高考直通车
全国高中生都在用
安装打开
#遵义联考#
遵义联考试题及答案讨论
关注880
帖子73
Y.81
6年前
总分多少哇 🌝🌝🌝
1
2
Y.81
6年前
这个星期五六联考
2
0
Y.81
7年前
下个周联考 咋办
5
2
颓废许久的废材
7年前
马上联考了,现在一轮复习好多东西还没复习到,联考我该怎么复习
0
4
颓废许久的废材
7年前
立个很小很小的flag,再过两个月就18岁,还有两次模拟考试,在18岁之前,冲进一本线,加油💪
1
4
Lemon98
7年前
谁知道贵州省遵义市2018年3月英语听力成绩怎么查询,网址我已经晓得但手机好像不行,是要在电脑上查吗?
4
9
minions_lou💋
7年前
有数学高手么 理科
3
3
我刺
7年前
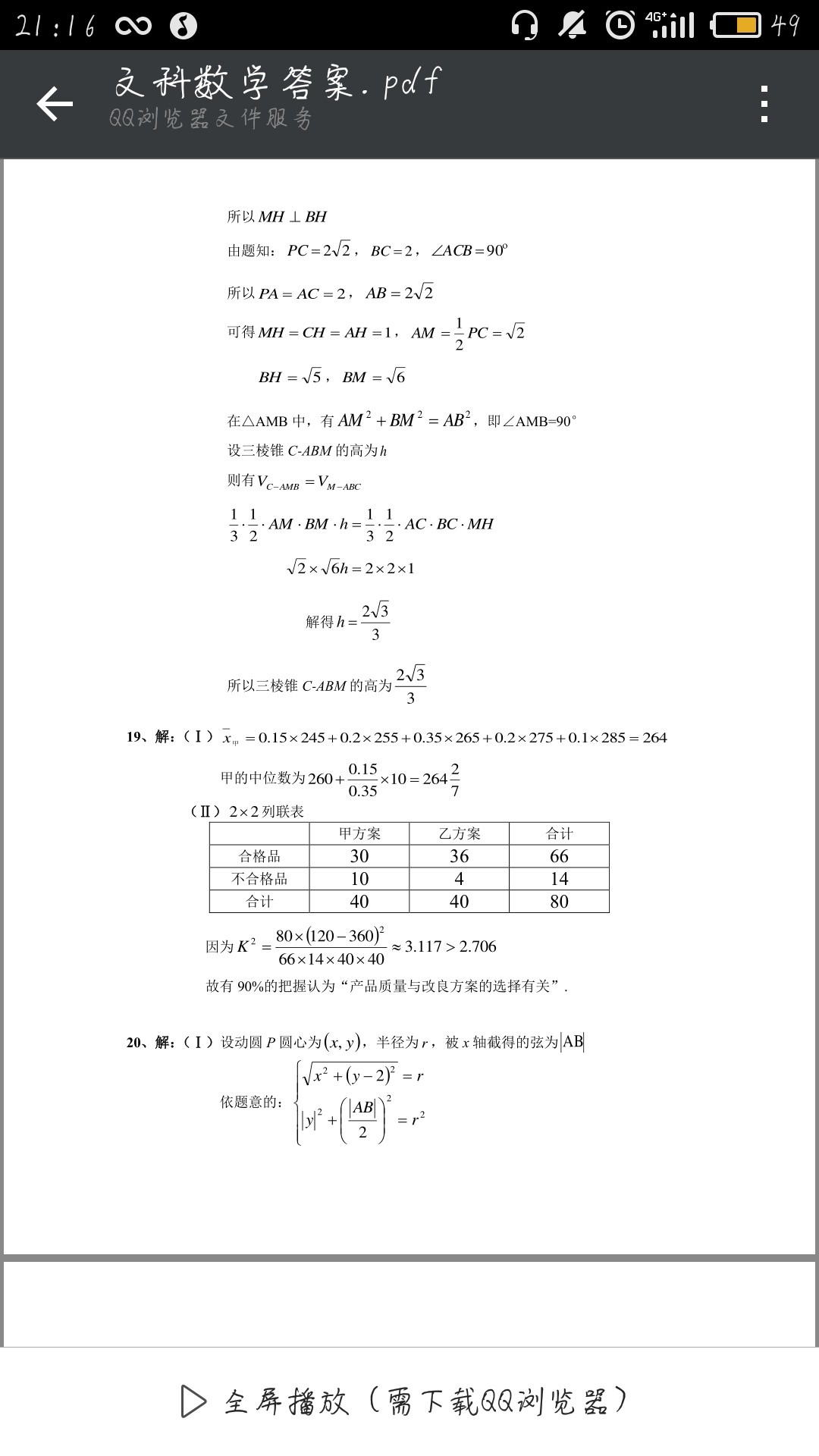
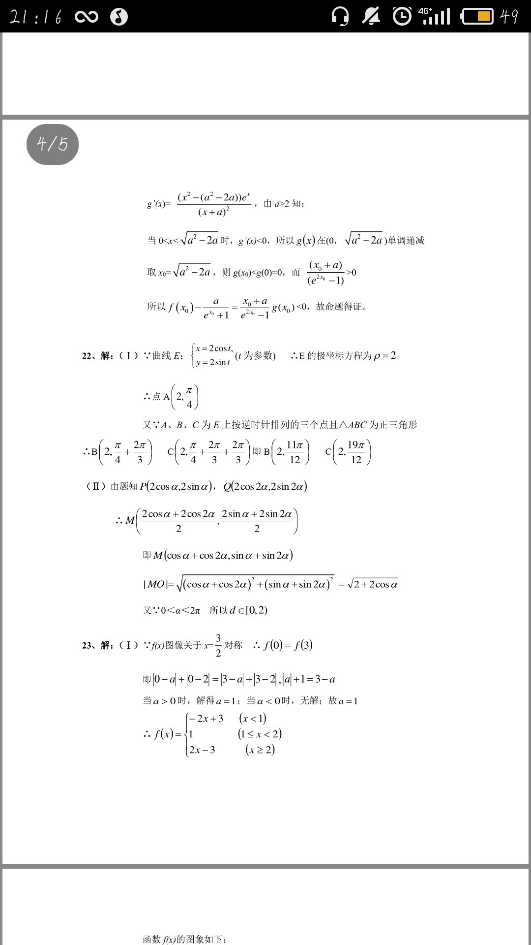
文科答案
9
4
顺江
7年前
遵义第二联考的试卷分享一下
9
4
尼古拉斯
7年前
今天数学也出的太简单了,还没平时难,一个二个都笑嘻嘻的出考场
19
4
车ypXeoT
7年前
ma的数学,
6
8
我还能取什么名字
7年前
语文做得才水。
6
2
湖水
7年前
这次语文居然没有做完
12
3
车ypXeoT
7年前
最后一次联考正式开始,现在是语文环节,你将有5天时间等待你的成绩,,,,,,
2
5
دوستت دارم
7年前
谁有政治答案
3
4
9468❤
7年前
哎,不知道怎么办了,考了语文,选择题错了太多,心都碎了 💔
5
3
一步步😊
7年前
答案语文
2
2
zly☜
7年前
怎么都没人啊,后天就要联考了。
3
1
黑暗骑士
8年前
2018遵义第一次联考语文作文题目:关于人生的迷茫困惑,你是怎么立意的?
7
8
黑暗骑士
8年前
2018遵义第一次联考语文试题:
https://app.gaokaozhitongche.com/news/21710
(来自高考直通车客户端)
4
3
╭半夏 ☆半微涼
8年前
联考语文题 作文乱写[doge]
4
4
愿得一人心55
8年前
谁有遵义市第三次联考的答案?
7
8
xxxx
8年前
有没有遵义联考的同学
7
7
想要高考资讯、目标管理、成绩曲线、倒计时提醒...?
下载“
高考直通车
”体验更多精彩的功能
想要高考资讯、目标管理、成绩曲线、倒计时提醒...?
下载“高考直通车”体验更多精彩的功能