我省高职(专科)批经录取院校平行志愿投档录取后,仍有部分学校生源不足。为完成招生计划,我局决定组织符合条件的考生征集志愿。现将有关事项公告如下:
一、征集志愿时间
8月12日23:30—8月13日15:00
考生登录我局网站的“高职(专科)批征集志愿系统”,进行网上填报征集志愿,逾期不填报的视为自行放弃填报征集志愿资格。
二、征集志愿说明
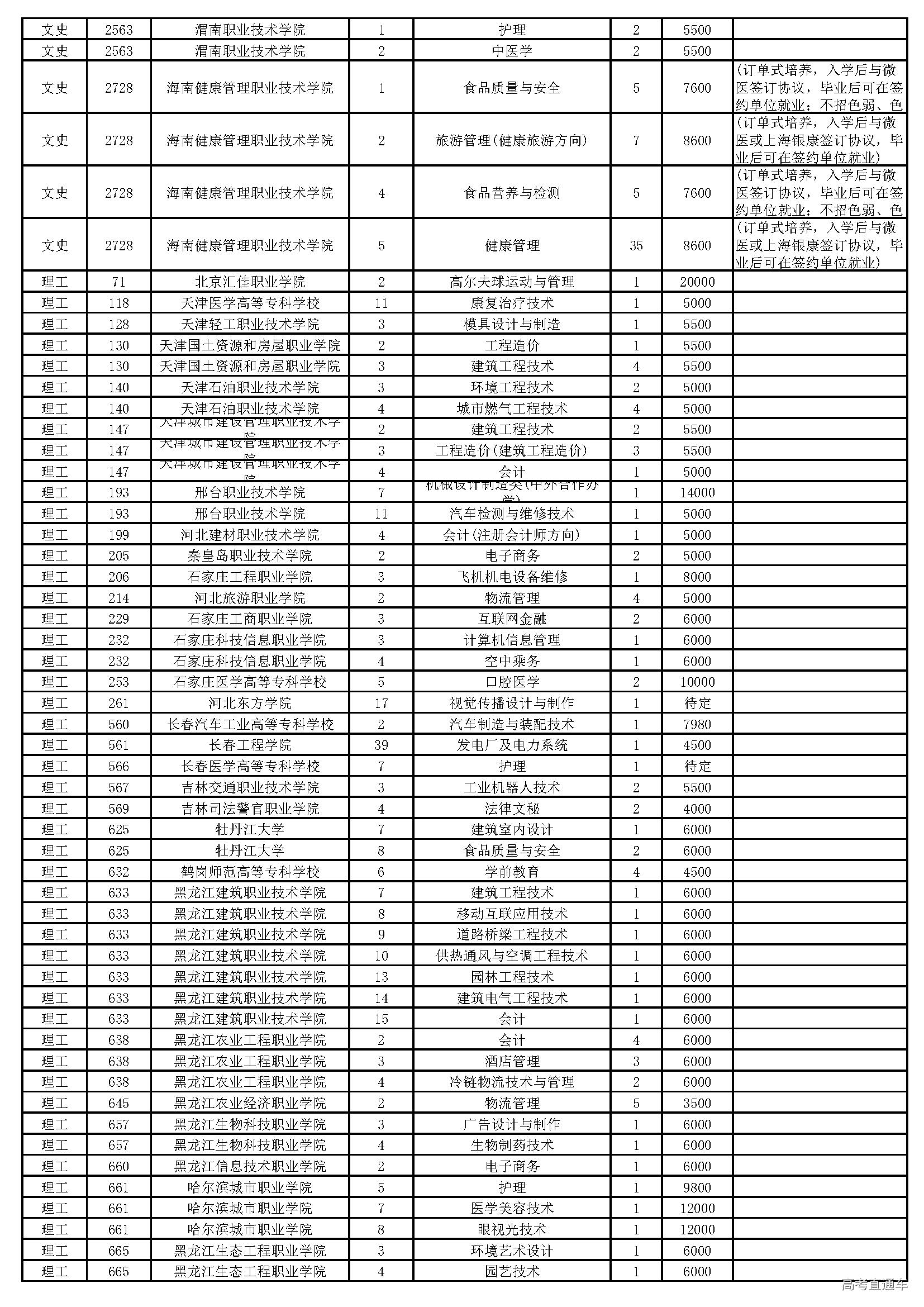
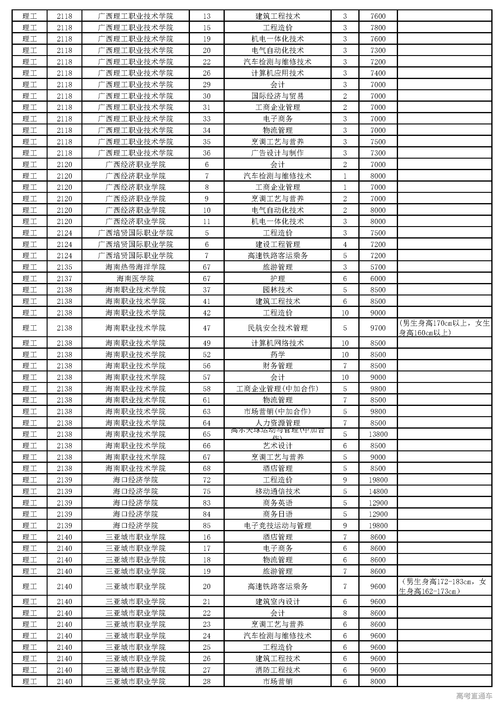
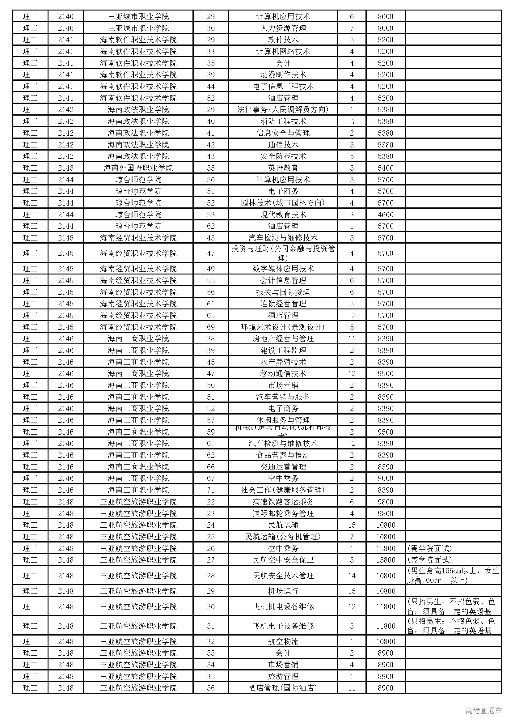
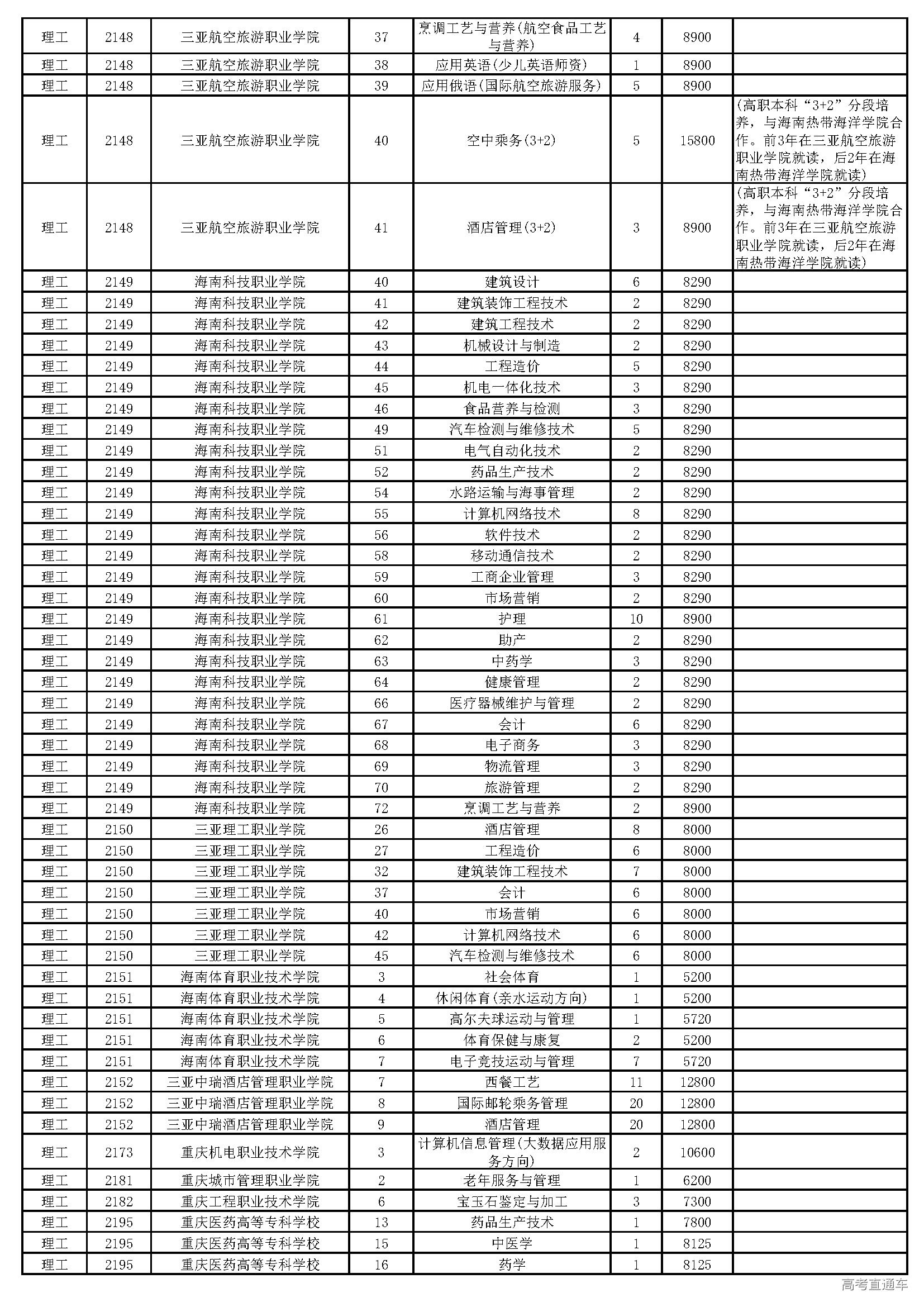
1.高职(专科)批文史类、理工类、体育类的剩余计划见附表,不列入表中的学校和专业不能填报。
2.档案处在“自由可投”状态且投档成绩达到高职(专科)批录取最低控制分数线的考生,均可自主决定填报高职(专科)批的征集志愿。文史类和艺术(文)类的考生只能填报在文史类招生的学校和专业。理工类的考生只能填报在理工类招生的学校和专业。体育类的考生既可以填报体育类招生的学校和专业志愿,也可以同时填报理工类招生的学校和专业志愿。在投档时,我局将先对考生的体育类志愿进行检索投档,如果考生的档案在按体育类投档时未能投出,则再对其理工类志愿进行检索投档。
3.处在“预录取”状态的考生,高校已确定录取,可不再填报征集志愿,自行填报的征集志愿将不再作为投档的依据。
海南省考试局
2018年8月12日





















