2025年第一次广东省中等职业技术教育专业技能课程考试(以下简称“专业技能课程考试”)将于2024年12月下旬至2025年1月上旬举行。为确保报考工作顺利进行,现将有关事项通知如下:

2025年第一次专业技能课程考试开考课程为:《电工》《电子》《机械》《化学》《会计》《旅游》《美术基础》《教育基础综合》《音乐综合》《土木工程》《生物技术基础》《护理》《烹饪》和《体育》共14门课程,其中《音乐综合》《美术基础》和《体育》3门课程不考理论,只考操作技能;《土木工程》只考理论,不考操作技能。

(一)笔试
其中理论考试考点必须安排在国家教育考试标准化考点。
(二)操作技能考试
1.全省统一安排考试的课程与时间
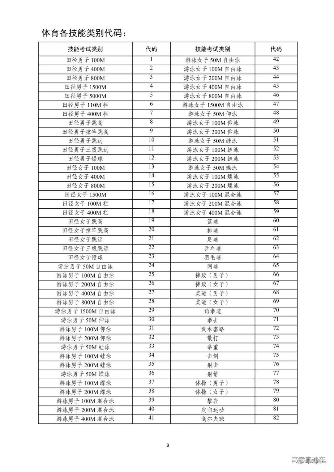
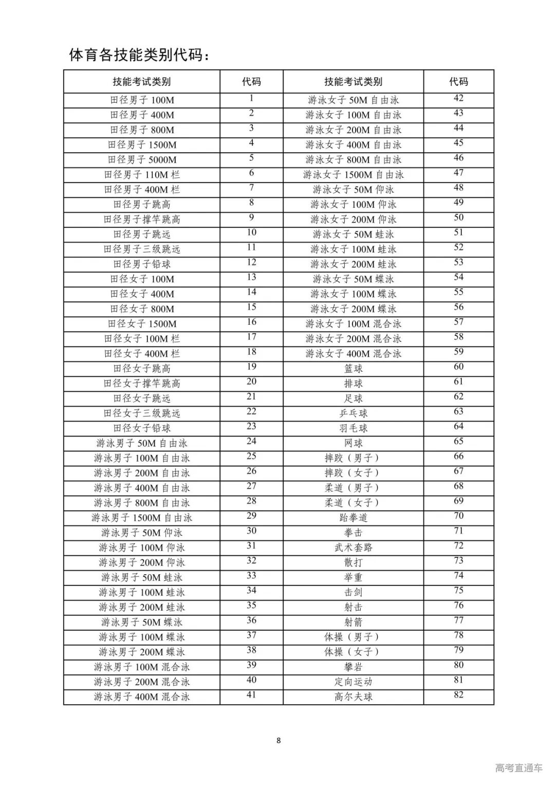
本次《体育》考试由广东体育职业技术学院承办,考试时间及地点将通过广东体育职业技术学院官网另行通知,联系电话:020-61034014。
本次《烹饪》操作技能考试在全省设有10个考核点,分别是:广州市旅游商务职业学校、深圳市第二职业技术学校、珠海市第一中等职业学校、顺德职业技术学院、揭阳捷和职业技术学校、佛山市顺德梁銶琚职业技术学校、茂名信宜职业技术学校、肇庆市工业贸易学校、东莞市轻工业学校、清远市英德市职业技术学校,报考考生由省教育考试院根据报考人数统一安排考点。
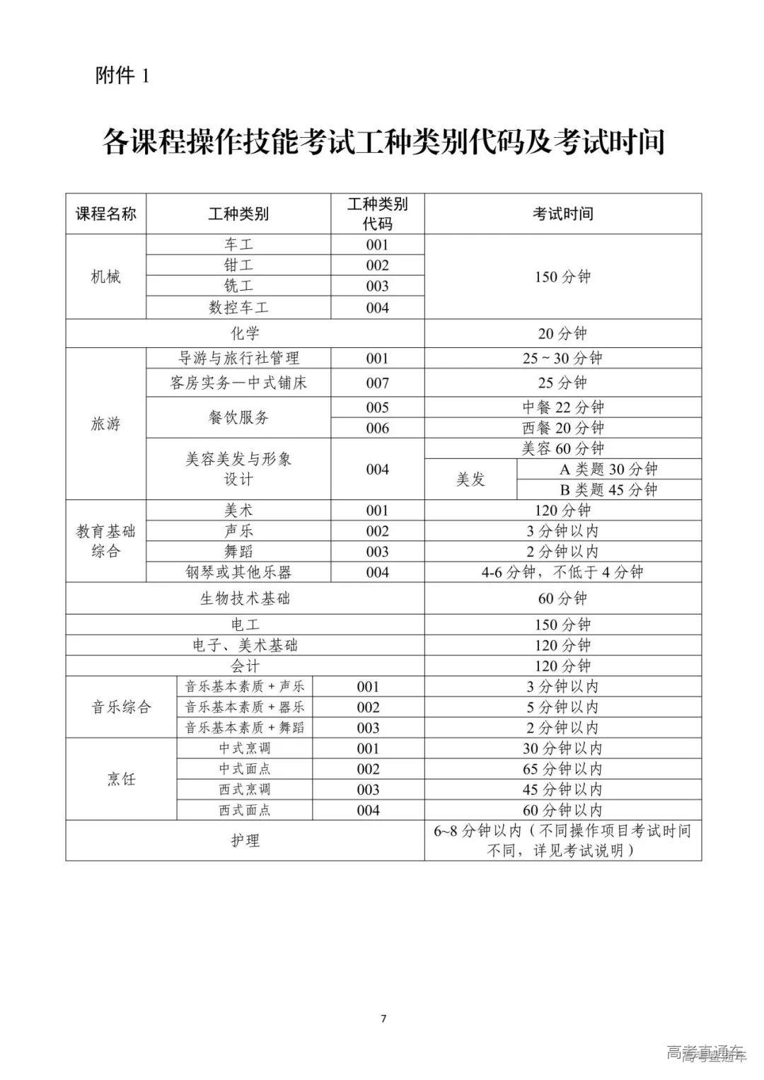
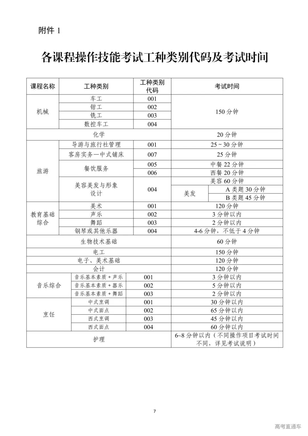
2.其他课程类别操作技能考试由各市招生考试机构根据实际情况在2024年12月28日至2025年1月12日内完成。各门课程操作技能考试工种类别代码及考试时间详见附件1。
3.各市招生考试机构应根据辖区内现有操作技能考核点的实际情况指导、组织考生报考。当地如有相应课程类别的操作技能考核点,应在当地组织考试。确实不具备考试条件需到外地借考的,要做好相关组织协调工作。借考工作须由考生所在地市招生考试机构事先征得借考地市招生考试机构同意后方可组织报名(《借考申请表》见附件2),未经借考地市招生考试机构同意,借考考生个人在网上提交的报考申请将因无法通过资格审核而被退回,无法完成报名。相关借考事宜请与所在地市招生考试机构联系,具有相关操作技能考点的地市,要积极配合,共同做好借考工作。

(一)报名方式:本次考试统一采用网上报名方式,包括相片采集上传及网上资格审核。
考生网上报名包括:个人信息填写,报考信息填写,上传(户口本、学生证等)资料,进行相片采集,信息确认等环节。各地市招生办(报考点)对报考考生进行网上资格审核。报考考生需密切关注审核结果,审核通过的考生需按照各地市招生办确定的方式和时间缴交考试费;审核不通过考生的报名申请将被退回,无法进行缴费,考生可以在规定报考时间截止前重新选择本人符合条件的考点、课程进行报考。考生报名网址和地市招生考试机构(报名点)网上审核的网址为:https://www.eeagd.edu.cn/zzjnzsks。
如本市没有相应课程类别的操作技能考核点,相关招生考试机构需告知考生,并联系借考地市,征得借考地市招生考试机构同意借考后,考生方可进行报名。
各地市招生办公室(考试院、考试中心)需根据本地实际确定考试费缴交方式和时间,并通知有关考生。要安排专人(设置报名点)负责考试费收缴工作,收费标准按《广东省发展改革委 广东省财政厅关于规范全省教育部门教育考试行政事业性收费及有关问题的通知》(粤发改价格函〔2022〕442号)执行。
(二)报名时间:2024年11月14日10时—11月18日17时,详情安排请查阅考生所在地市招生考试机构发布的报考通知。
(三)报名注意事项
1.若考生报考既有理论考试又有技能考试的课程,考生上一次考试的理论或技能考试成绩只有一项达到等第条件的,其成绩只保留到相邻的下一次考试;有保留成绩的考生在当次考试报名时在报考信息填写环节可以选择保留成绩操作,系统将根据保留成绩库进行校验,校验通过后方为有效保留。如考生持有有效保留成绩,但网上报名时,未在系统中选择“保留成绩”选项的,视为自动放弃保留成绩。
2.考生须认真核对《考生报名信息表》并对本人填报信息的准确性负责。考生信息错误可能导致考生无法正常考试、无法获得有效的合格证书。各级招生考试机构要高度重视考生信息数据的采集工作,各有关报名点要认真指导考生完成报考信息(姓名、身份证号码、相片等)的填报、校对工作,确保考生信息真实准确。考生报考信息填写完成后,系统会自动生成考生号并在页面上显示,考生还需继续完成上传(户口本、学生证等)资料,进行相片采集,信息确认并提交审核。考生完成网上报名并经审核通过,但未在规定时间内按照各地市招生办公室(考试院、考试中心)要求的缴费方式、地点进行缴费的,视为自动放弃报名考试资格。考生缴费成功,无论退考或缺考,报考费均不予退还。
3.报考《电工》《电子》《机械》《化学》操作技能考试的考生,在参加该科目操作技能考试时须出示学校或单位开具的《专业技能课程考试操作技能考试实习证明(岗位工作证明)》(格式见附件3),否则将不予参加该科目操作技能考试。

报名成功的考生可自12月20日15时起登录报名网站(https://www.eeagd.edu.cn/zzjnzsks),直接打印准考证(准考证不需要盖章)。请考生务必认真查看准考证注意事项,确有困难无法打印者,可到市招生办公室(考试中心、考试院)或其指定的报名点申请免费打印领取准考证。

理论考试及实操考试由各地市编排考场,其中烹饪实操考试由省考试院统一安排考点后,由考点所在地市负责编排考场。各地市须于12月13日前在系统录入考点考场数据和完成编排。烹饪考核点须于12月13日前填写考场安排表(附件4)上报省教育考试院考招二处。
本次考试使用2025年版考试说明,其中《会计》和《烹饪》科目内容有更新和调整。考生如需要可扫描下方二维码订购相关考试说明书籍,如对订购有疑问请联系(020)34270097。
附件:
1.各课程操作技能考试工种类别代码及考试时间
2.借考申请表
3.专业技能课程考试操作技能考试实习证明(岗位工作证明)
4.专业技能课程(烹饪)考试考场安排表
附件:








