根据教育部关于特殊类型招生工作要求,现对2018年我省普通高校招收普通自主招生、高校专项计划和综合评价入选名单予以公示。如对公示对象有异议,可来信来电反映。
公示时间:2018年6月 29日至2018年7月5日
联系电话:0591-86215760(正常上班时间)
通讯地址:福州市北环中路59号福建省教育考试院普招处
电子邮箱:ksypzc@mail.eeafj.cn
附件: 2018年福建省普通高校招收普通自主招生、高校专项计划和综合评价入选名单
福建省教育考试院
2018年6月29日
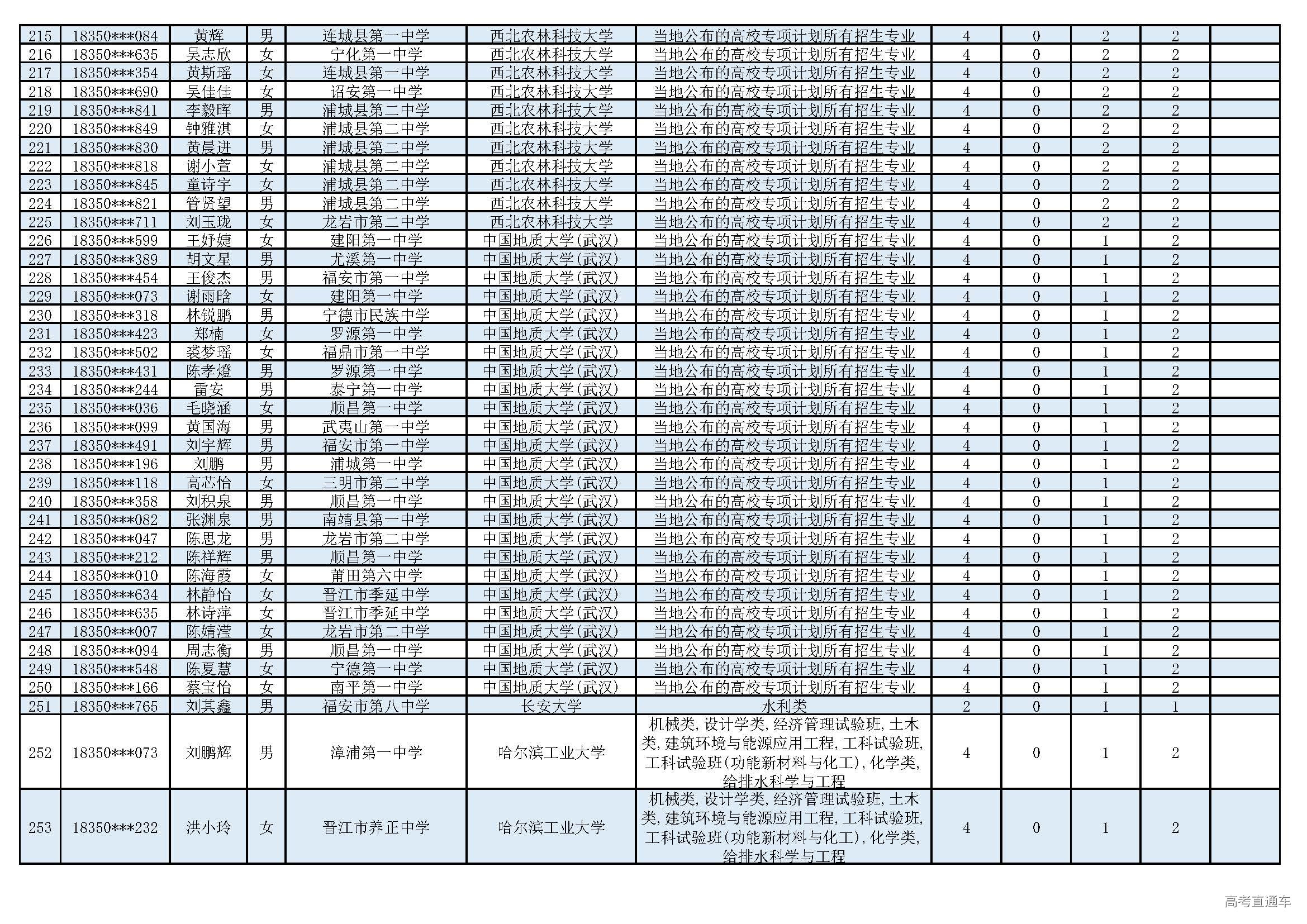
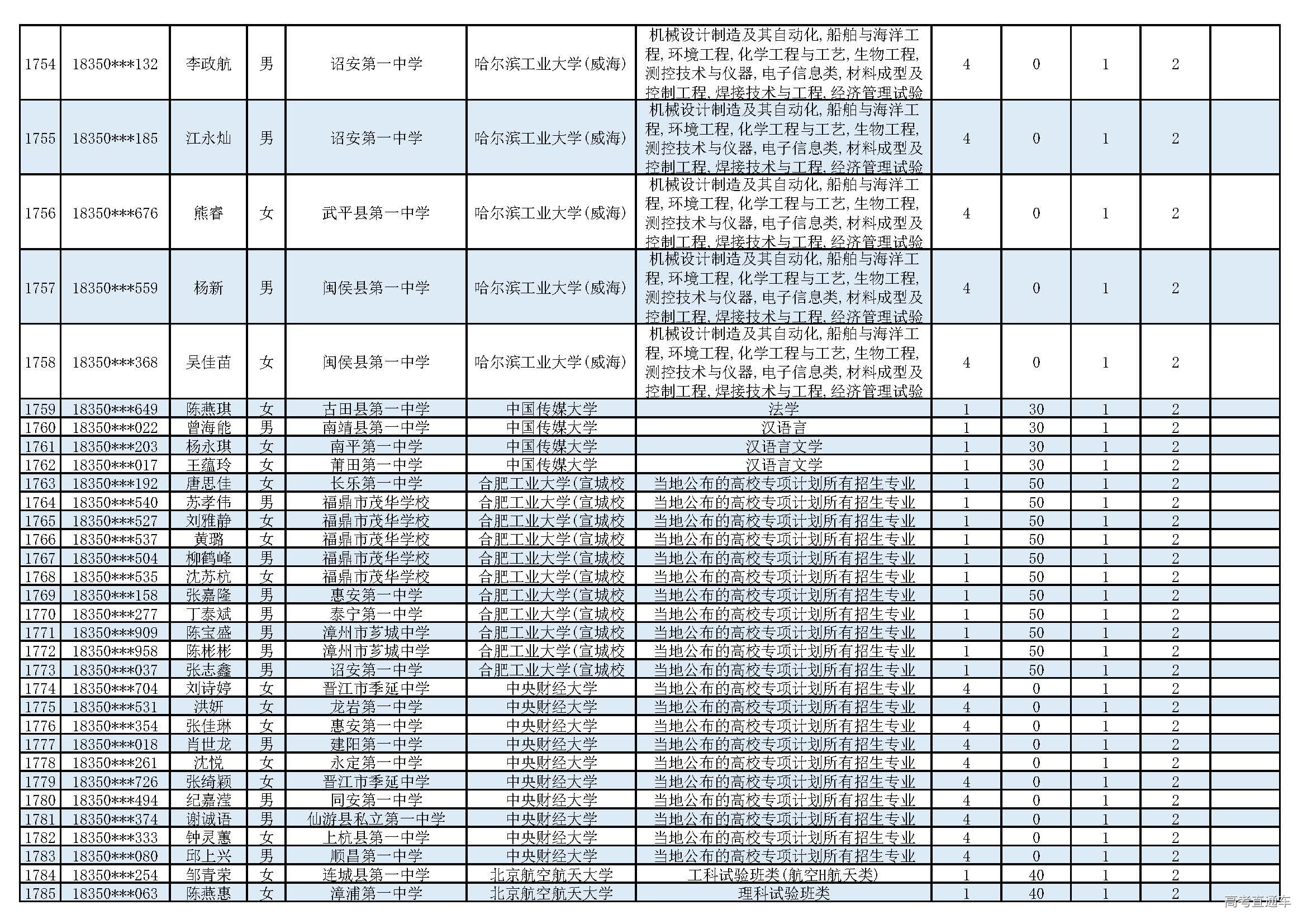
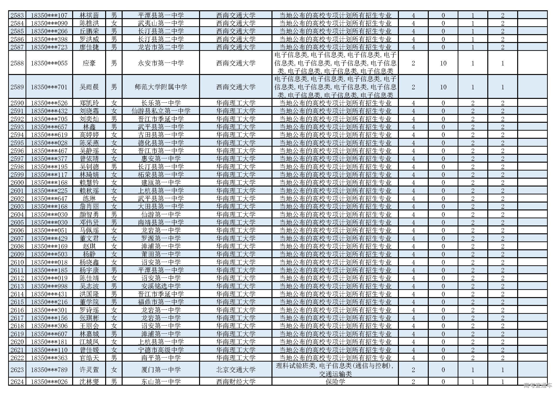
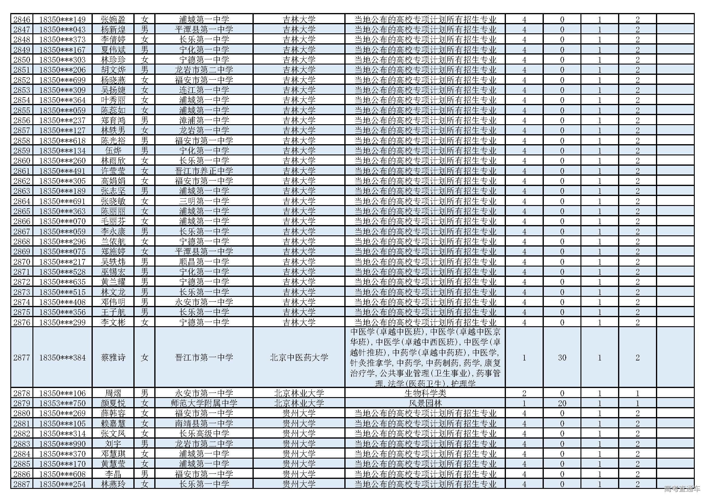
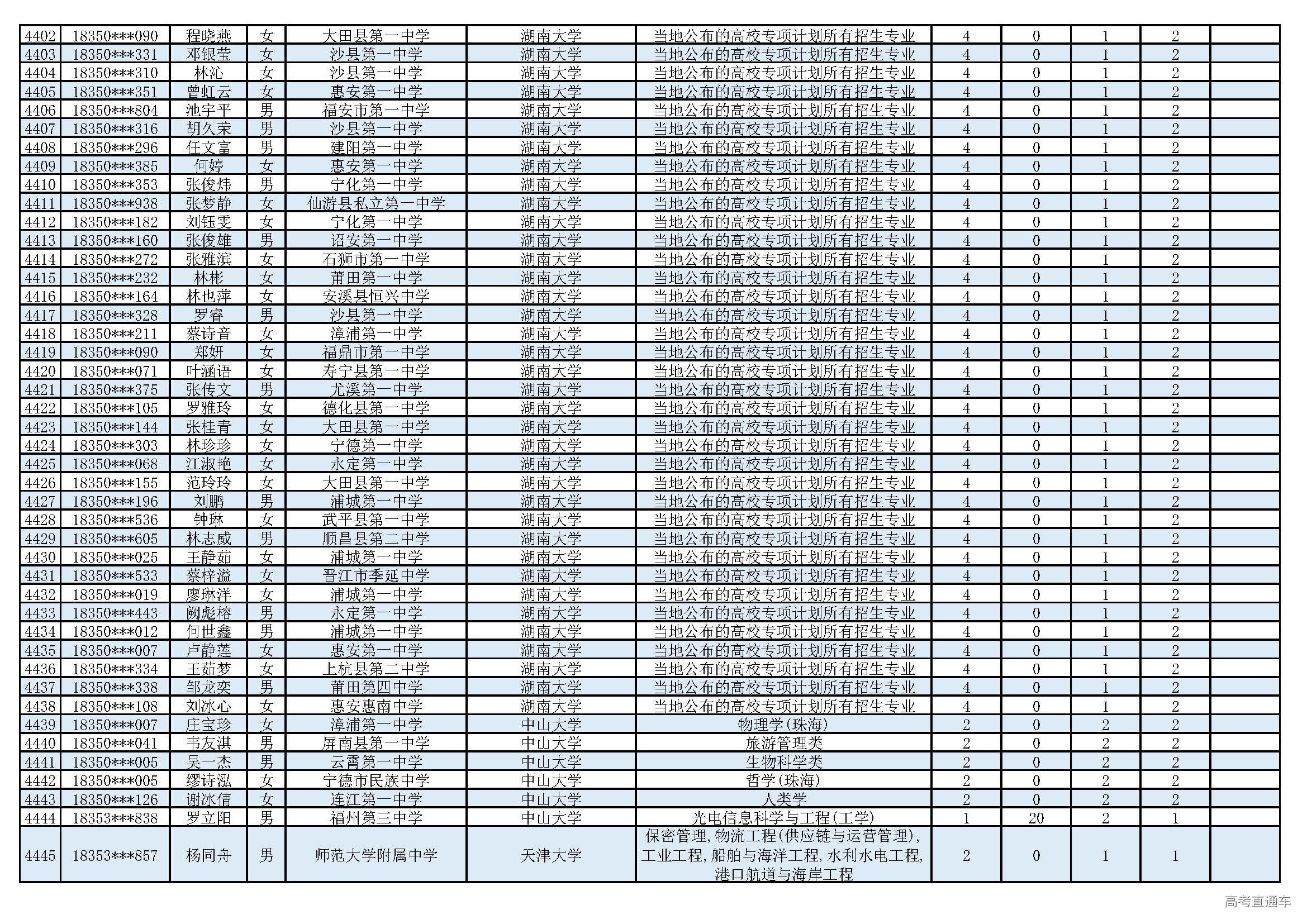
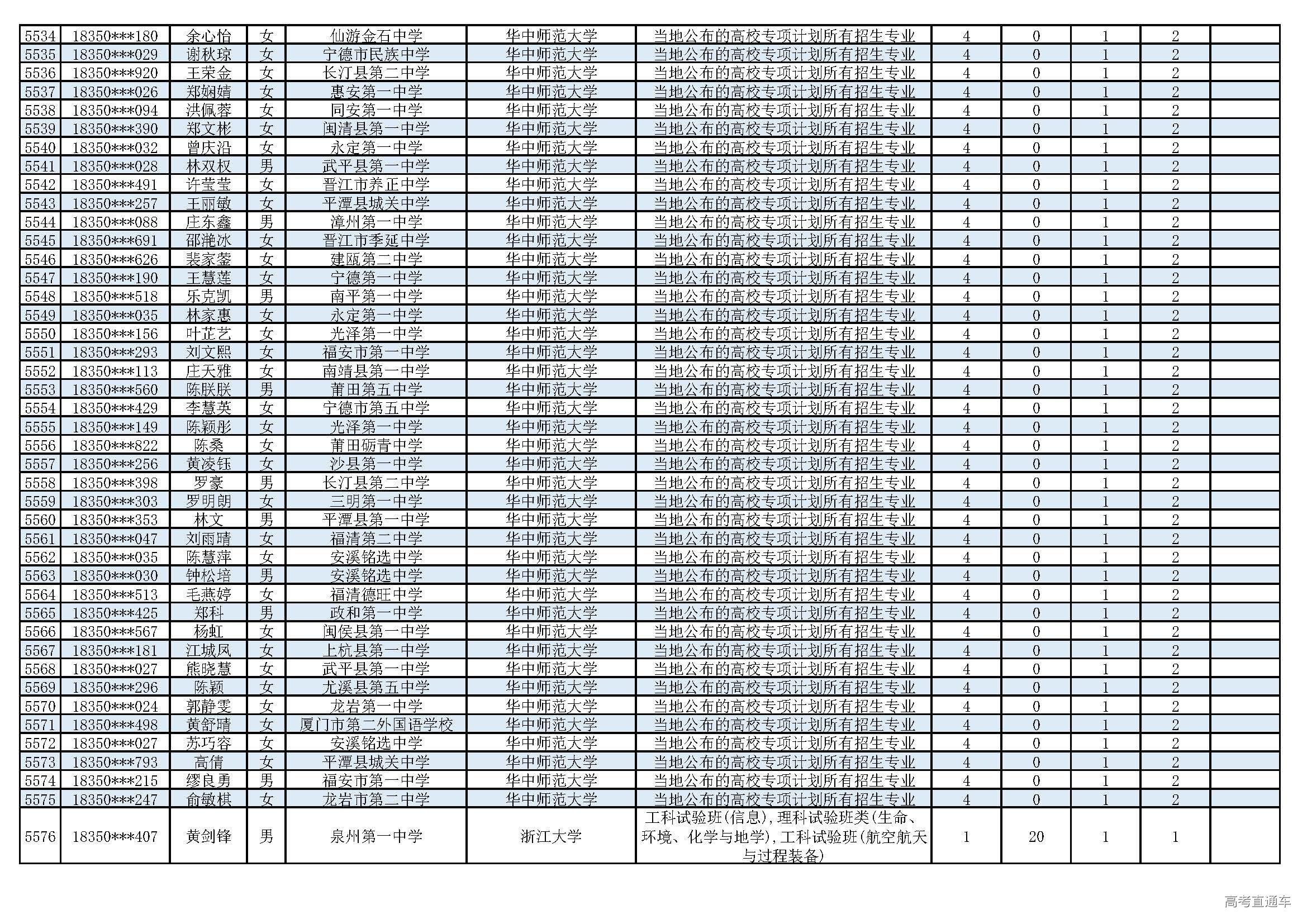
2018年福建省普通高校招收普通自主招生、高校专项计划和综合评价入选名单
录取优惠分值类型 | 0:学校在安排专业时奖励xx分 |
录取优惠分值 | 按分省计划择优录取的高校专项计划的录取优惠分值可以填“0” |
优惠基准成绩项代码 | 1:特征成绩(含高考加分),2:高考成绩 |
招生类型 | 1:普通自主,2:高校专项计划,3:综合评价 |






















































































































































