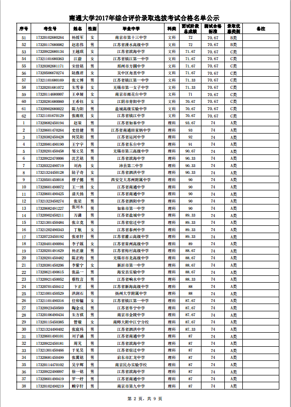
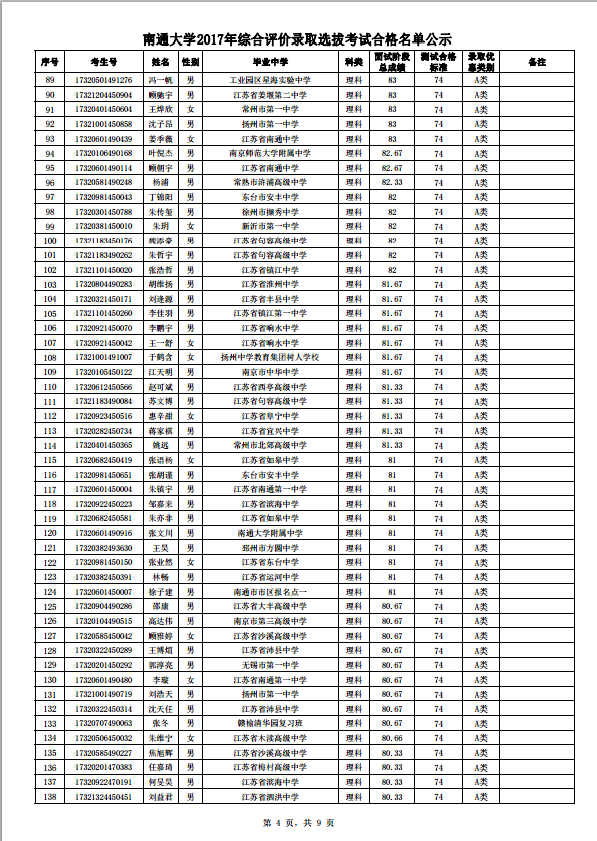
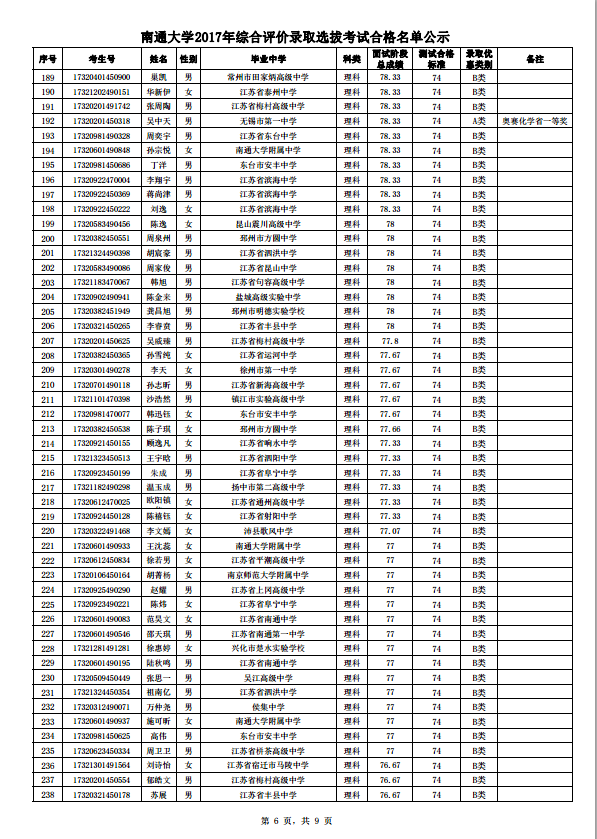
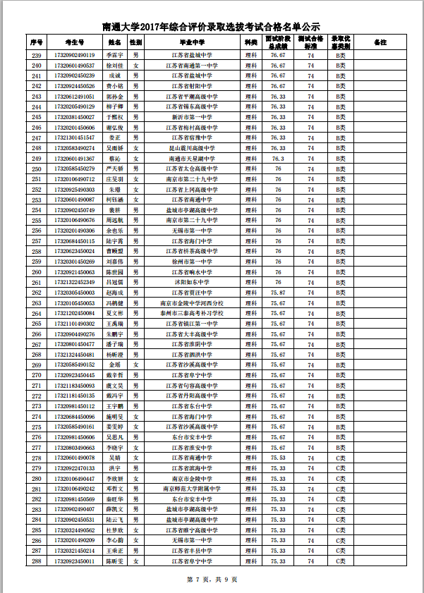
根据教育部、江苏省关于综合评价录取的文件精神以及《南通大学2017年综合评价录取招生简章》的规定,经我校初审、面试,由学校综合评价录取工作领导小组审定,以下406名(超出6名为同分考生一并发放合格证)考生取得南通大学2017年综合评价录取认定资格,具体名单详见附件一。公示日期为2017年6月22日至2017年6月30日。考生可通过综合评价录取报名系统(http://bm.chsi.com.cn)查询详细情况。
相关说明如下:
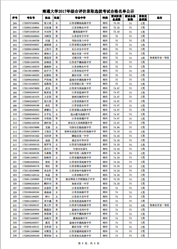
一、按照我校招生简章规定:考生面试阶段总成绩(满分为100分)=面试成绩(满分为80分)+考生条件分(满分为20分)。合格考生投档享受优惠条件分以下三类:
A类: 面试阶段总成绩排序前40%(含)的合格考生或数学、物理、化学奥林匹克学科竞赛获省级赛区一等奖及以上,高考成绩达到所属科类本科第一批省录取最低控制线下20分以内可以投档。
B类:面试阶段总成绩排序在40%-80%(含)的合格考生,高考成绩达到所属科类本科第一批省录取最低控制线下10分以内可以投档。
C类:面试阶段总成绩排序在后20%的合格考生,高考成绩达到所属科类本科第一批省录取最低控制线可以投档。
二、按照江苏省教育厅的相关规定,取得我校综合评价录取入选资格且高考成绩达到所属科类投档优惠条件(A类:达到所属科类本科第一批省录取最低控制线下20分以内;B类:达到所属科类本科第一批省录取最低控制线下10分以内;C类:达到所属科类本科第一批省录取最低控制线)且达到所属科类本科第二批省录取最低控制线、两门选测科目等级达到BB(含)以上、必测科目达到4C1合格的考生,须在6月27日至7月2日,登录省教育考试院高考志愿填报系统(http://www.jseea.cn或http://gkzy.jseea.cn)填报综合评价录取高校志愿,具体专业及招生计划见附件二。如在规定时间内,考生未填报综合评价录取志愿,即视为自动放弃综合评价录取资格。具体录取政策按照《南通大学2017年综合评价录取招生简章》规定执行。
对公示结果如有异议,可在公示期内以书面形式向我校反映,逾期不予受理。
通信地址:南通市啬园路9号南通大学招生办公室
邮编:226019
招办电话兼传真:0513-85012170
监督电话:0513-85012062








