今天凌晨,省教育考试院对本科院校普通文理类高分优先投档线上考生进行了投档。高分优先投档线上考生共投出79375人,其中文科15330人,理科64045人。
今年广东高考合并本科批次,也设置了高分优先投档线,文科550分、理科500分。为此,本科批次录取分两次投档,第一次投高分优先投档线上的考生,第二次投本科录取最低分数线上的在库考生。
有人说,高考是一次考生家长对高校办学水平、综合实力和社会声誉的一次投票。那么,今年本科批次合并、设置高分优先投档线后,省内高校招生格局如何“洗牌”,出现哪些进步神速的“黑马”?
优先投档文科考生约占两成
中大华工暨大深大华师稳居前五
根据省教育考试院的统计数据,今年本科文理科优先投档分数线上计划数151665人,投档人数79375人。其中文科计划数28716人,投档人数15330人,约占19.31%;理科计划数122949人,投档人数64045人,占80.69%。
Plus君梳理发现,从省内来看,一些高校第一次投档即满档,且投档分数线远超高分优先投档线。不过,今年文科投档情况与往年情况基本一致,“名校榜”名单基本没有变化,最低排位相对稳定,也没有出现原二本高校在优先投档分数线上投满档的情况。(如下图↓↓↓)
在投满档的高校中,中山大学、华南理工大学、暨南大学、深圳大学、华南师范大学位列前五5位。其中,中山大学文、理科投档线分别为612分、607分,华南理工大学文、理科投档线分别为606分、598分,暨南大学文、理科投档线分别为601分、580分,深圳大学文、理科投档线分别为583分、569分,华南师范大学文、理科投档线分别为580分、562分。
值得注意的是,广东外语外贸大学第六、汕头大学第七,两校投档分数同为570分,但最低排位广东外语外贸大学高于汕头大学。与前2年数据比较发现,前五名的格局稳定不变,广东外语外贸大学今年超过了汕头大学。
此外,华南理工大学、华南师范大学、广州大学3所高校最低排位比去年有所提升,分别提高365、324和59。最低排位下降幅度最大的高校是广州医科大学、汕头大学、广州中医药大学,分别下降1834、1355、1140。
优先投档理科考生约占八成
中大华工暨大深大等位列前五名
与文科相比,今年理科变化不小。
此轮投档前10名为中山大学、华南理工大学、暨南大学、深圳大学、汕头大学医学院、华南师范大学、汕头大学、广东外语外贸大学、南方医科大学、华南农业大学。
今年理科投档最低排位变化中,有5所学校排位提升,广州美术学院、中山大学、华南理工大学、华南师范大学、深圳大学,分别提升3905、1241、1075、1052、771。广州医科大学、广州中医药大学、南方医科大学最低排位下降幅度最大,分别是8908、7409、4944。
一本二本合并为本科批次
广财广金成原二本高校最大赢家
今年本科合并后,Plus君能从优先投档分数线上投档情况中看到,有哪些高分考生填报了原二本高校,哪些原一本高校表现平平,从而能更全面地看到高校对考生的吸引力。
原二本高校中,广东财经大学是最大赢家。该校理科优先投档分数线2954个计划数全部投满档,文科超89%考生为优先投档分数线上的考生。此外,广东金融学院理科高分线上考生占其招生计划的70%,广州美术学院在理科优先投档分数线全部投满档。
此外,另一所新开设院校深圳大学(坪山教学点),也就是正在筹建的深圳技术大学,今年表现格外突出,在优先投档分数线上投满档,最低排位59946位,仅次于广州中医药大学57447位。
那么,今年广东高水平大学表现如何呢?除上述分析外,还有几所高水平大学的表现值得关注:
老牌名校华南师范大学,今年华师文理科最低排位都比去年大幅提升,理科提升1052位,文科提升324位;
深圳大学的进步也不容小觑。深大今年文理科投档线排名保持前五,理科最低排位提升771位;
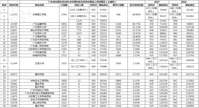
东莞理工学院理科的投档情况也十分抢眼。东莞理工原本在一二本招生的理工科专业全部同时投档,此次优先投档分数线上的考生占到总计划数的90.09%,分数线和最低排位整体提升趋势明显。
省内下一轮投档还有7万多个本科计划
岭师广海洋剩余计划数多
在未满档的高校中,如何判断高校是否受考生欢迎?Plus君用此轮投档人数与计划总数的比例算出“优分投档比例”,对省内各高校进行分析。
Plus君统计发现,文科未满档高校计划数15500个,剩余计划数12761个;理科未满档高校计划数67004人,剩余计划数56127个。也就是说,下一轮本科高校投档或有71000多个招生计划。
在文科中,广东财经大学计划数中超89%的考生为优先投档分数线上的考生,其次是广东技术师范学院、广东金融学院、广东海洋大学和广东警官学院,后面4所优分投档比例都不超过10%。
在下一轮投档中,哪些学校本科文科名额多?排名前五的高校是岭南师范学院(1724人)、广东金融学院(1651人)、北京师范大学珠海分校(1595人)、广东技术师范学院(1469人)和广东海洋大学(1257人)下一轮投档几率较大,考生们还有不少机会。
在理科未投满档中,优分投档比例排名前五的是,东莞理工学院(90.09%)、广东金融学院(69.71%)、广东医科大学(51.13%)、佛山科学技术学院(23.37%)、广东药科大学(19.47%)。
剩余投档名额排名前五的高校为:广东海洋大学(4698人)、广东药科大学(4290人)、北京理工大学珠海学院(3934人)、仲恺农业工程学院(3888人)、广东技术师范学院(3653人)。
文/姚瑶 吴少敏




