截止4月4日,2019年自主招生报名资格审核工作顺利完成,报考我校一志愿并审核通过获得报名资格的考生共169人(资格审核通过但未缴交报名费除外)。现将报名资格审核通过的考生名单予以公示,公示时间:4月5日至8日(四天),如有异议,请致电0760-88268370、88269288进行申诉,逾期不再受理。
其他事项告知如下:
我校将在4月13日举行高职自主招生入学考试,笔试与面试(或实操)均在一天完成,考试时间安排及考试注意事项详见准考证。准考证打印功能大约于4月10日开通(以省教育考试院安排为准),届时登录“广东省2019年高职院校自主招生网上报名系统”(http://www.eeagd.edu.cn/gzks)进行打印。
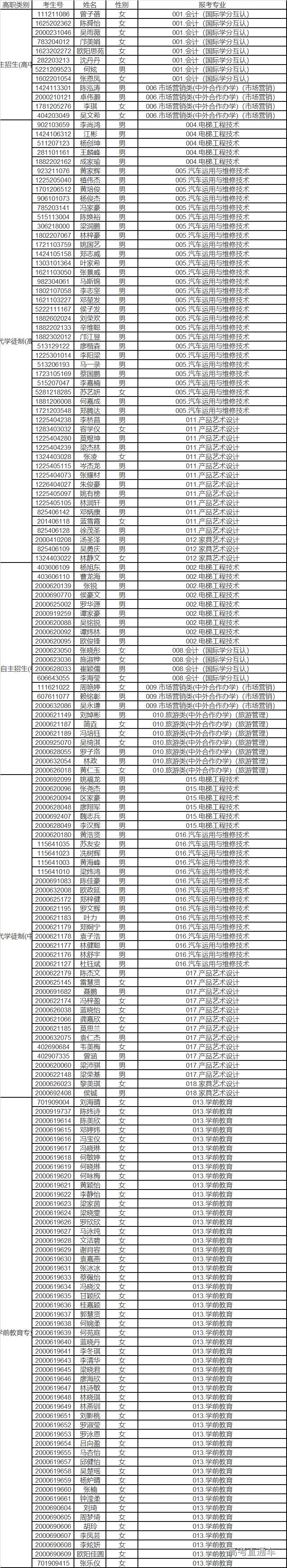
2019年高职自主招生报名资格审核通过考生名单
