| 广东省外语艺术职业学院公布2018年依据学考录取名单的通知 |
广东省外语艺术职业学院公布2018年依据学考录取名单的通知 各位考生: 首先感谢您报考广东省外语艺术职业学院,也恭喜您通过自己的努力,被学校录取了! 根据广东省教育考试院的工作安排,现公布我校2018年依据学考录取的名单。2018年依据学考录取共录取考生1291人,其中文科录取641人,理科录取650人。具体名单见附表(查找模式下考生输入考生号即可查询) 。 学校将按照广东省教育考试院的工作部署,在规定的时间内为每位录取考生寄送录取通知书(寄送地址以考生高考报名时的联系地址为准),请考生注意查收,并请大家持续关心关注学校的建设和发展,期待您的到来! 祝您有个愉快的假期,新学期,广外艺见!
广东省外语艺术职业学院招生办公室 2018 年 4 月 25日
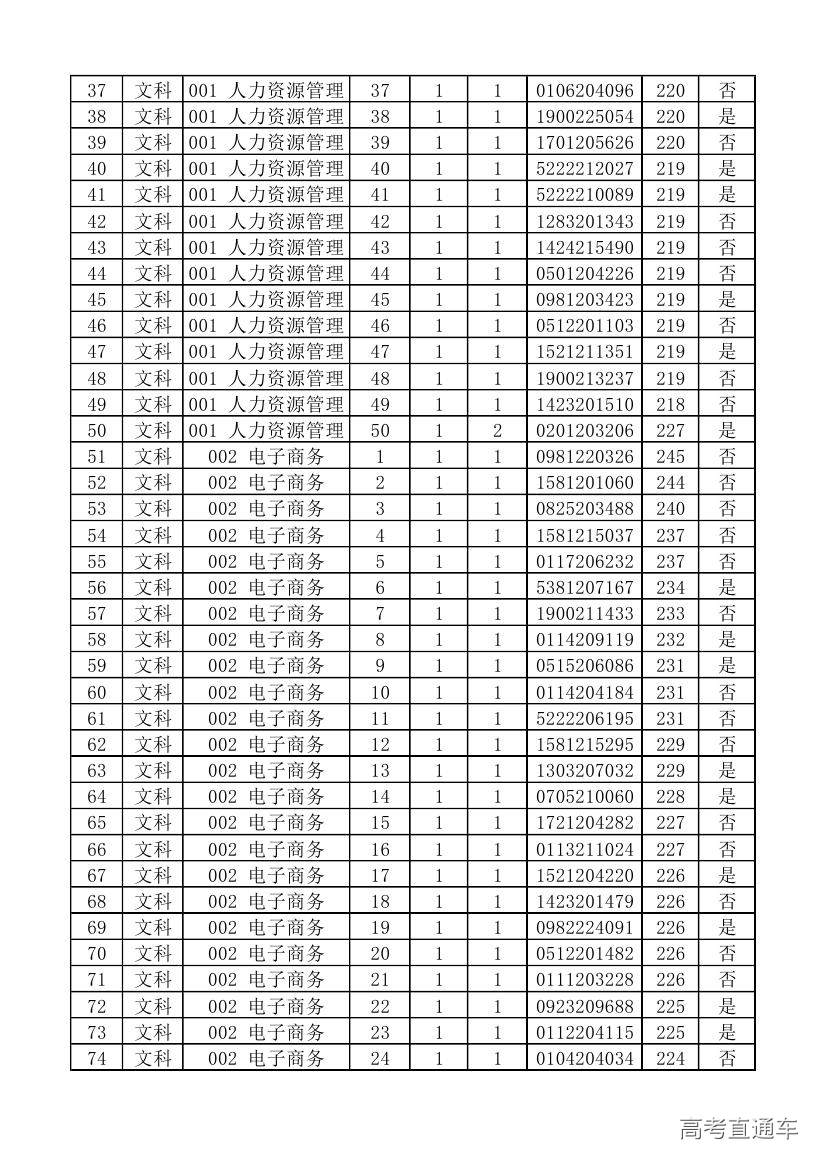
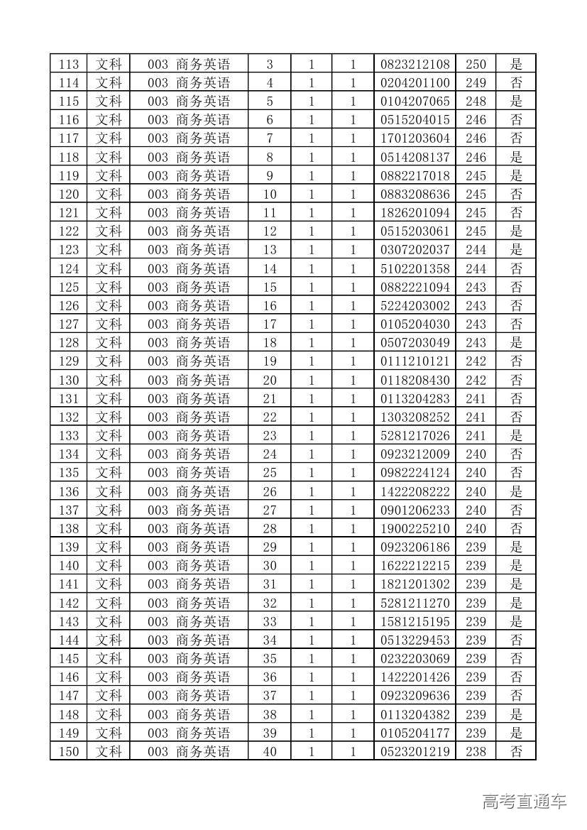
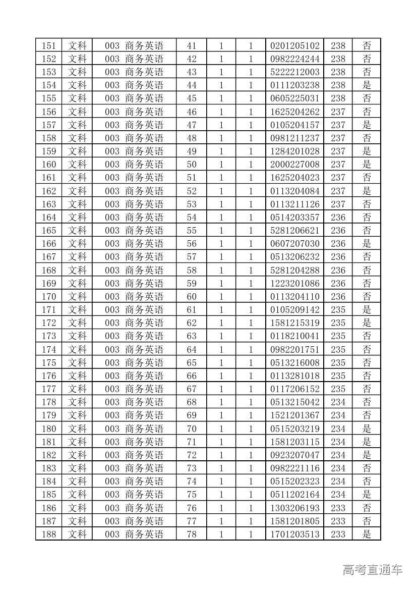
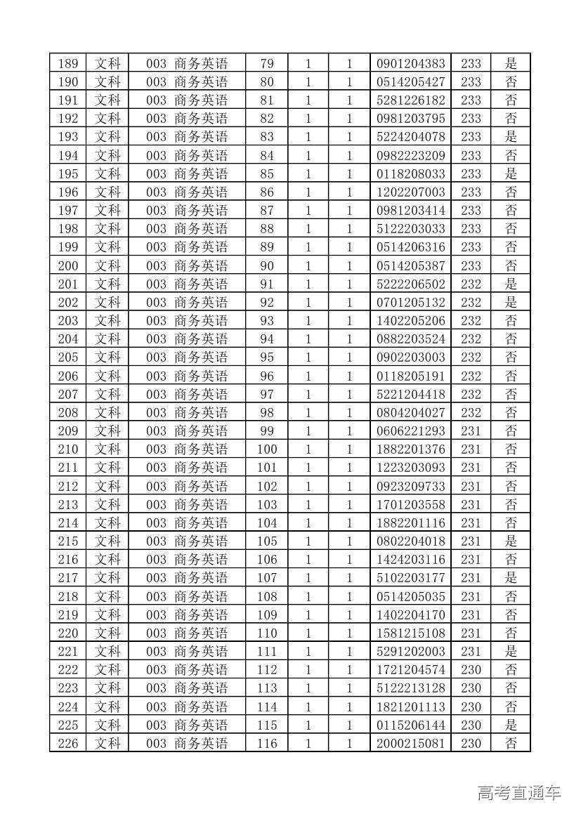
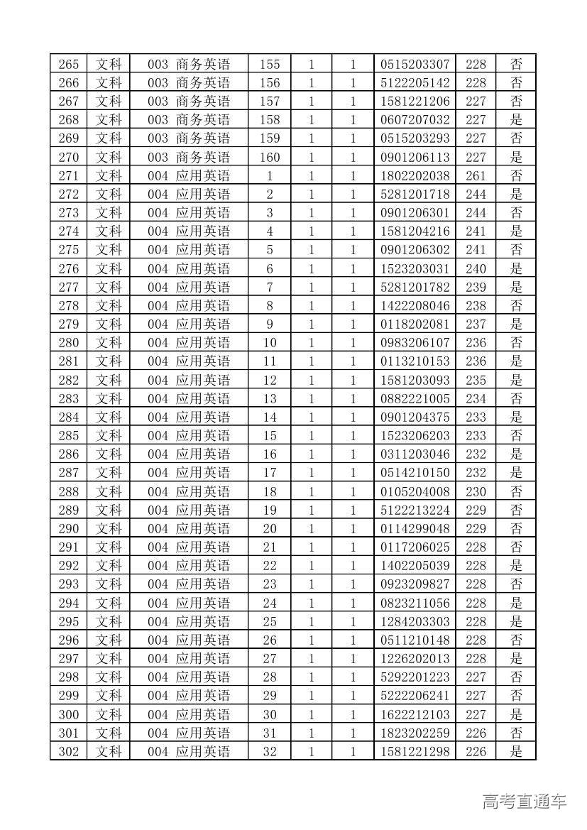
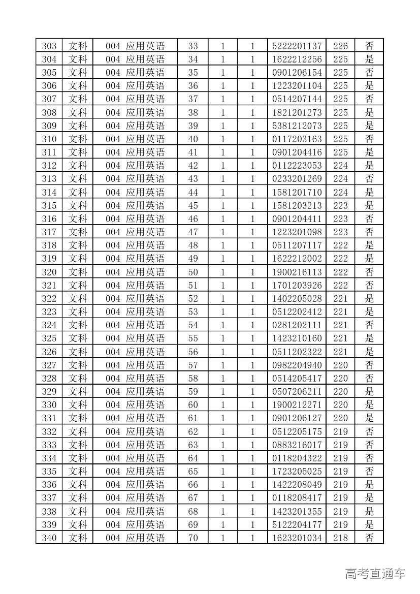
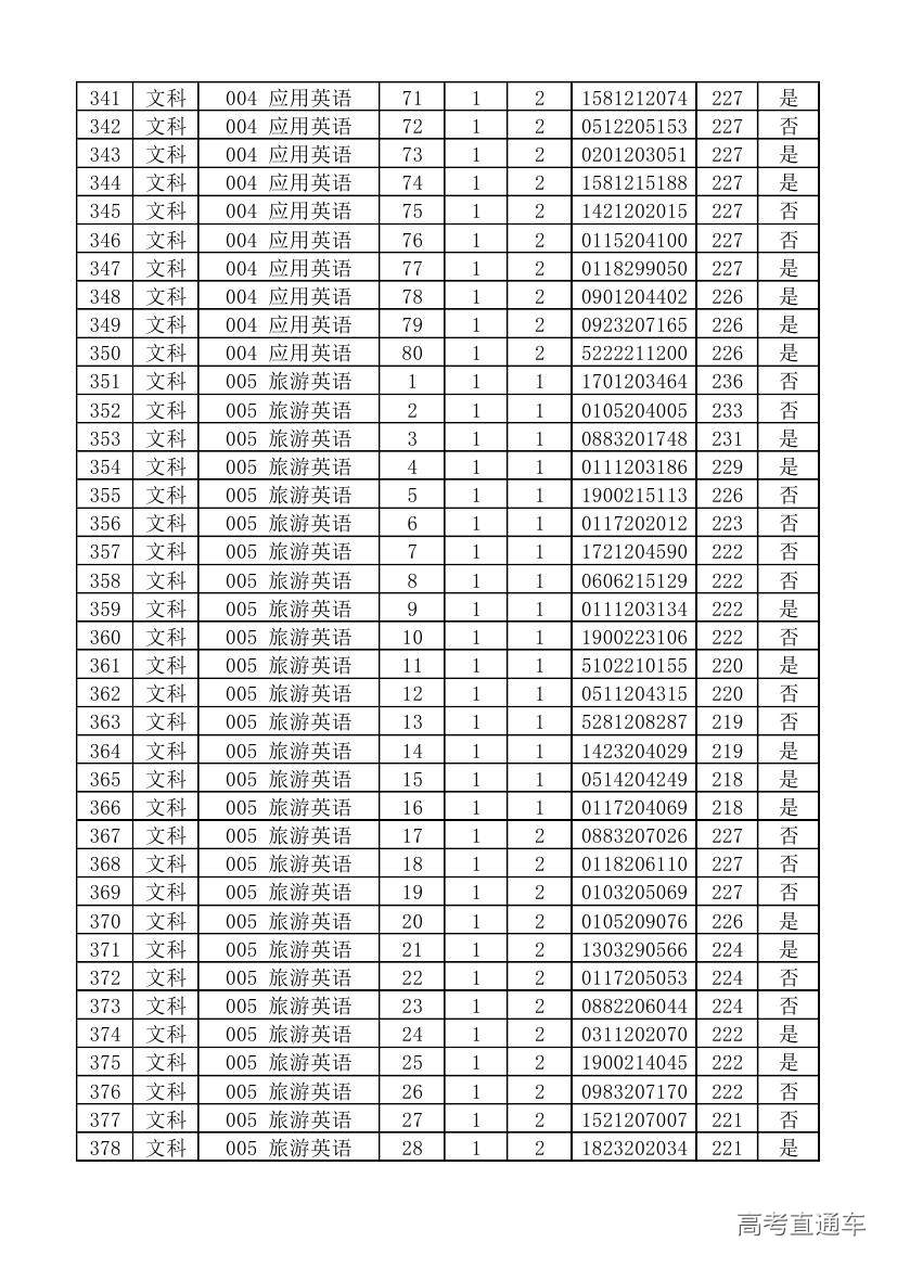
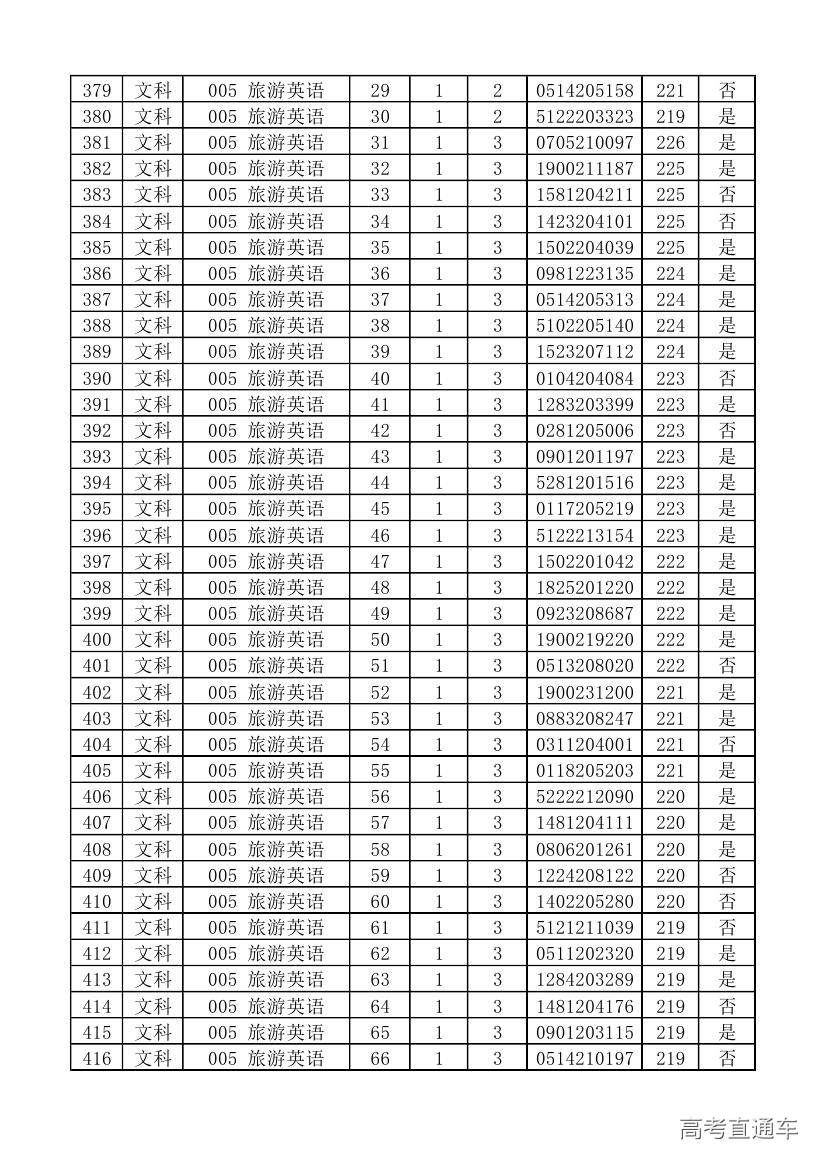
附:2018年依据学考录取名单 |
| 附件【2018年依学考录取文科录取数据(准备公示).pdf】 附件【2018年依学考录取理科第一次录取数据(准备公式).pdf】 附件【2018年学考理科征集志愿录取数据(准备公示).pdf】 |
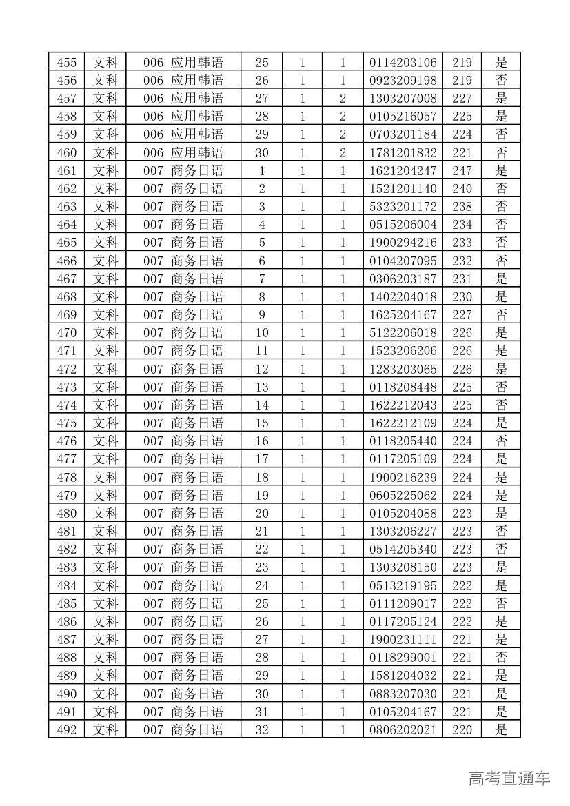
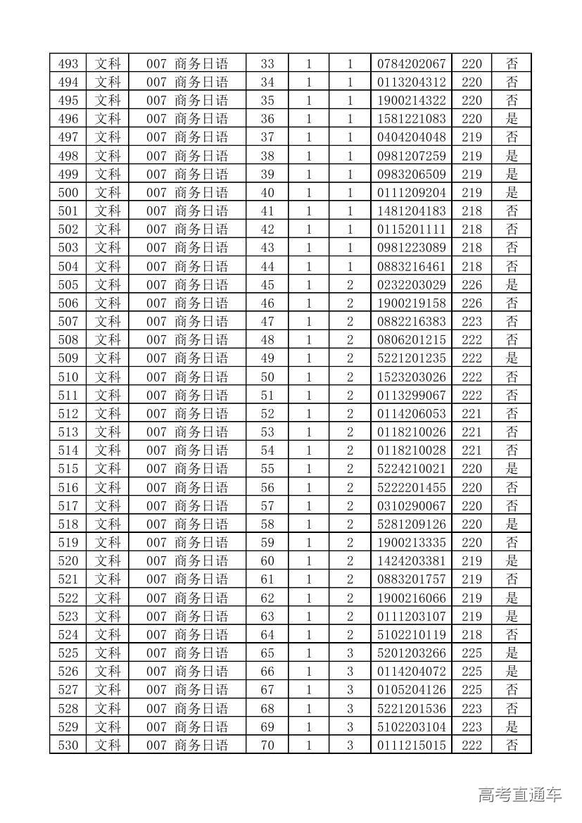
2018年依学考录取文科录取名单:
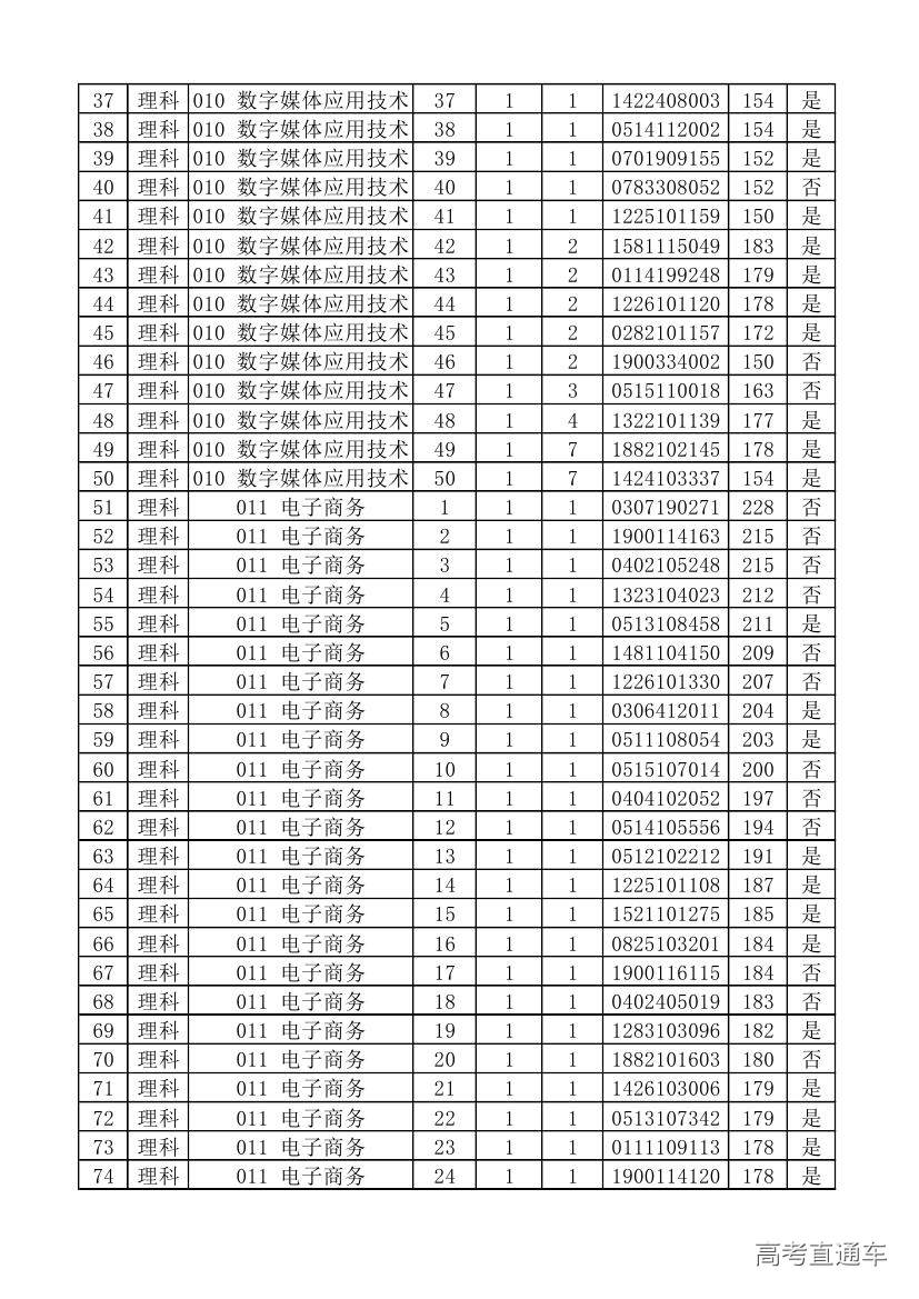
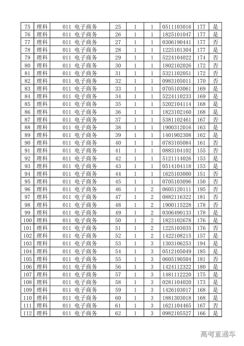
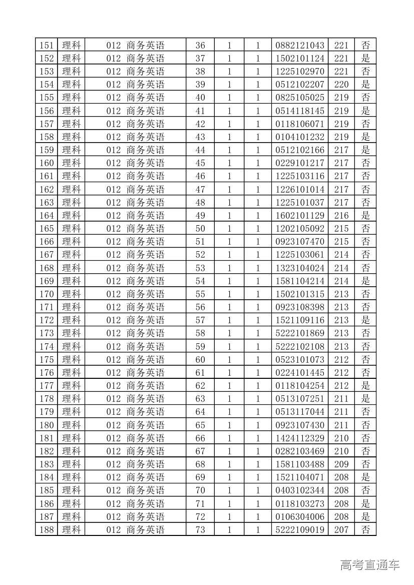
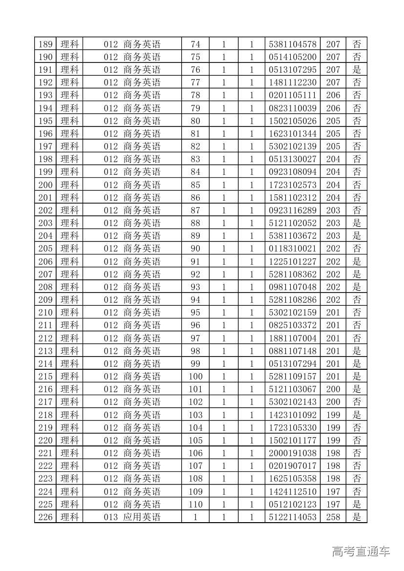
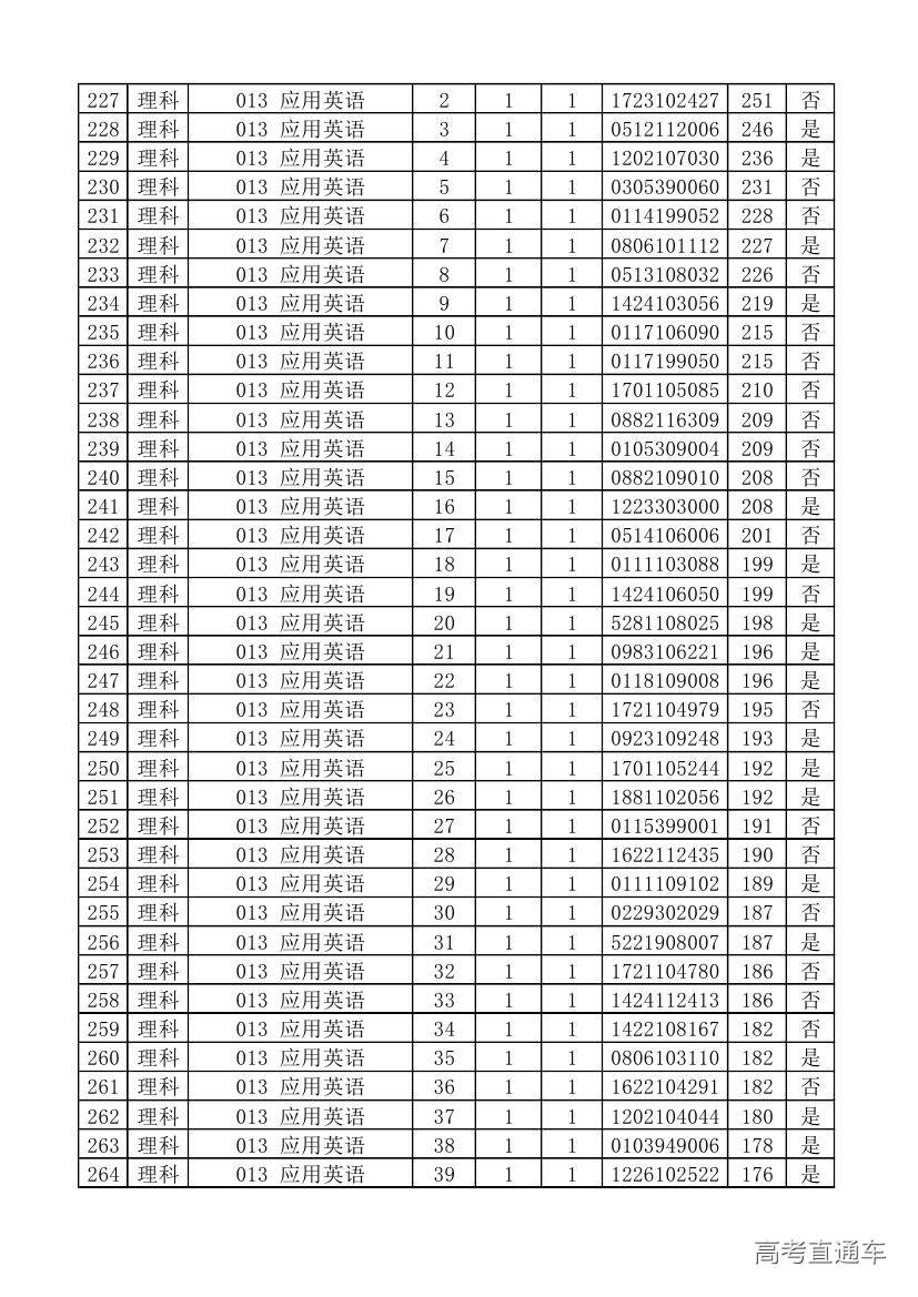
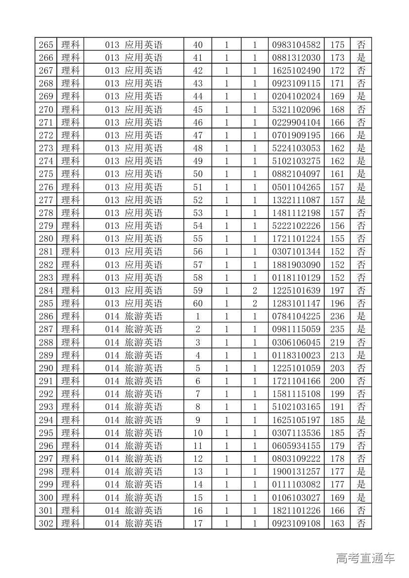
2018年依学考录取理科录取名单:
2018年依学考征集志愿录取名单:



































