关于公布符合我院2019年自主招生(现代学徒制)
报考资格考生名单的通知
各位考生:
我院2019年自主招生(现代学徒制)报名工作从3月27日开始,经考生网上报名、初审、复审等环节,已于3月31日完成报名工作。现对符合我院2019年自主招生(现代学徒制)面向高中生招生的报考资格的考生进行公布。同时符合报考资格的考生,请在规定时间内完成报名费的缴交(4月4日前),并于4月11日至4月12日自行登陆“广东省2019年高职院校自主招生网上报名系统”打印准考证,凭准考证和身份证到我校参加4月13日、14日的文化素质和职业技能考试。
学生工作处
2019年4月2日
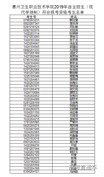
附:《2019年自主招生(现代学徒制)符合报考资格的考生名单》
