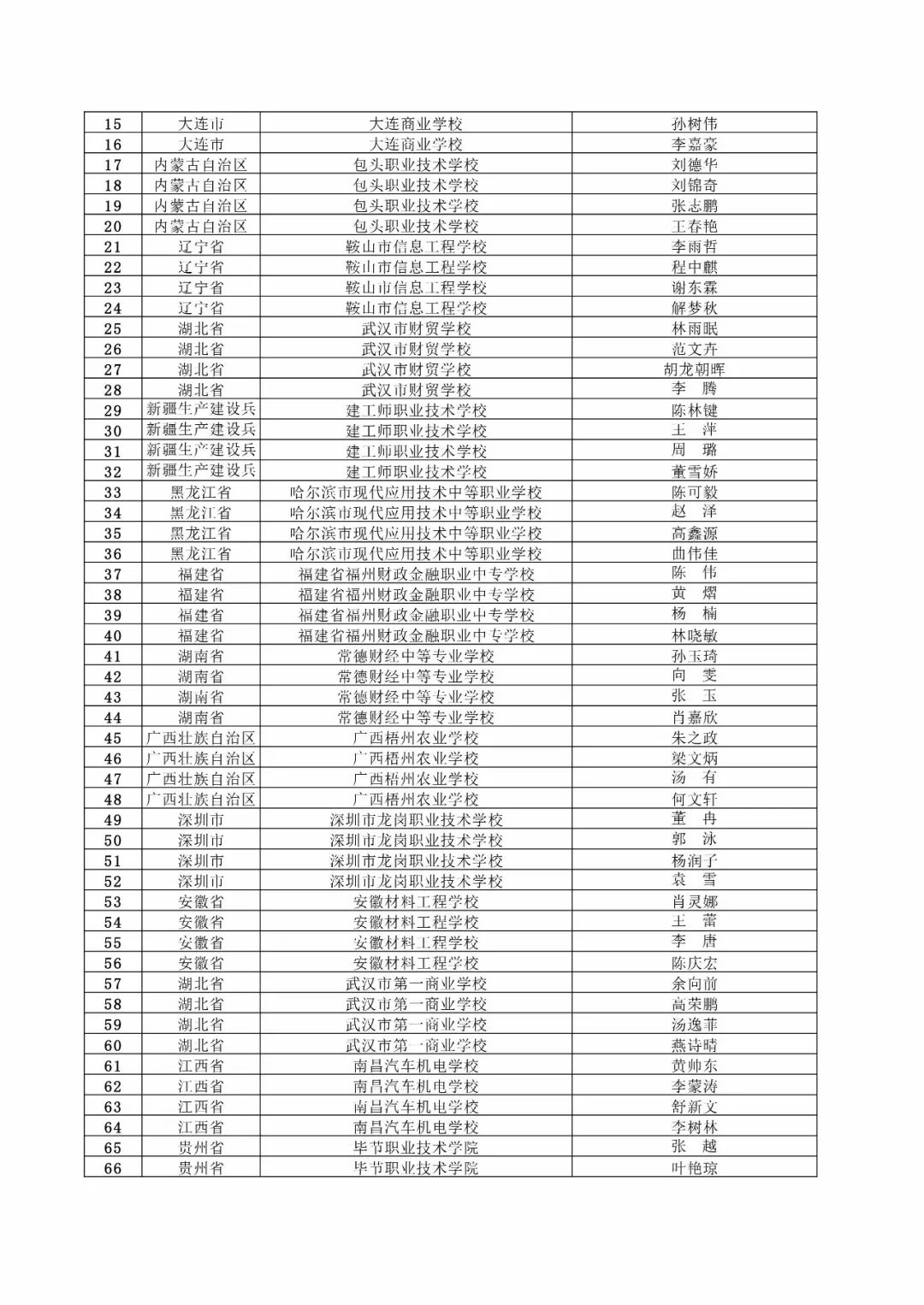
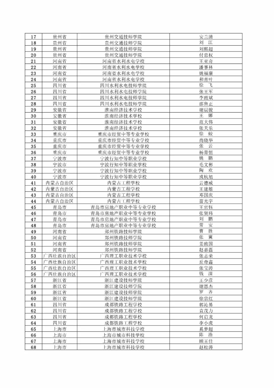
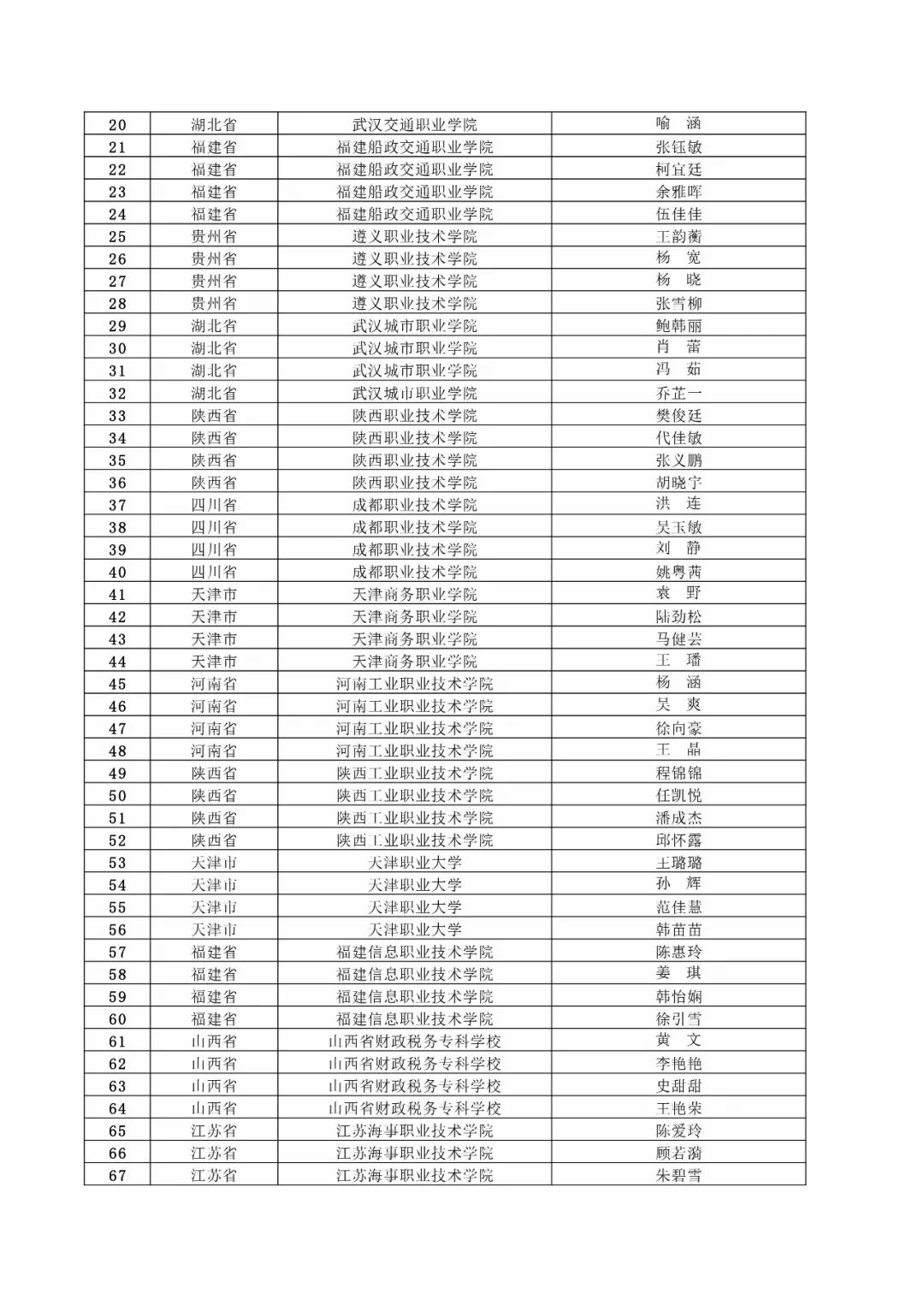
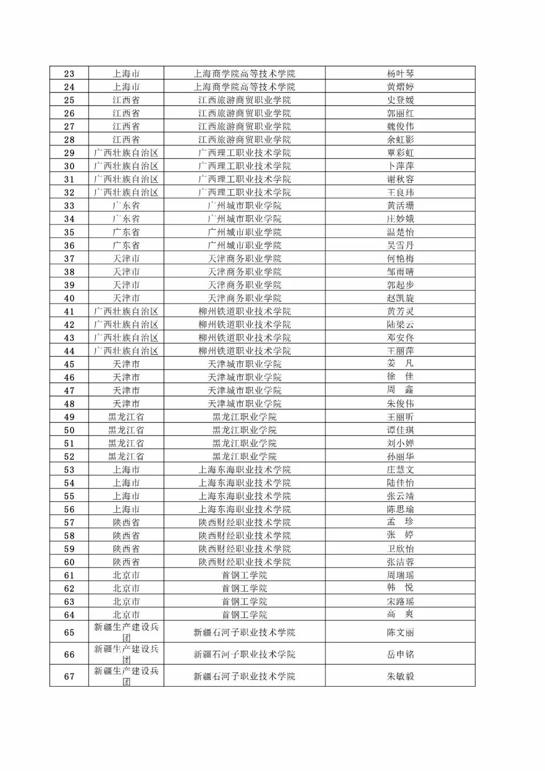
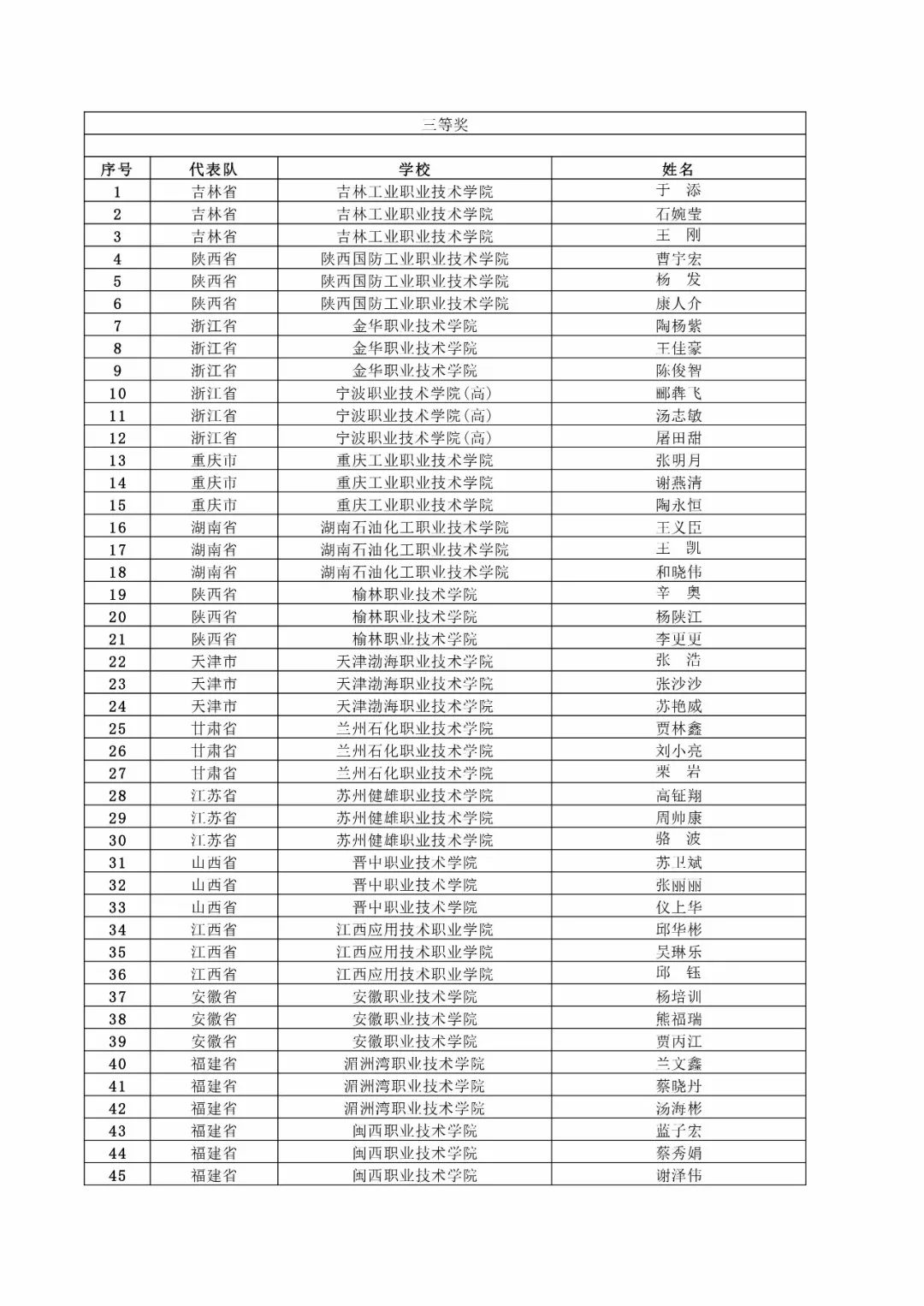
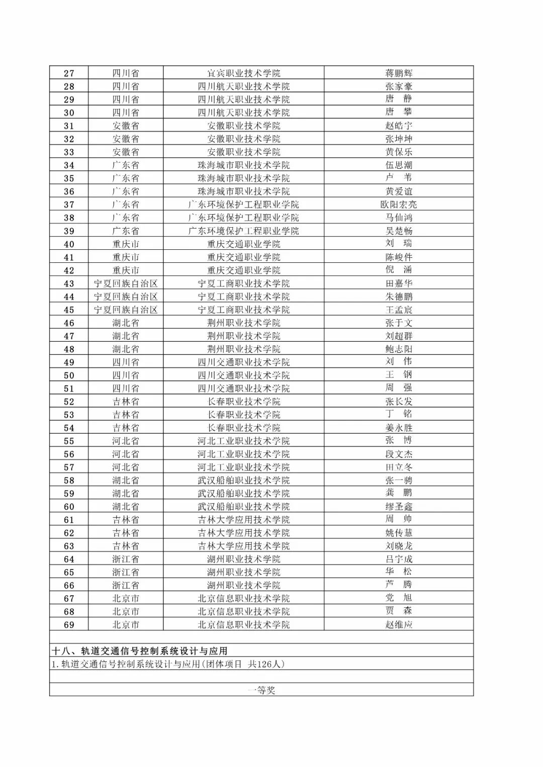
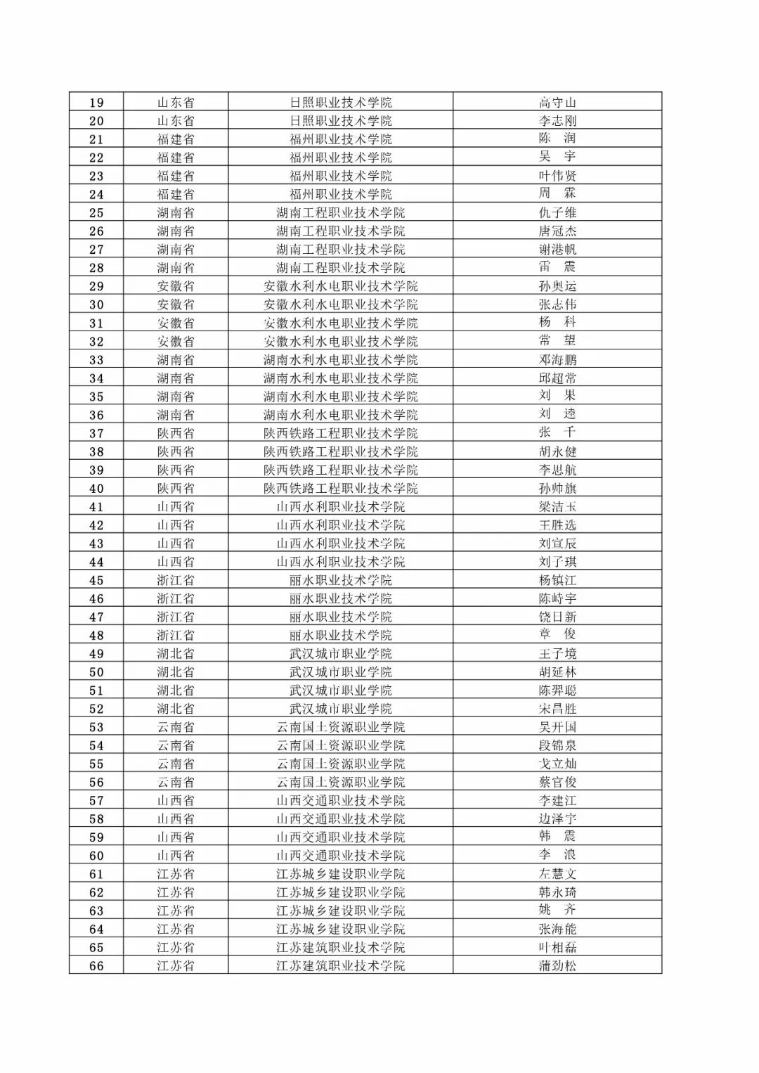
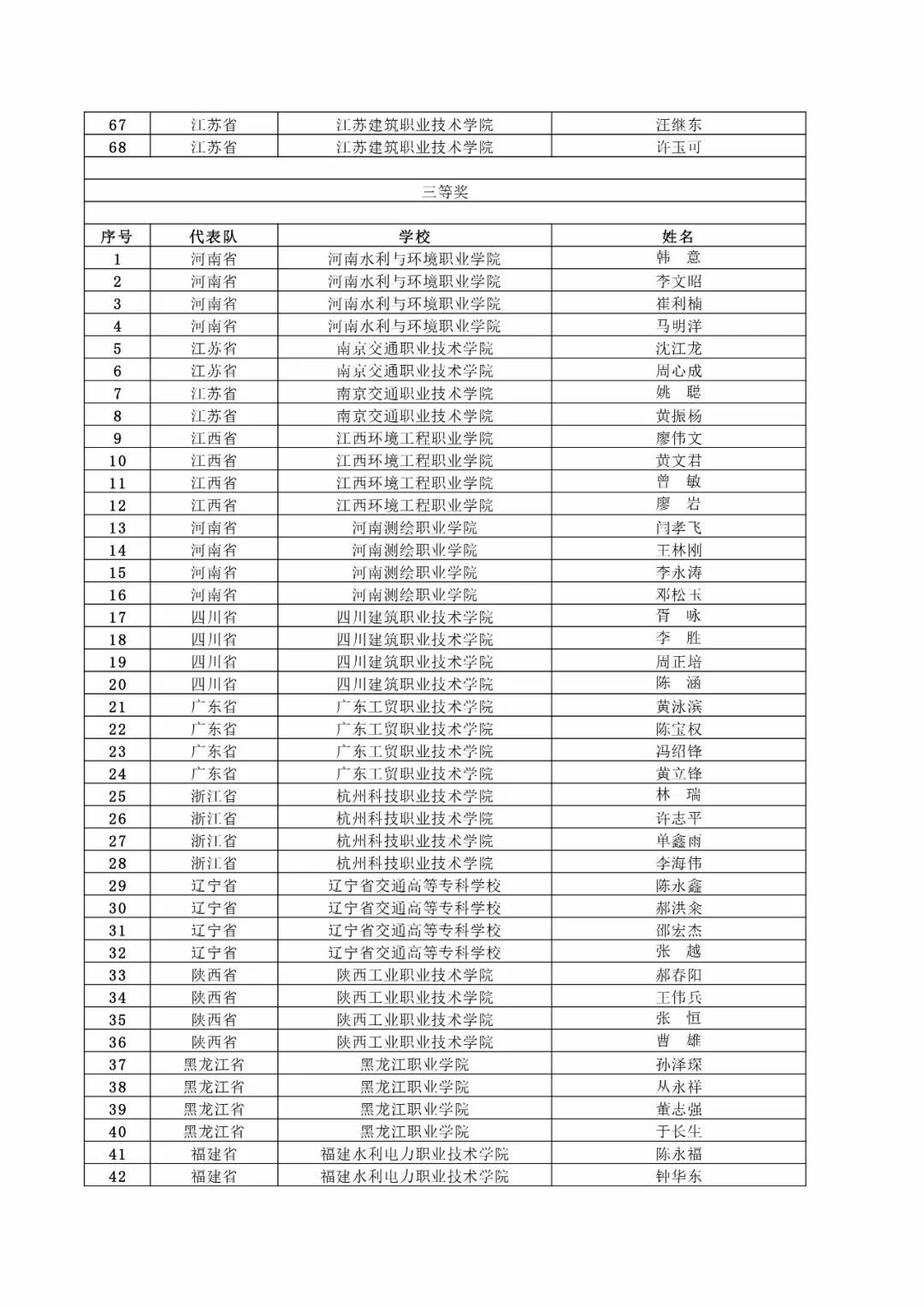
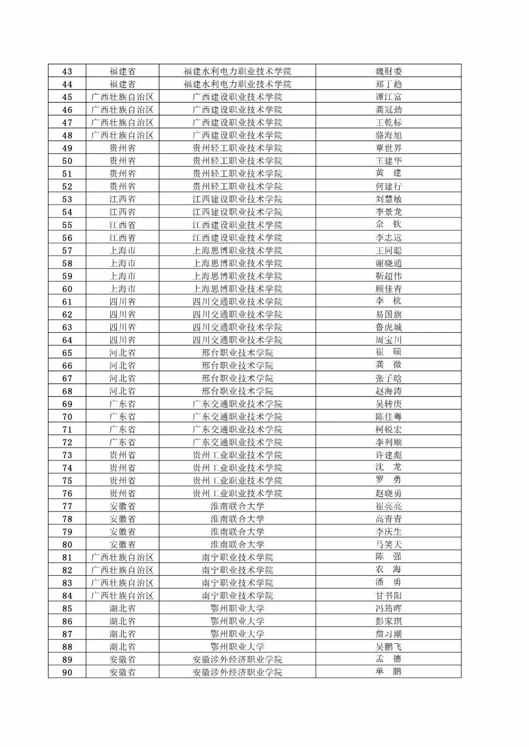
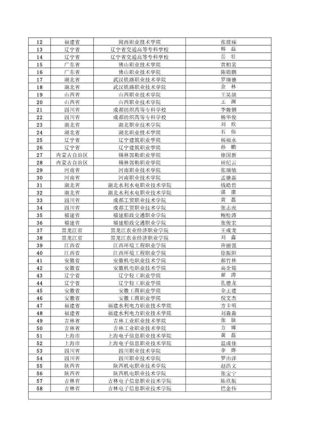
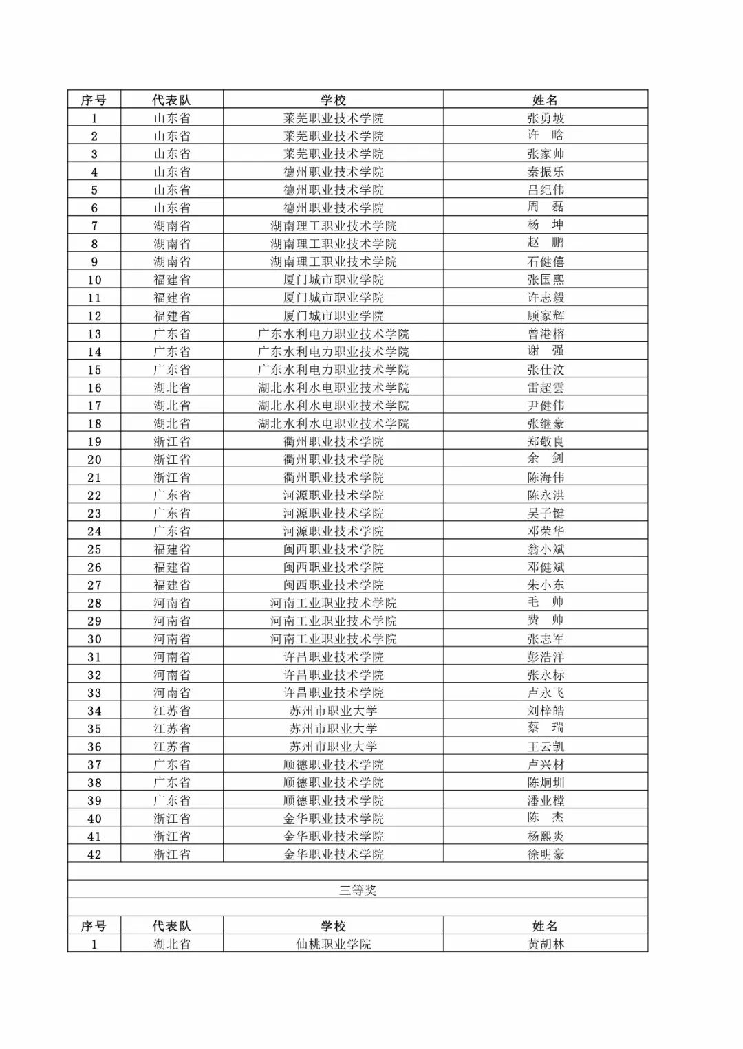
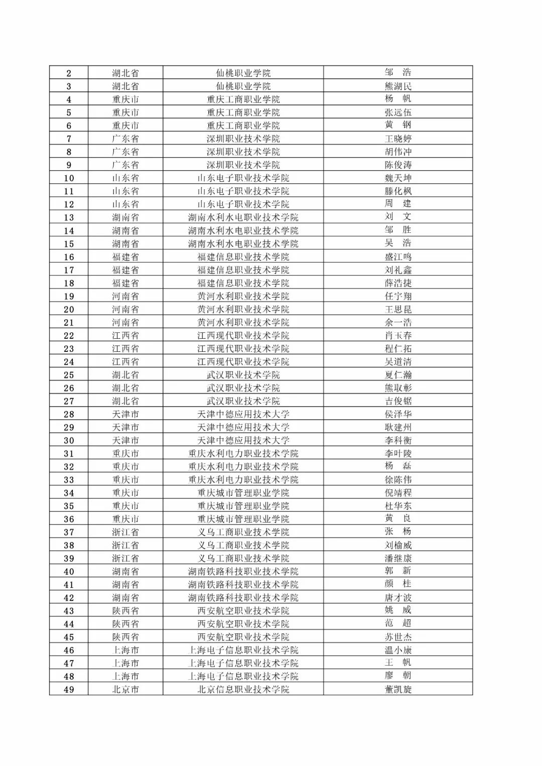
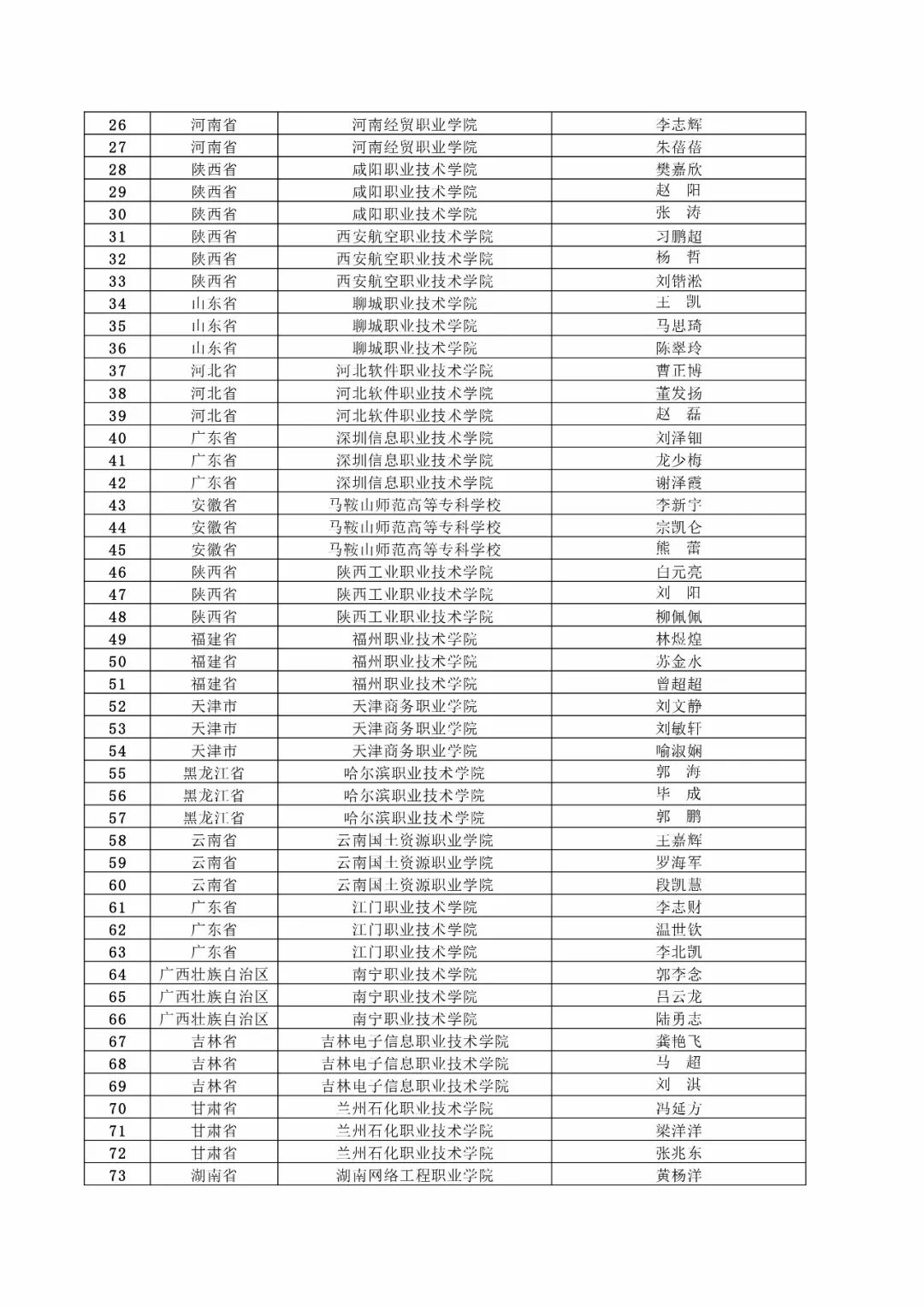
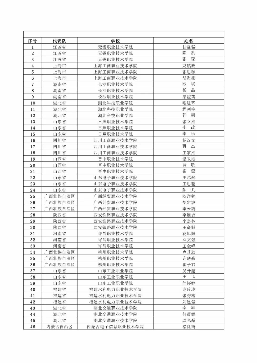
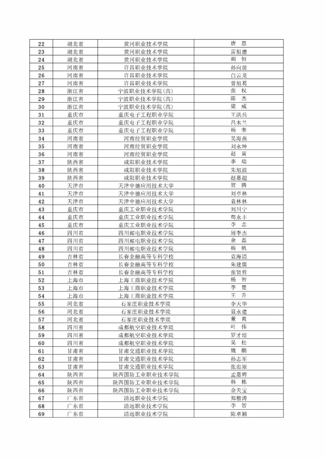
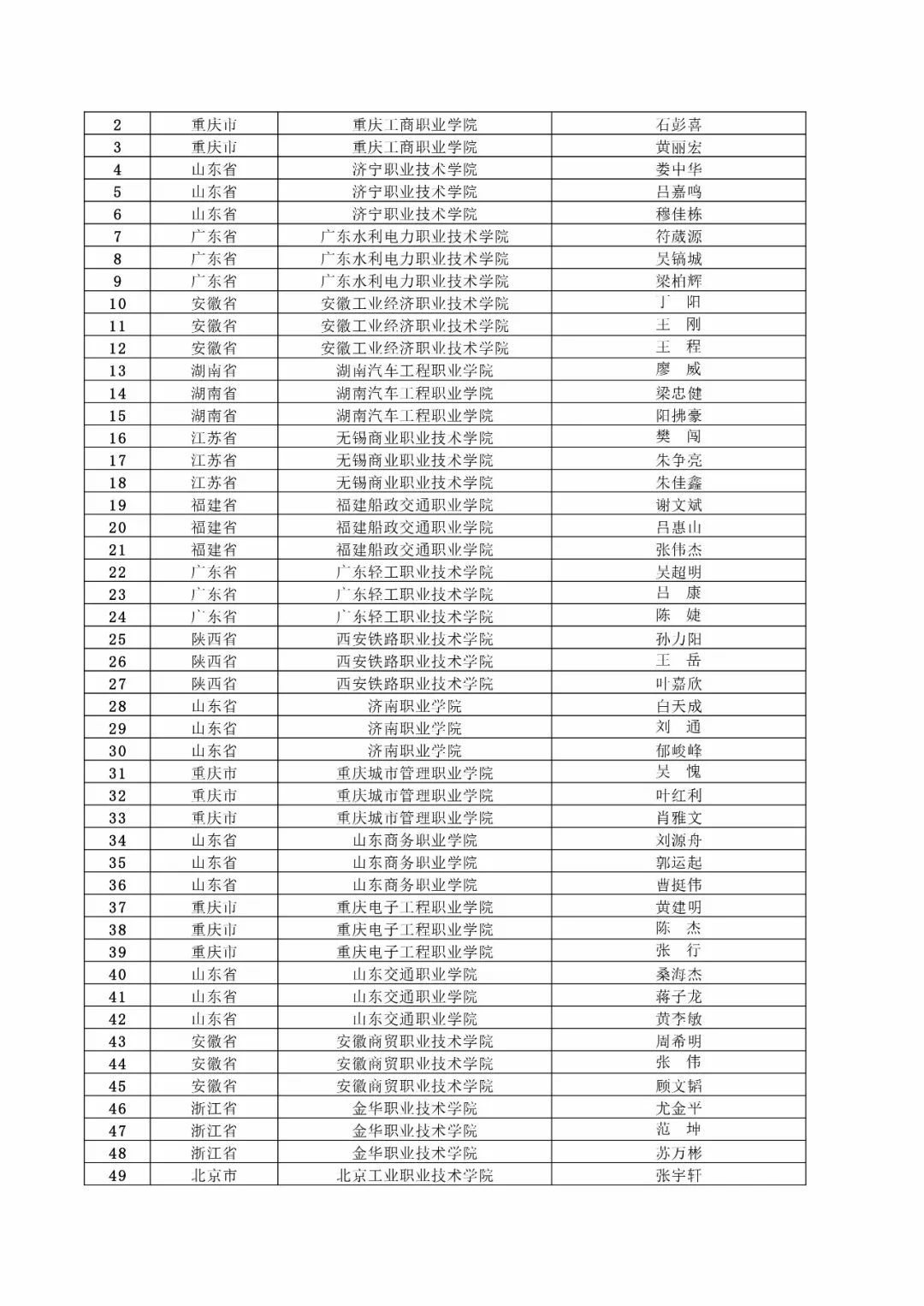
2018年全国职业院校技能大赛常规赛项于5月6日至6月30日在天津主赛区和北京、山西、内蒙古、辽宁、吉林、江苏、浙江、安徽、福建、山东、河南、湖北、湖南、广东、重庆、四川、云南、陕西、甘肃、宁夏、青岛、宁波等22个分赛区成功举行。共有来自全国37个地区的14907名选手参加了中、高职组74个项目的比赛。根据选手的竞赛成绩,经分赛项执委会审定、大赛组委会同意,现公示一、二、三等奖获奖选手、优秀指导教师及所在学校名单(见附件)。
公示期自2018年7月27日起至8月5日止。公示期内,如对获奖名单有异议,请以书面形式向我司反映。以单位名义反映的应加盖公章,以个人名义反映的应署真实姓名、身份证号和联系电话,逾期及匿名反映恕不受理。我们将对反映的问题进行调查核实处理,并为反映人保密。反映情况的书面意见务请于2018年8月5日之前通过邮递、传真或电子邮件(扫描件)送达教育部职业教育与成人教育司。
通讯地址:北京市西城区西单大木仓胡同35号
邮政编码:100816
电话/传真:010-66096232
电子信箱:sfgz@moe.edu.cn
附件:1.2018年全国职业院校技能大赛(常规赛项)获奖名单(中职组)
2.2018年全国职业院校技能大赛(常规赛项)获奖名单(高职组)
全国职业院校技能大赛大赛组织委员会秘书处
2018年7月27日
2018年中华优秀传统文化艺术表演赛获奖名单














































































































































































































