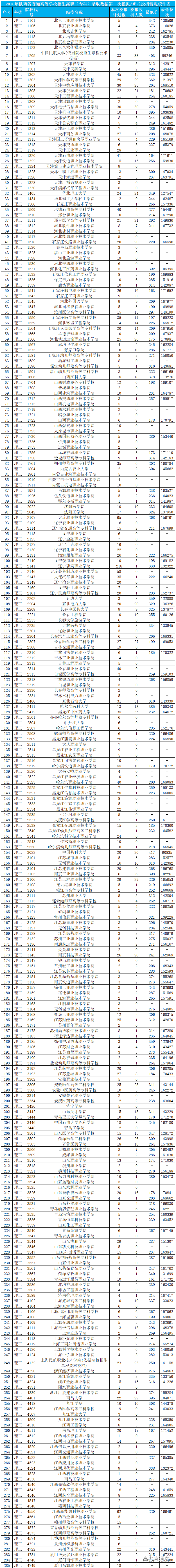
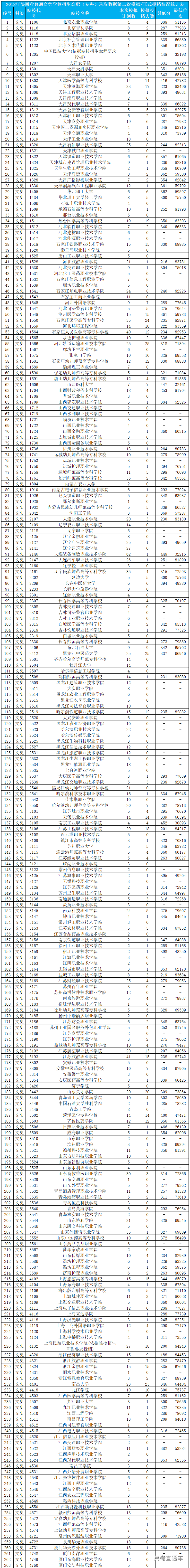
根据2018年陕西省普通高校招生录取工作进度,高职(专科)录取已正式投档
高职(专科)实行平行志愿投档录取模式。省招办特别提醒考生注意,平行志愿模式下考生电子档案只有一次投出机会。投档时,先将所有符合投档条件的考生按照位次由高到低排列,然后依位次检索每个考生所报志愿,志愿检索按照A、B、C、D、E、F、G、H的顺序依次进行,当检索到某一志愿院校投档尚未满额,该档案即投向这一志愿院校,随后不再检索这一志愿后续各志愿。比如甲考生档案已投向其所报考的B志愿院校,其随后的C、D、E、F、G、H志愿院校不论投档分数比B志愿院校低多少分,都与甲考生没有关系了。平行志愿模式下,在同一时间节点对本批次所有高校同时进行投档,对所有符合本次投档条件的考生来说,当检索完本批次最低位次考生的志愿后,本次投档就全部结束,这时如某考生的电子档案无法投出,其位次肯定比所填报的所有院校志愿的投档最低位次都低。
考生及家长在熟悉以上平行志愿投档基本程序的基础上,须进一步了解以下事项:
1.对考生个人而言,所填报的8个志愿是按照A、B、C、D、E、F、G、H先后顺序进行检索的。所以,希望越过前面某一个已满足投档条件的志愿,转而将档案投放给后续的某一个志愿的要求,是无法实现的。在平行志愿模式下,无论考生的电子档案最终投放给A、B、C、D、E、F、G、H哪个志愿院校,对招生院校而言都是第一志愿。
2.平行志愿模式下,完全是按照考生所填报的志愿进行投档的,不存在按照“院校志愿服从调剂”进行调剂投档的情况。投档之后被院校退档的考生和本次尚未投出的考生,只能参加征集志愿或下一批次的录取。不会出现考生被某一院校退档后,其档案还可以投向后续某一志愿院校的情况;也不会出现考生档案可以投向一个本人没有填报、但本次投档仍有缺额院校的情况。



