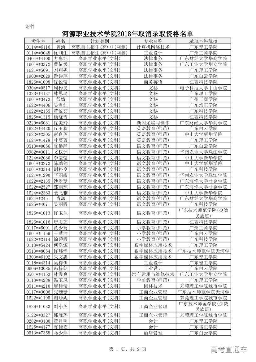
曾浈等89位考生已被我校2018年高职自主招生(高中)(网测)或高职依据学业水平成绩录取批次录取,且继续参加2018年普通高考,填报本科院校志愿并被本科院校录取。根据《关于做好2018年广东省高职院校自主招生录取工作的通知》(粤招办普〔2018〕18号)、《关于做好2018年广东省高职院校依据学考成绩招生录取工作的通知》(粤招办普〔2018〕13号)以及我校招生章程相关规定,现取消曾浈等89位考生我校2018年录取资格(详见附件),我校不再接受已被本科院校录取考生报到注册。
特此公告。
河源职业技术学院招生办公室
2018年8月6日

