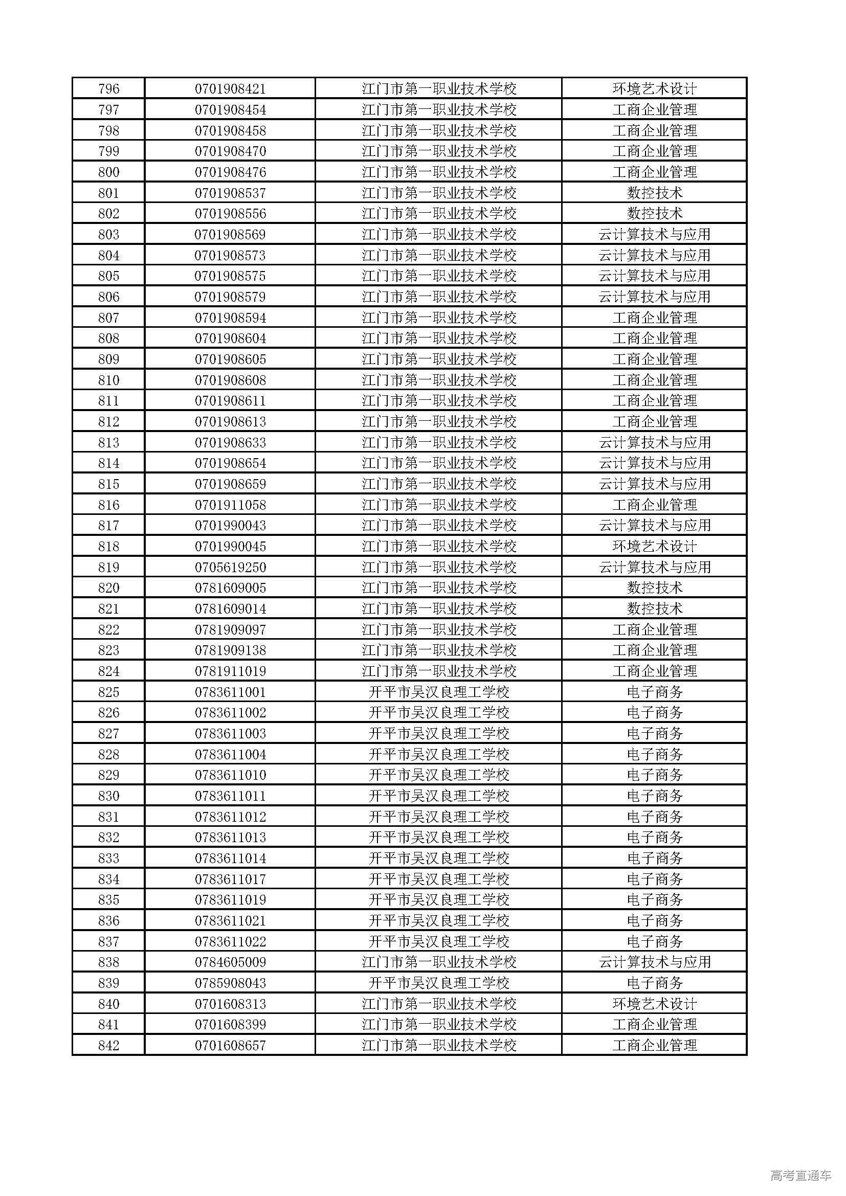
附件:2019年高职专业学院录取名单.xlsx
广东科学技术职业学院招生办公室
2019年5月27日
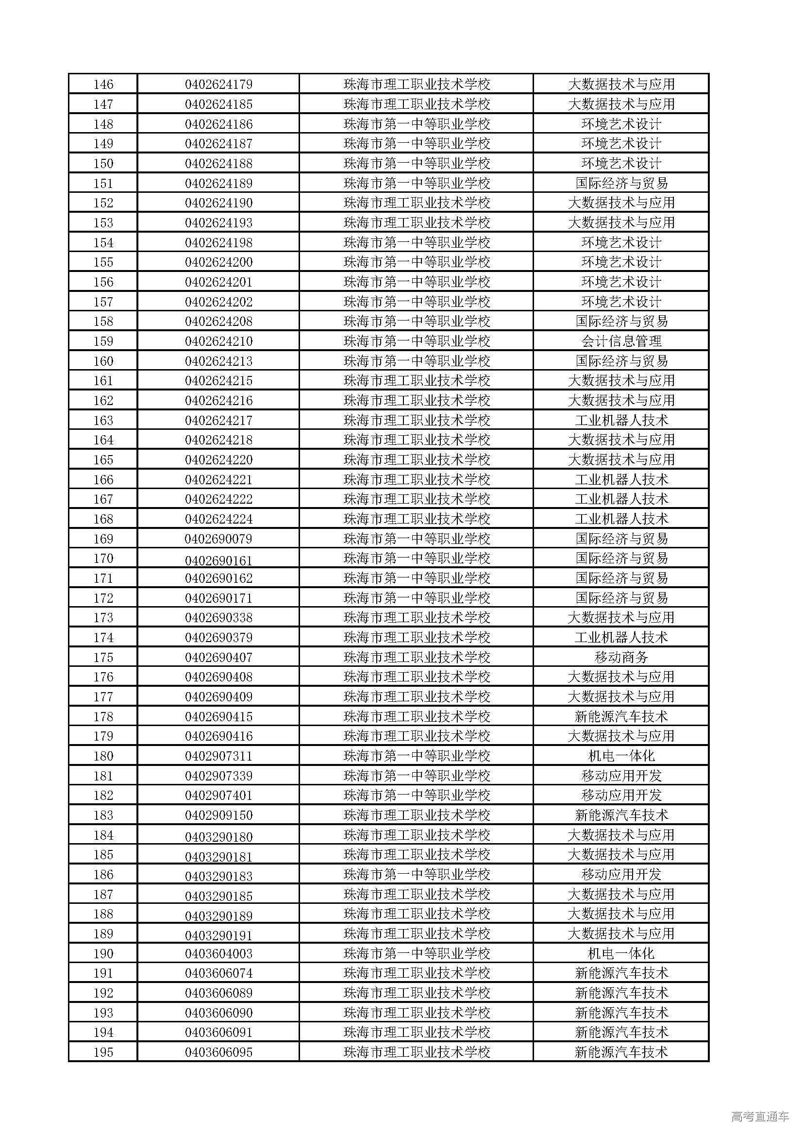
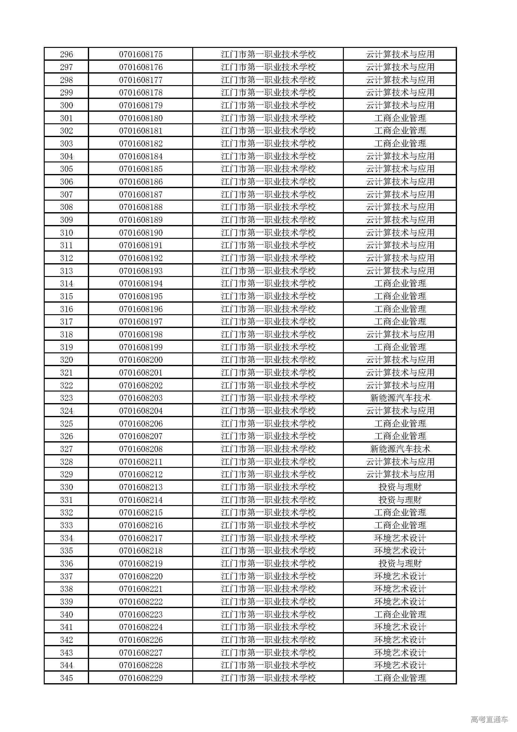
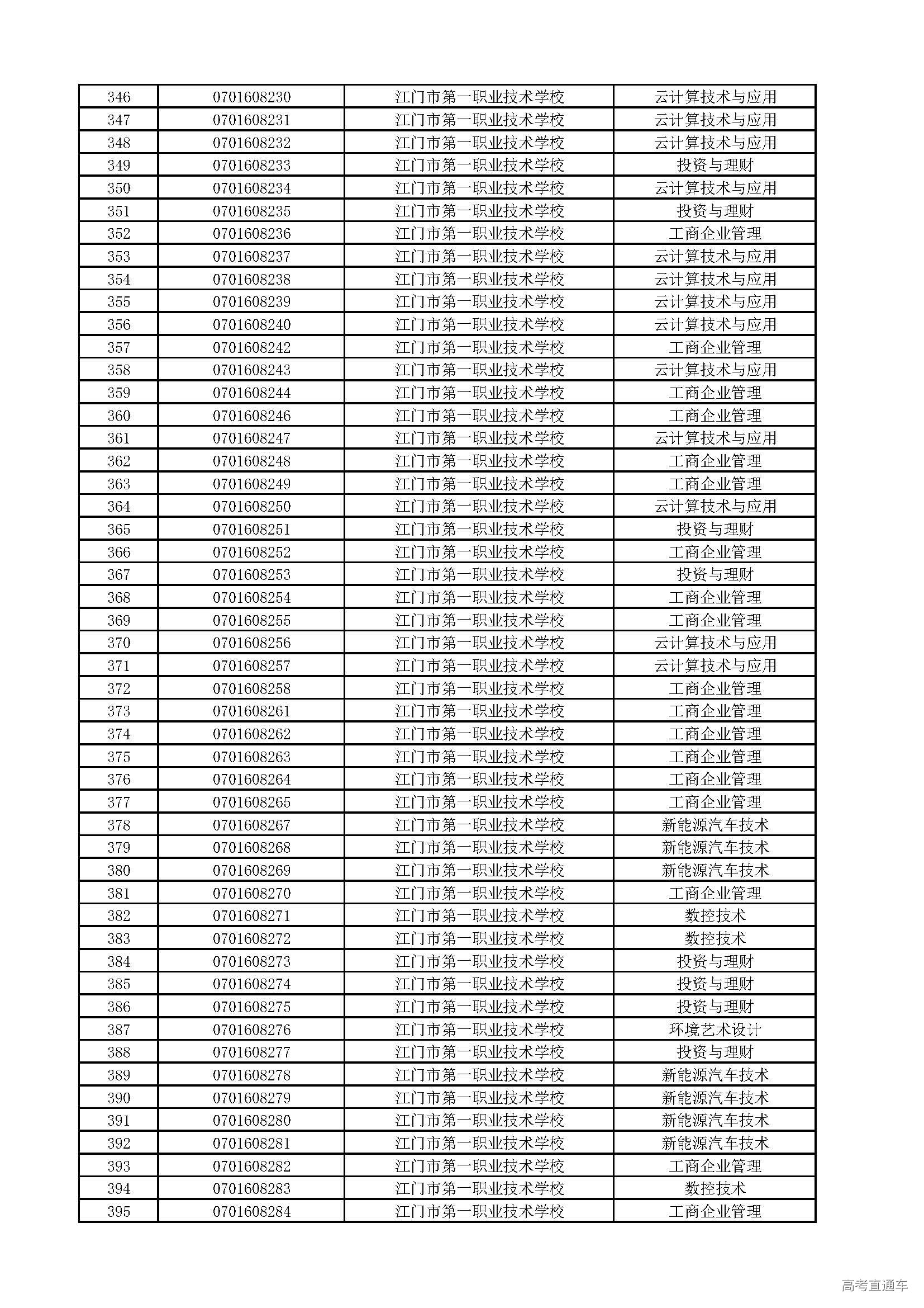
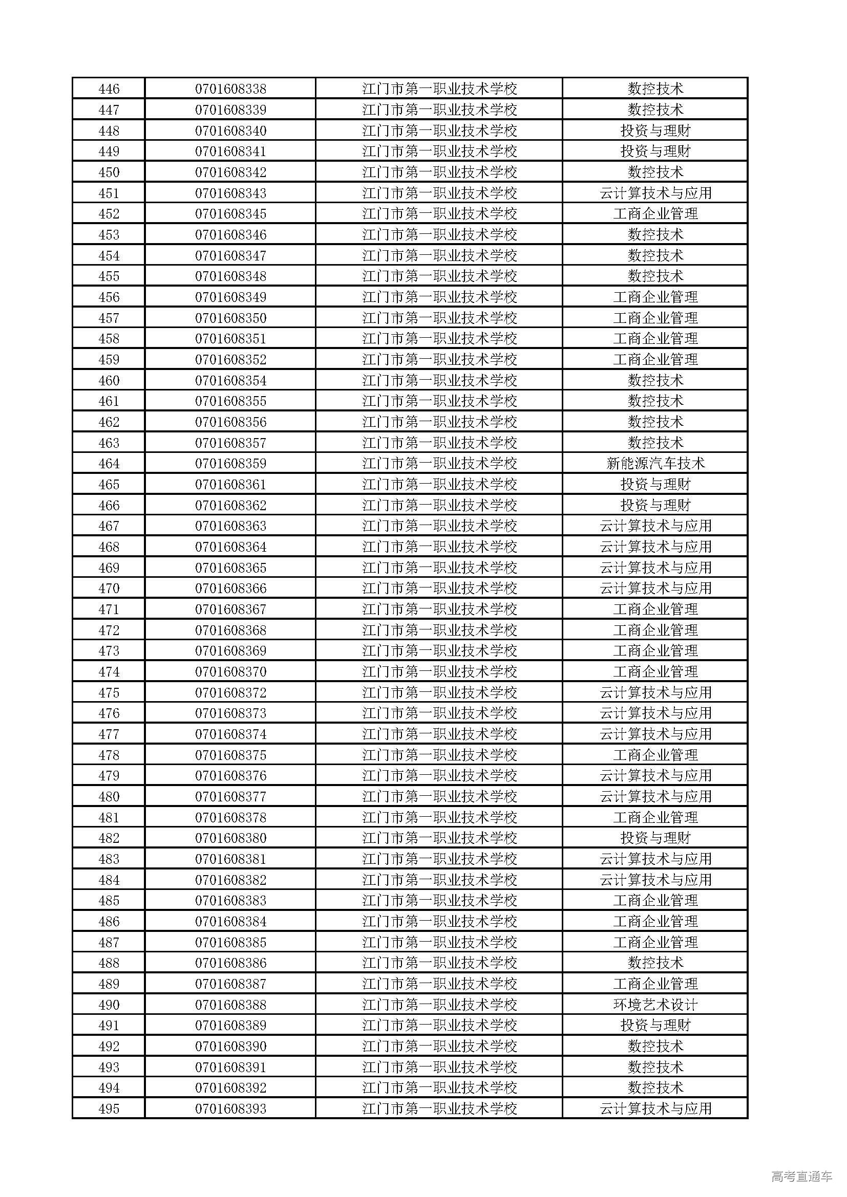
2019年高职专业学院录取名单
















