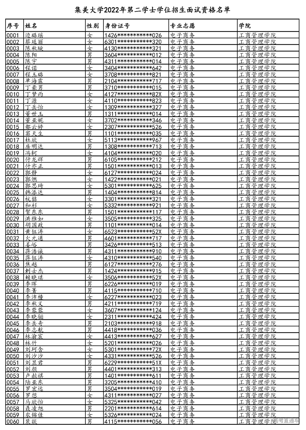
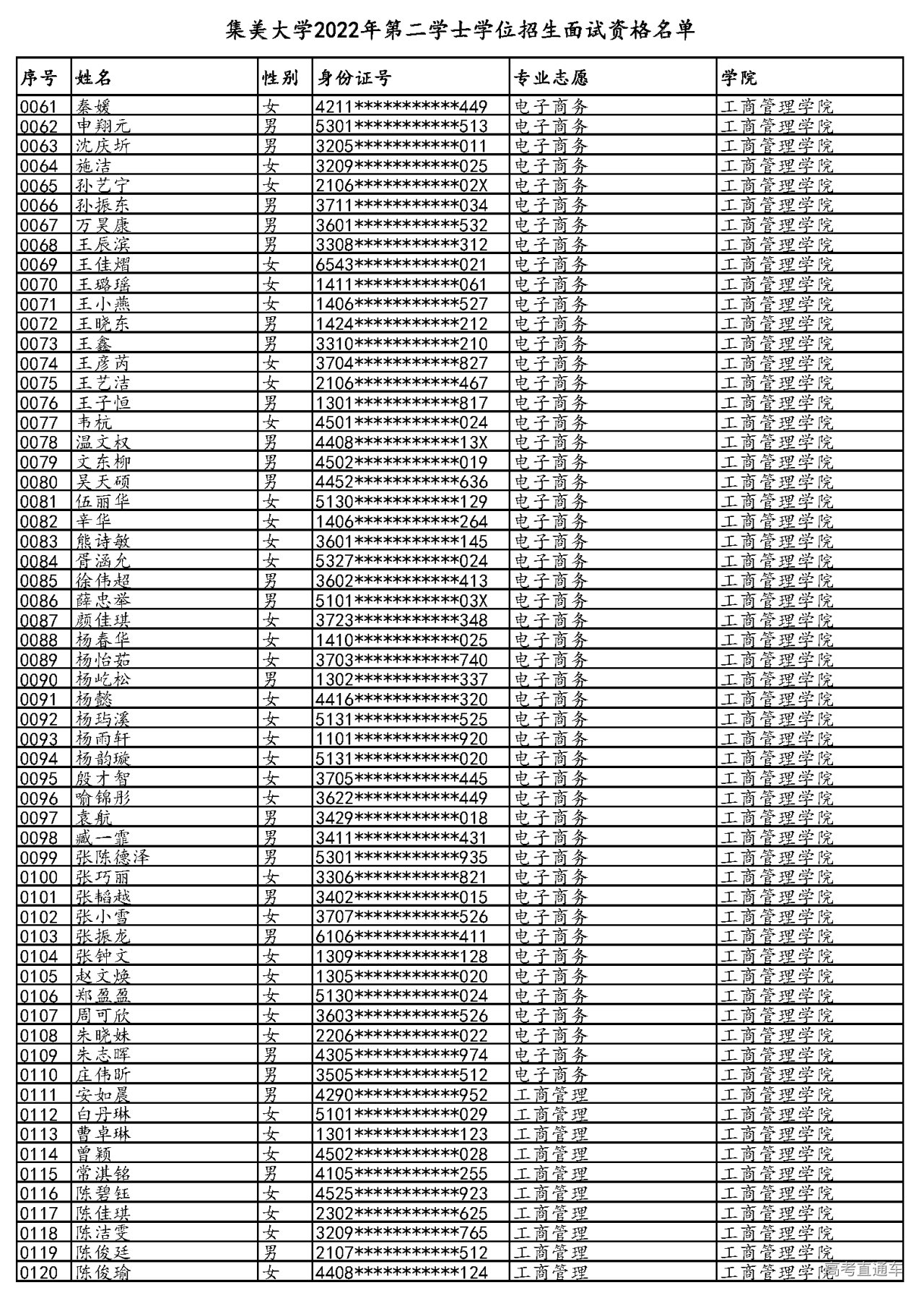
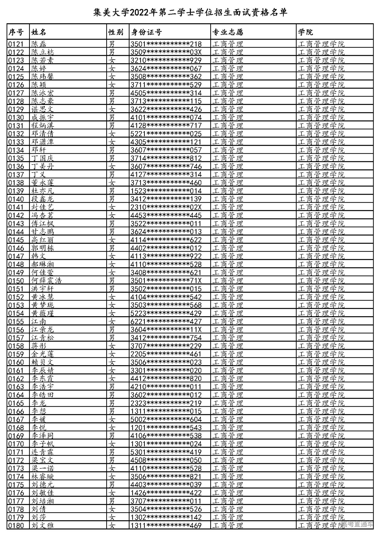
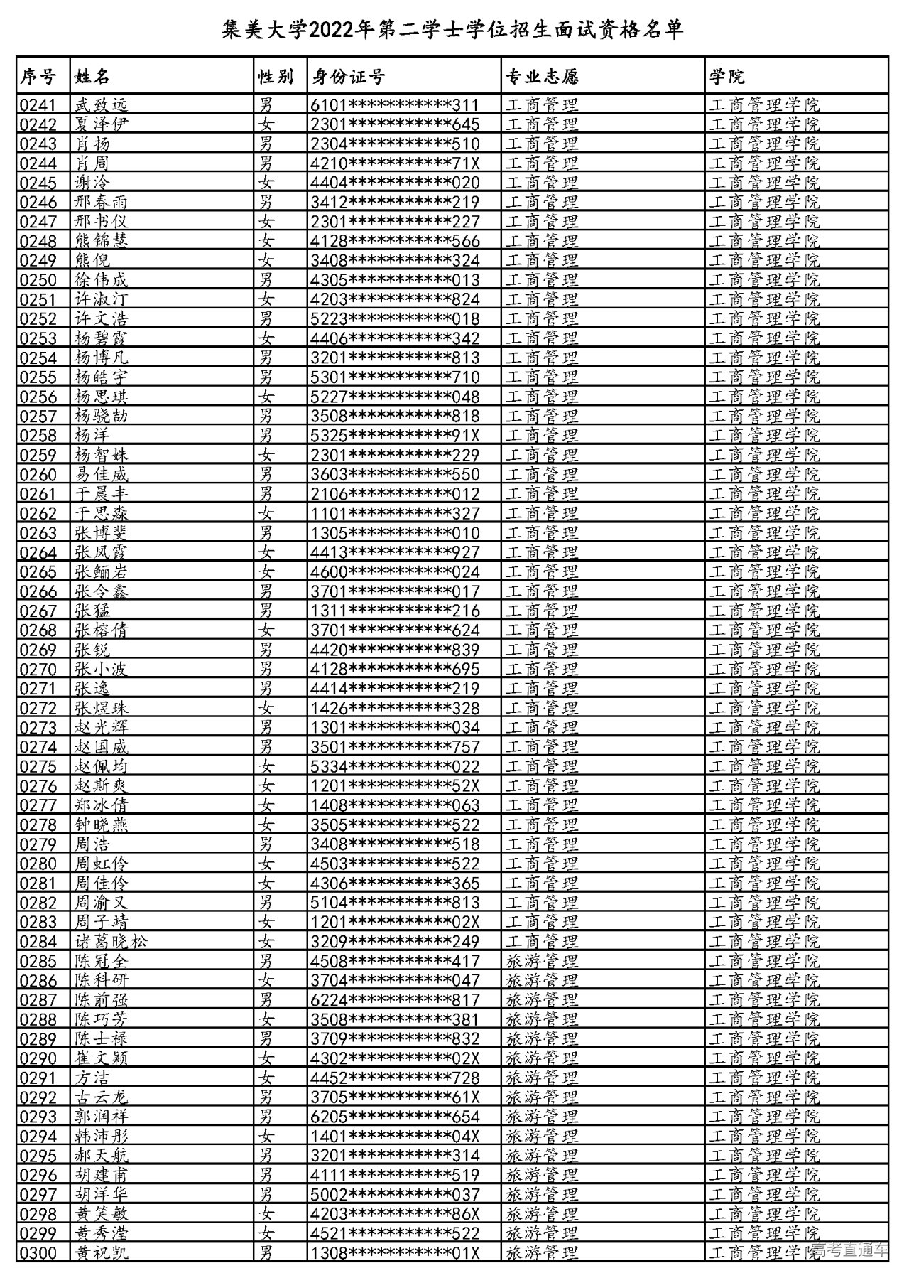
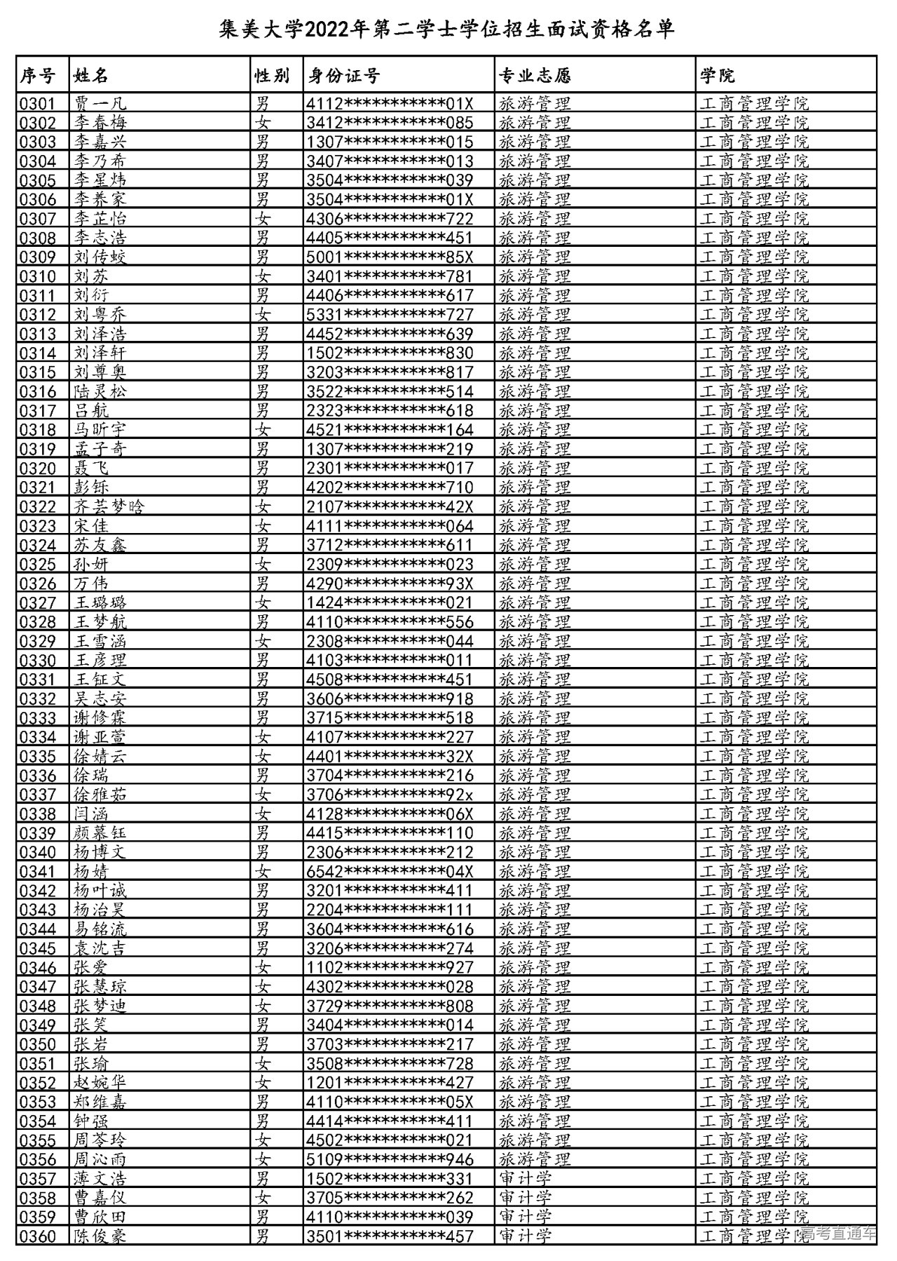
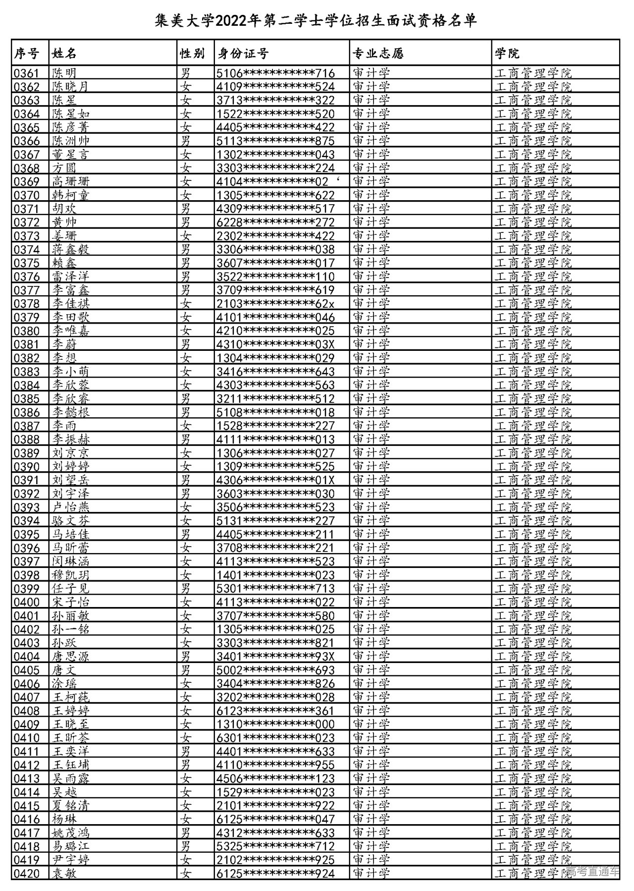
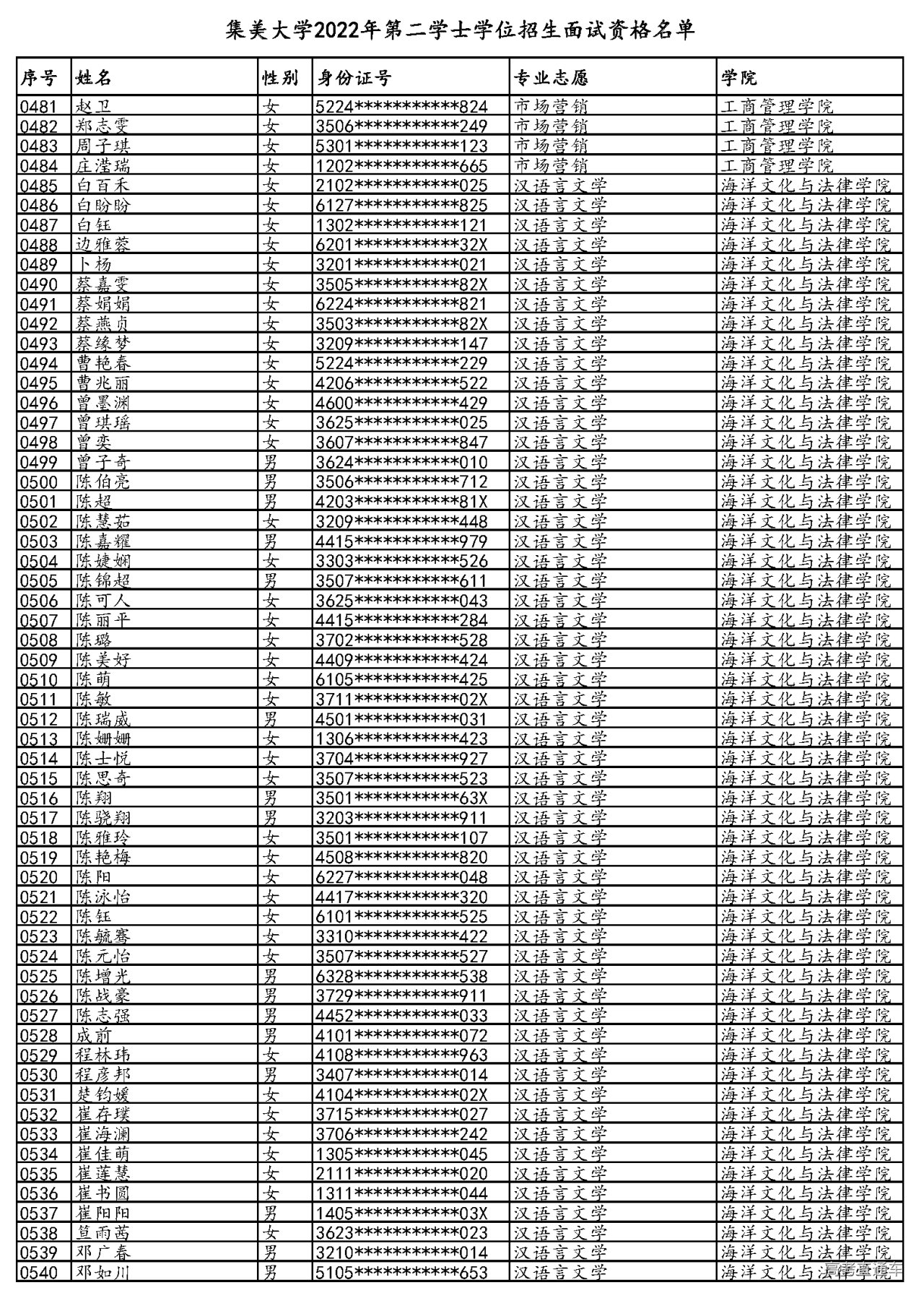
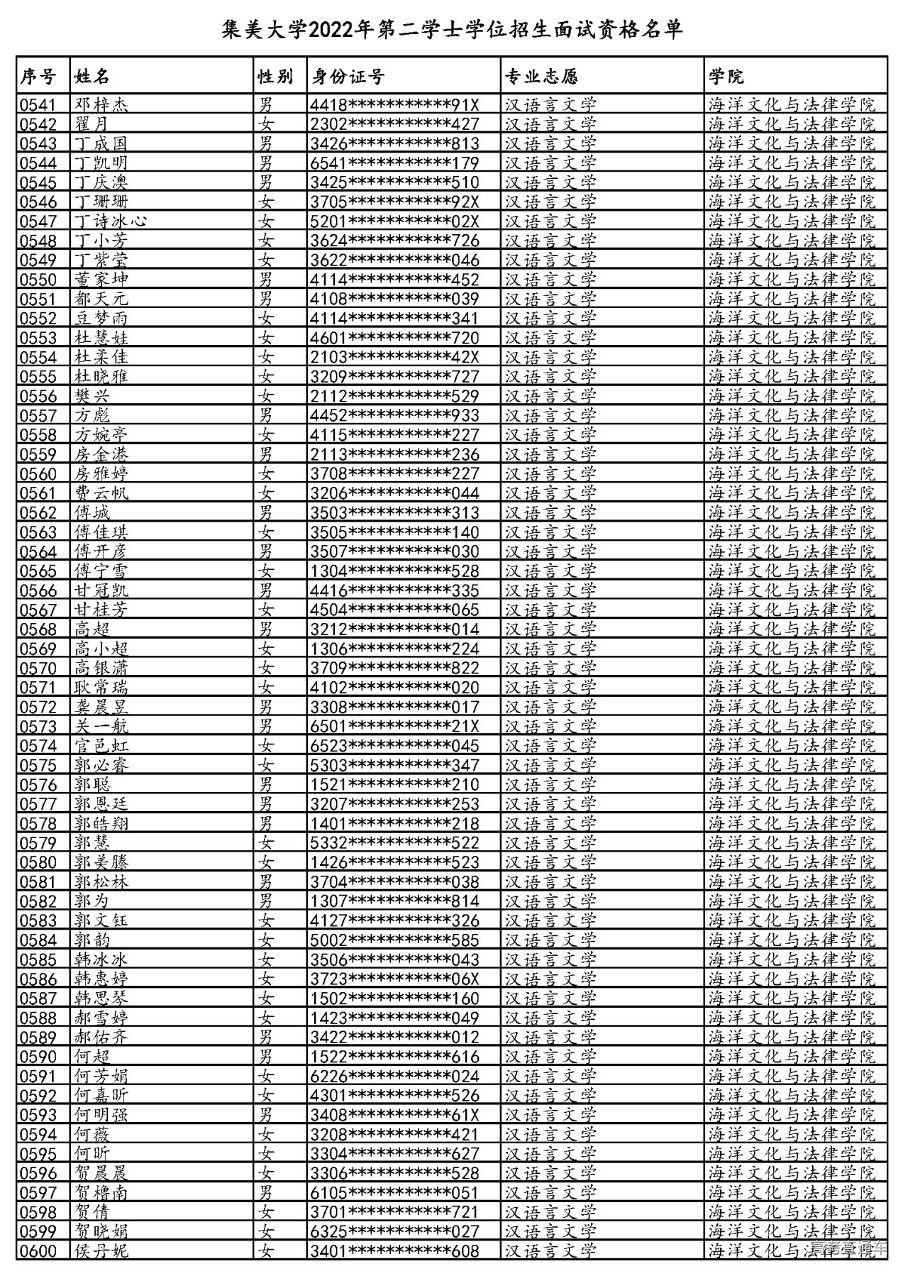
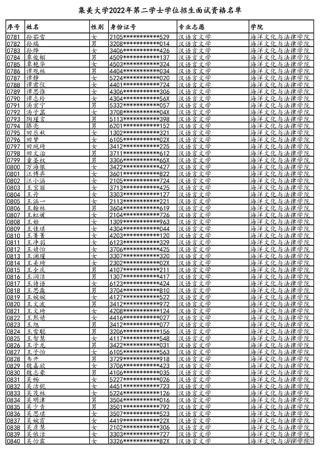
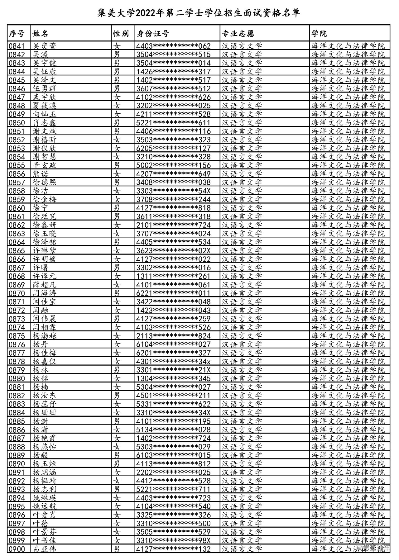
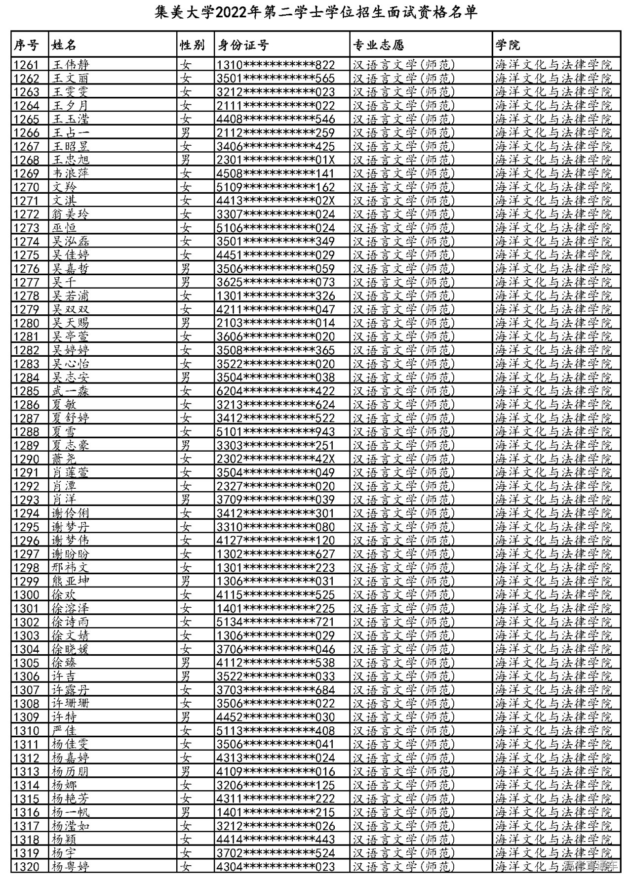
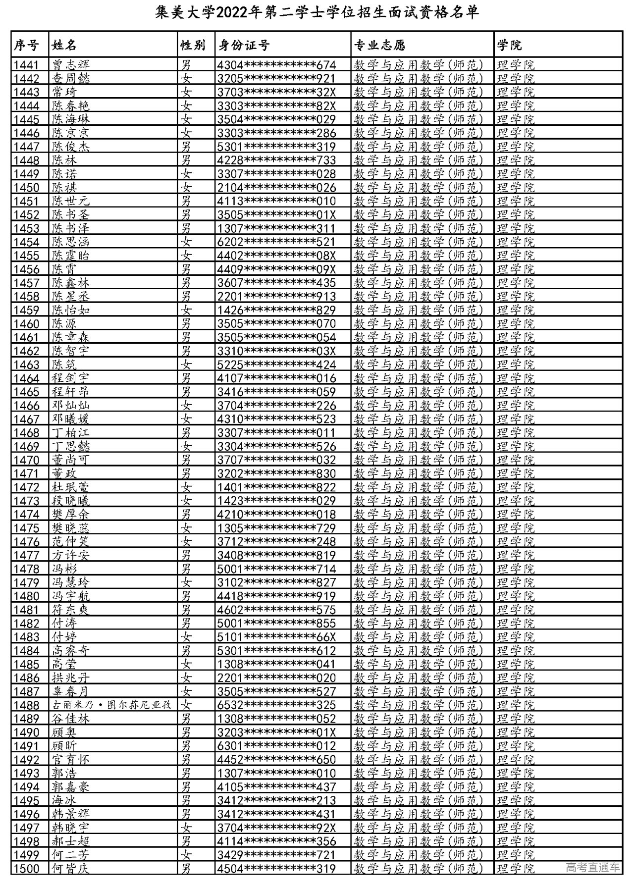
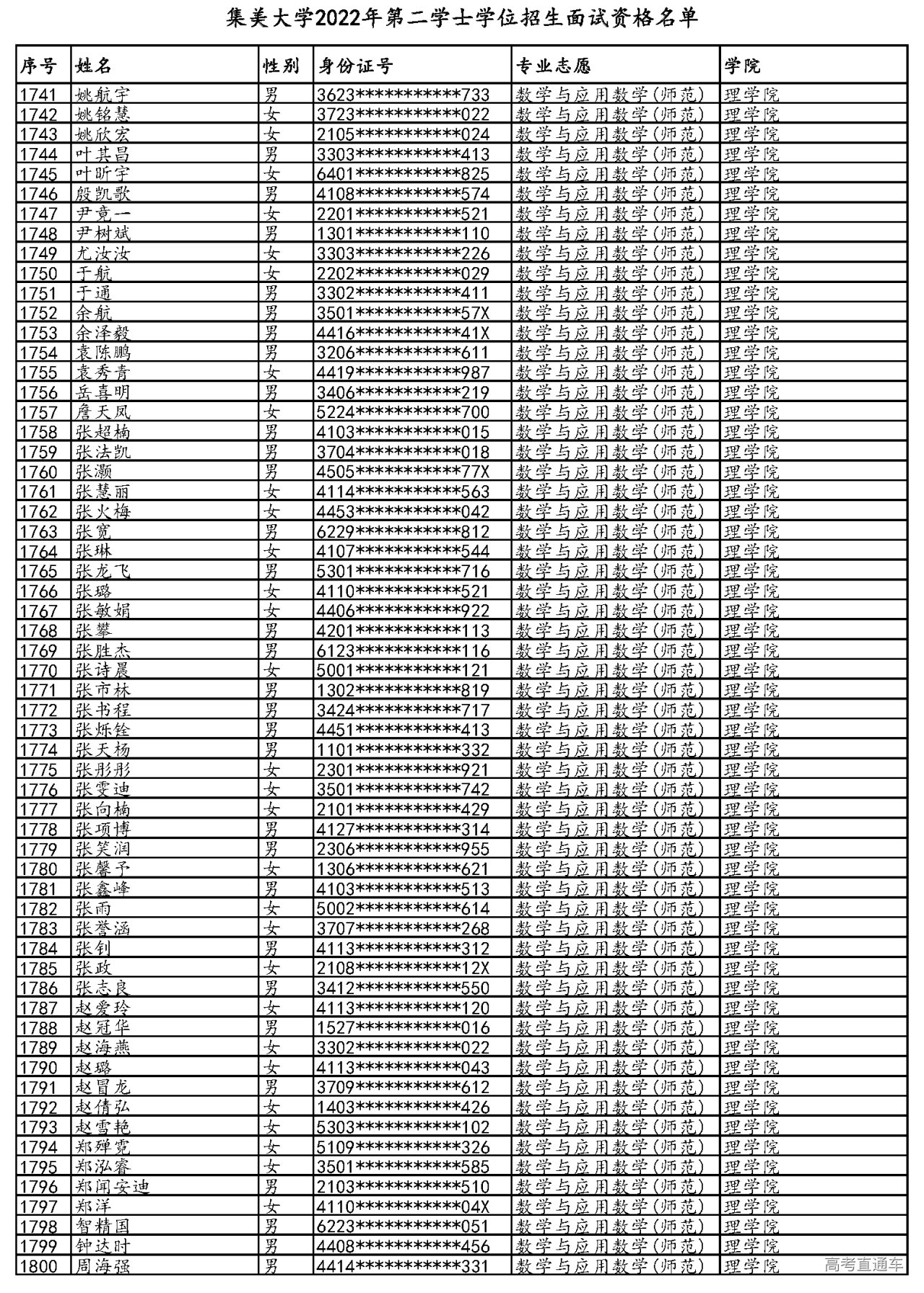
依据《集美大学2022年第二学士学位招生考试办法》,经学校初审,现将入围面试的1817名考生予以公示(见附件1)。现将有关事项通知如下:
一、面试方式:远程网络面试。
二、面试时间:7月9-15日,具体时间及安排由相关学院组织进行,另行通知考生。
三、招考咨询:
请各位考生于7月8日中午11时前,实名加入自己所报专业志愿对应的QQ群(如上表所示)。逾期不加入QQ群报到的视为自动放弃面试资格,加入群后请立即实名修改群昵称,并按照工作人员的要求完成签到确认,若不听从工作人员指挥,不实名修改,或者乱入其他专业群,因此造成无法面试的后果自负。
公示中的本校毕业生获得免面试资格,仍须于7月8日中午11时前加入专用QQ群(群号将以短信形式通知),进行报到确认后待学院综合考核,加入群后请及时修改群昵称为实名,并注明毕业学院和专业,逾期不加入群者视为自动放弃我校二学位免面试资格。
网址:http://zsb.jmu.edu.cn/
招生办电话:0592-6183371 林老师
四、面试流程和使用的网络工具由各学院自行安排,由各学院在QQ群通知。
集美大学招生办公室
2022年7月5日































