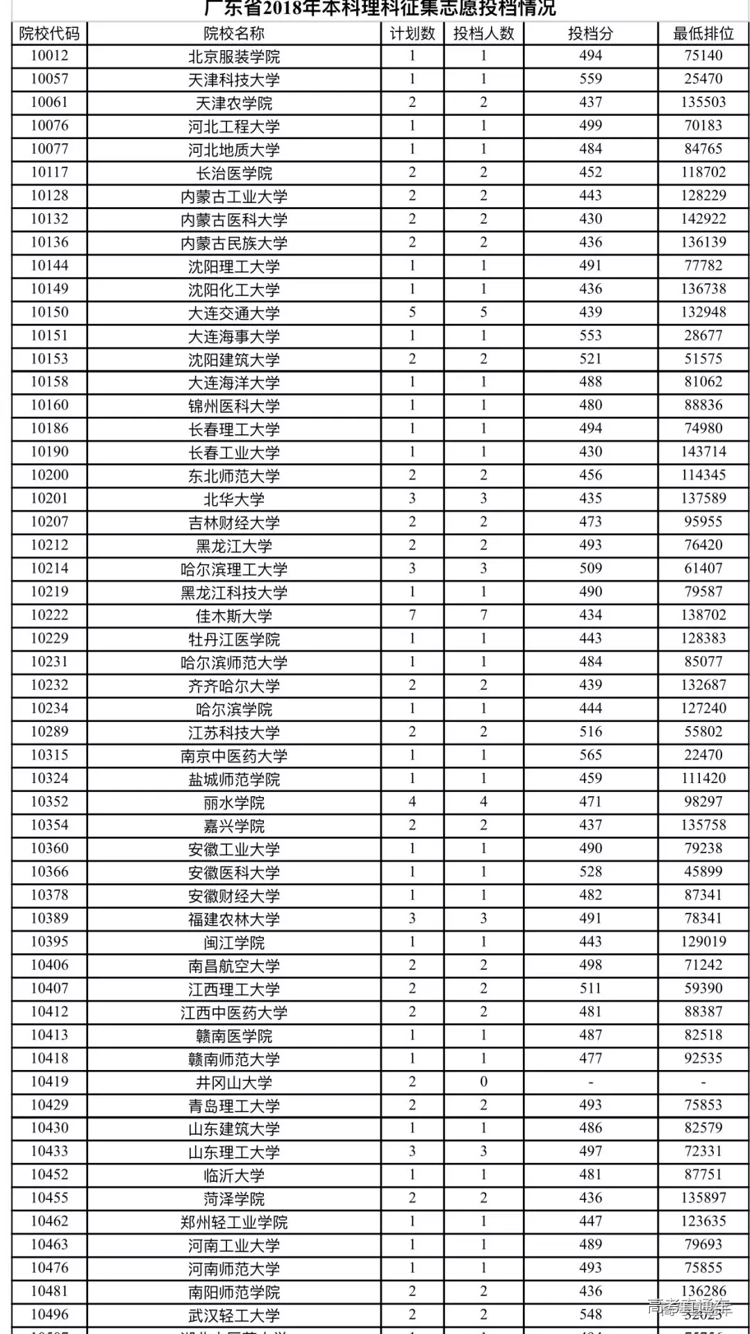
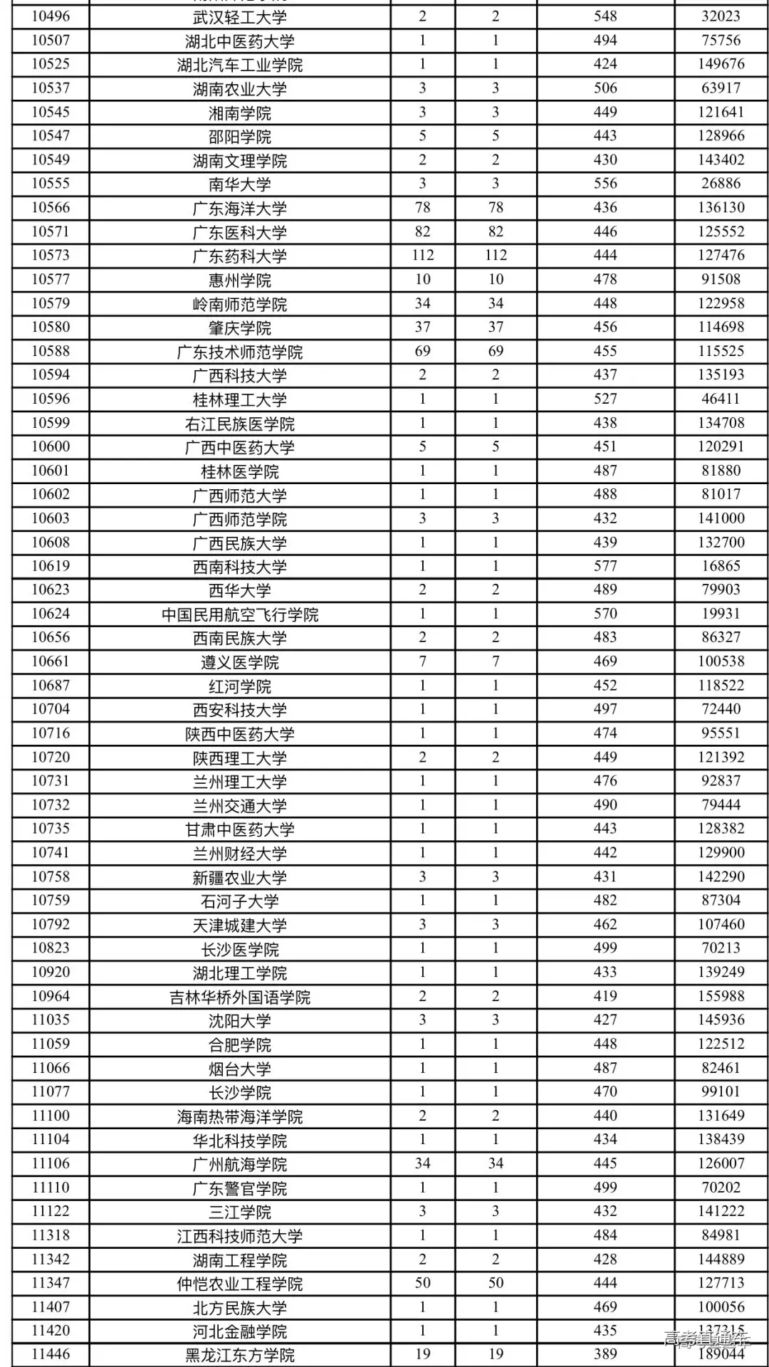
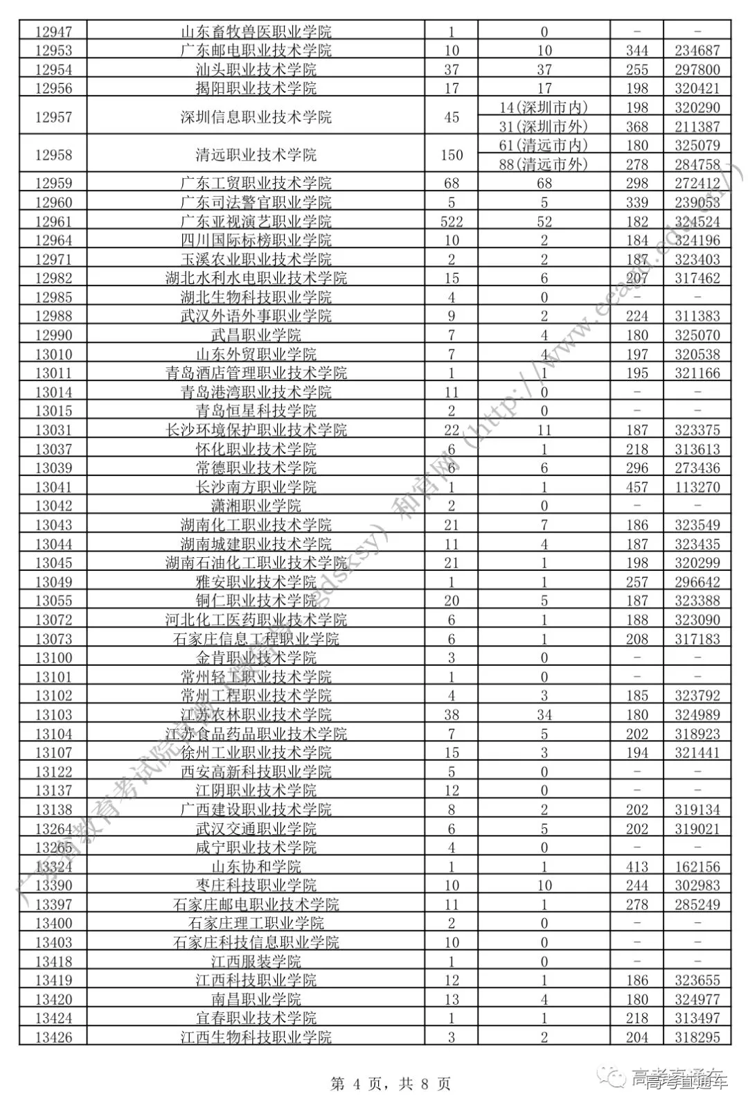
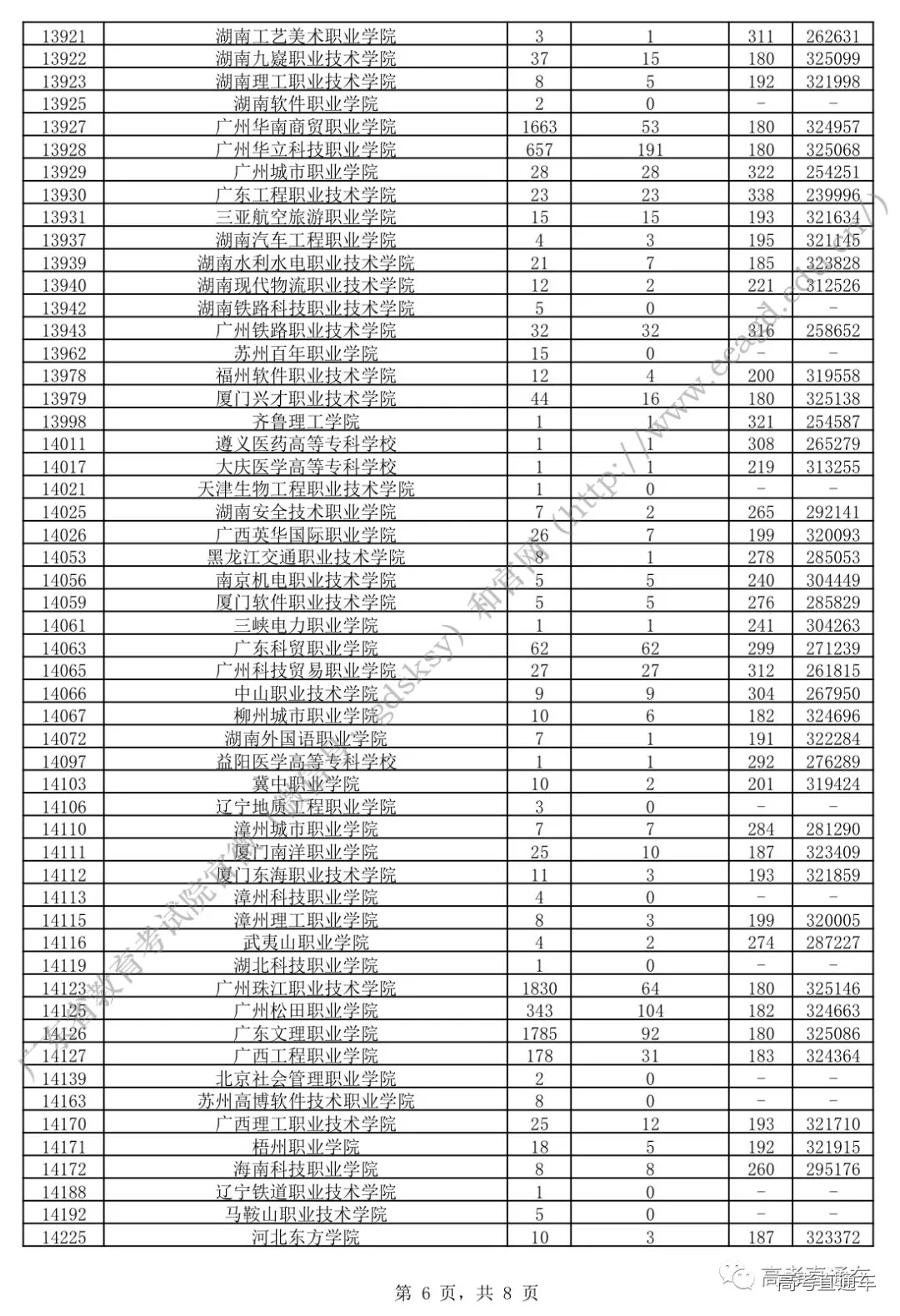
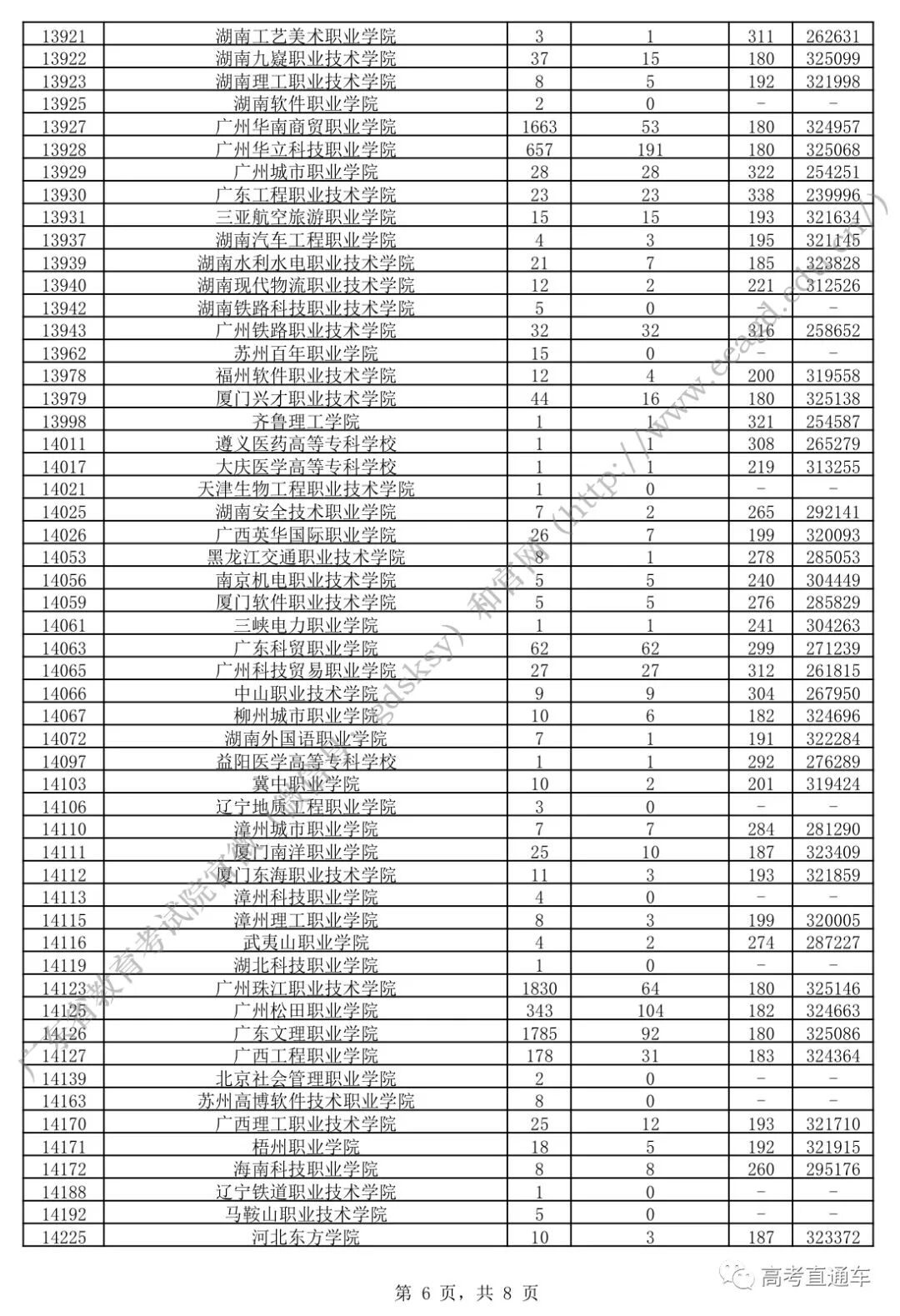
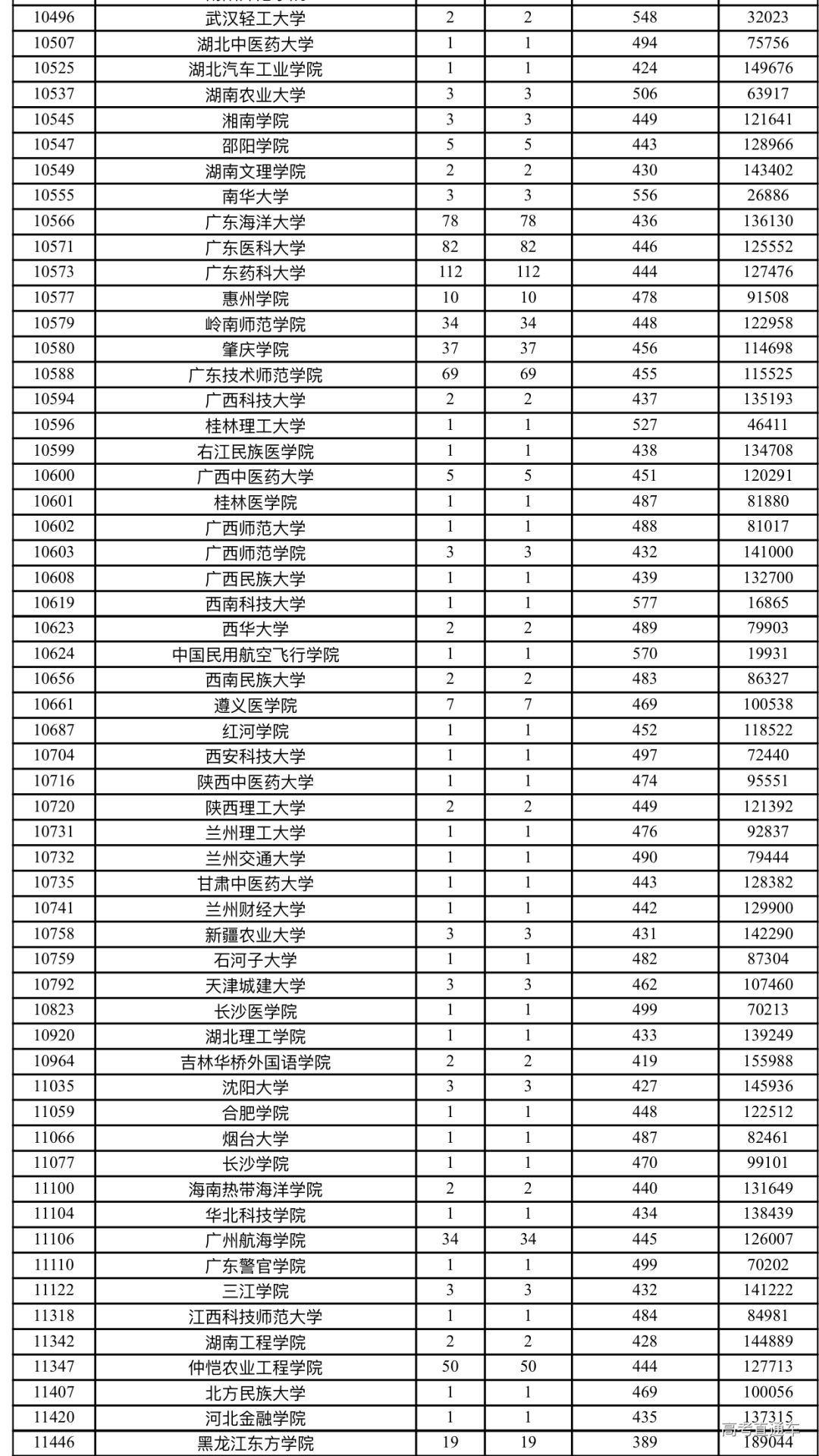
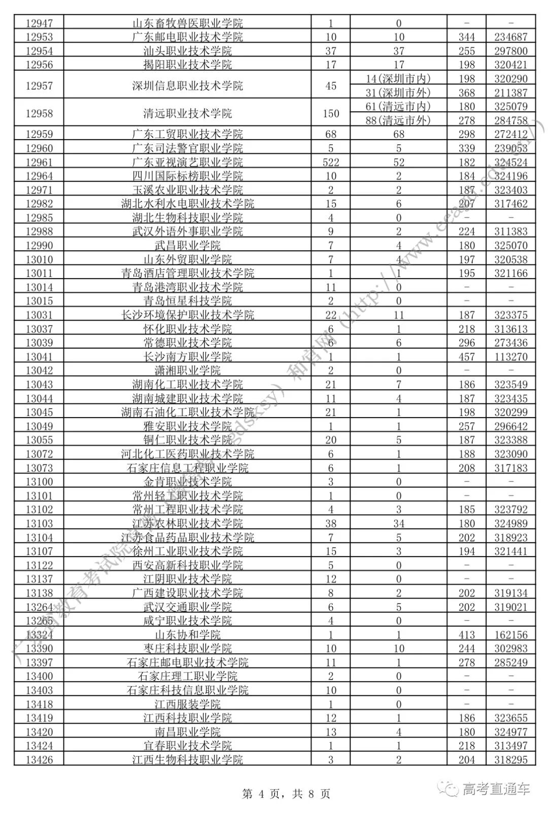
今年哪些院校最有可能进行“补录”?我们可以参考去年征集志愿的情况,以下是2018年广东各批次补录院校名单。 提前批(文史类) 提前批(理工类) 本科批(理工类) 本科批(美术类) 本科批(音乐类) 本科批(体育类) 专科批(文史类) 专科批(理工类) 专科批(音乐类) 专科批(体育类) 专科批(美术类)
查看完整试题
登录查看完整试题答案
阅读数:4.5 k
特别声明:
1. 本站注明稿件来源为其他媒体的文/图等稿件均为转载稿,本站转载出于非商业性的教育和科研之目的,并不意味着赞同其观点或证实其内容的真实性。如转载稿涉及版权等问题,请作者在两周内速来电或来函联系,本站根据实际情况会进行下架处理。
2. 任何媒体、网站或个人未经本网协议授权不得转载、链接、转贴或以其他方式复制发表,违者本站将依法追究责任。
1. 本站注明稿件来源为其他媒体的文/图等稿件均为转载稿,本站转载出于非商业性的教育和科研之目的,并不意味着赞同其观点或证实其内容的真实性。如转载稿涉及版权等问题,请作者在两周内速来电或来函联系,本站根据实际情况会进行下架处理。
2. 任何媒体、网站或个人未经本网协议授权不得转载、链接、转贴或以其他方式复制发表,违者本站将依法追究责任。




























