求数列前N项和的常用方法
核心提示:求数列的前n项和要借助于通项公式,即先有通项公式,再在分析数列通项公式的基础上,或分解为基本数列求和,或转化为基本数列求和。当遇到具体问题时,要注意观察数列的特点和规律,找到适合的方法解题。
一.用倒序相加法求数列的前n项和
如果一个数列{an},与首末项等距的两项之和等于首末两项之和,可采用把正着写与倒着写的两个和式相加,就得到一个常数列的和,这一求和方法称为倒序相加法。我们在学知识时,不但要知其果,更要索其因,知识的得出过程是知识的源头,也是研究同一类知识的工具,例如:等差数列前n项和公式的推导,用的就是“倒序相加法”。
例题1:设等差数列{an},公差为d,求证:{an}的前n项和Sn=n(a1+an)/2
解:Sn=a1+a2+a3+...+an ①
倒序得:Sn=an+an-1+an-2+…+a1 ②
①+②得:2Sn=(a1+an)+(a2+an-1)+(a3+an-2)+…+(an+a1)
又∵a1+an=a2+an-1=a3+an-2=…=an+a1
∴2Sn=n(a2+an) Sn=n(a1+an)/2
点拨:由推导过程可看出,倒序相加法得以应用的原因是借助a1+an=a2+an-1=a3+an-2=…=an+a1即与首末项等距的两项之和等于首末两项之和的这一等差数列的重要性质来实现的。
二.用公式法求数列的前n项和
对等差数列、等比数列,求前n项和Sn可直接用等差、等比数列的前n项和公式进行求解。运用公式求解的注意事项:首先要注意公式的应用范围,确定公式适用于这个数列之后,再计算。
点拨:这道题只要经过简单整理,就可以很明显的看出:这个数列可以分解成两个数列,一个等差数列,一个等比数列,再分别运用公式求和,最后把两个数列的和再求和。
三.用裂项相消法求数列的前n项和
裂项相消法是将数列的一项拆成两项或多项,使得前后项相抵消,留下有限项,从而求出数列的前n项和。
点拨:此题先通过求数列的通项找到可以裂项的规律,再把数列的每一项拆开之后,中间部分的项相互抵消,再把剩下的项整理成最后的结果即可。
四.用错位相减法求数列的前n项和
错位相减法是一种常用的数列求和方法,应用于等比数列与等差数列相乘的形式。即若在数列{an·bn}中,{an}成等差数列,{bn}成等比数列,在和式的两边同乘以公比,再与原式错位相减整理后即可以求出前n项和。
例题4:求数列{nan}(n∈N*)的和
点拨:此数列的通项是nan,系数数列是:1,2,3……n,是等差数列;含有字母a的数列是:a,a2,a3,……,an,是等比数列,符合错位相减法的数列特点,因此我们通过错位相减得到③式,这时考虑到题目没有给定a的范围,因此我们要根据a的取值情况分类讨论。我们注意到当a=1时数列变成等差数列,可以直接运用公式求值;当a≠1时,可以把③式的两边同时除以(1-a),即可得出结果。
五.用迭加法求数列的前n项和
迭加法主要应用于数列{an}满足an+1=an+f(n),其中f(n)是等差数列或等比数列的条件下,可把这个式子变成an+1-an=f(n),代入各项,得到一系列式子,把所有的式子加到一起,经过整理,可求出an ,从而求出Sn。
例题5:已知数列6,9,14,21,30,……其中相邻两项之差成等差数列,求它的前n项和。
六.用分组求和法求数列的前n项和
所谓分组求和法就是对一类既不是等差数列,也不是等比数列的数列,若将这类数列适当拆开,可分为几个等差、等比或常见的数列,然后分别求和,再将其合并。
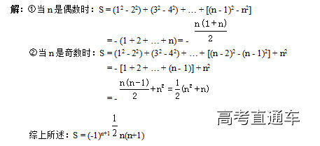
例题6:求S = 12 - 22 + 32 - 42 + … + (-1)n-1n2(n∈N*)
点拨:分组求和法的实质是:将不能直接求和的数列分解成若干个可以求和的数列,分别求和。
七.用构造法求数列的前n项和
所谓构造法就是先根据数列的结构及特征进行分析,找出数列的通项的特征,构造出我们熟知的基本数列的通项的特征形式,从而求出数列的前n项和。






