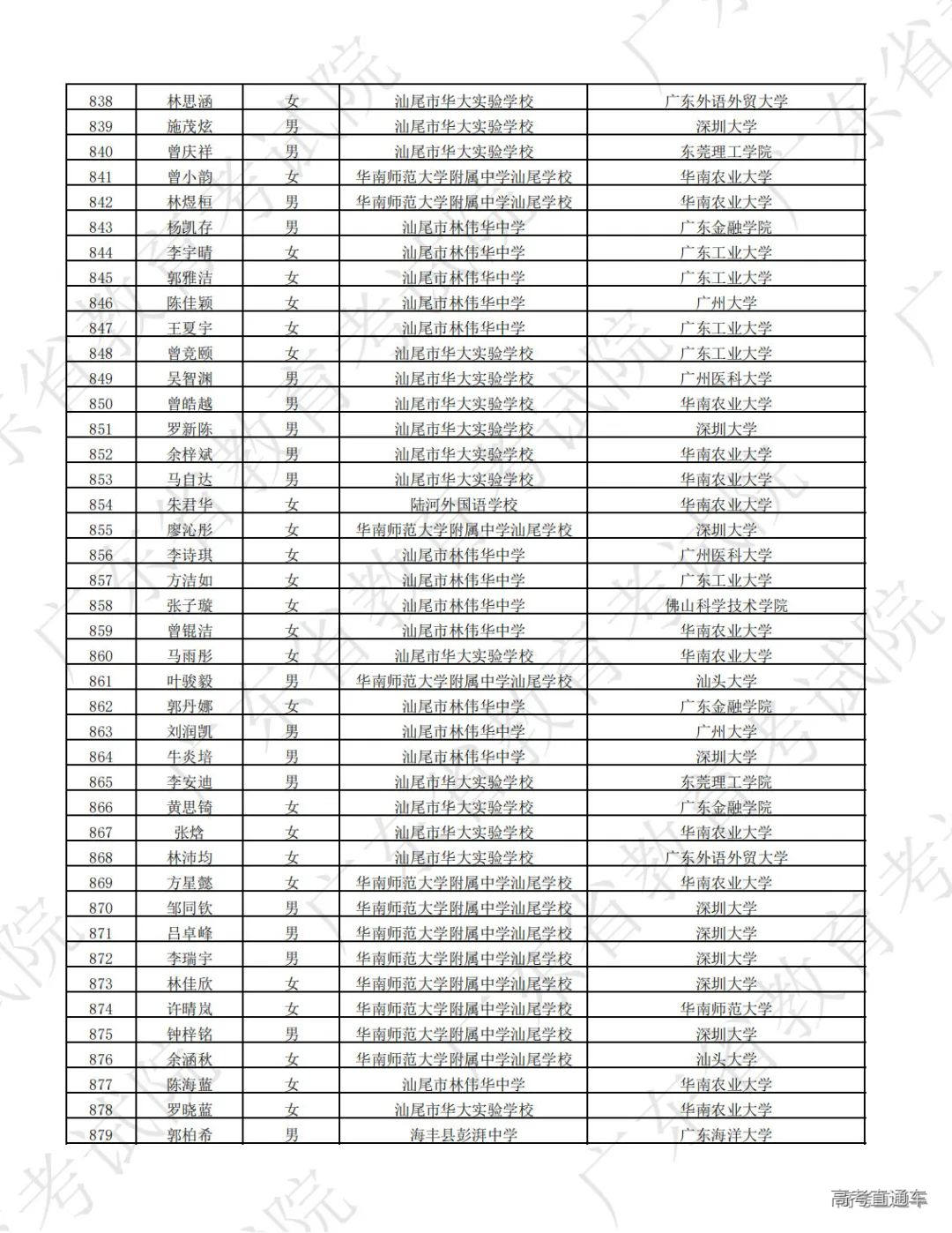
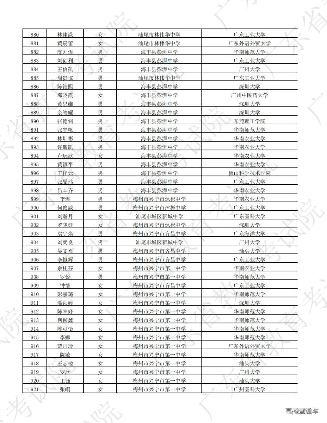
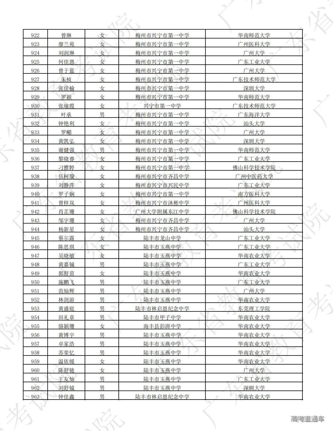
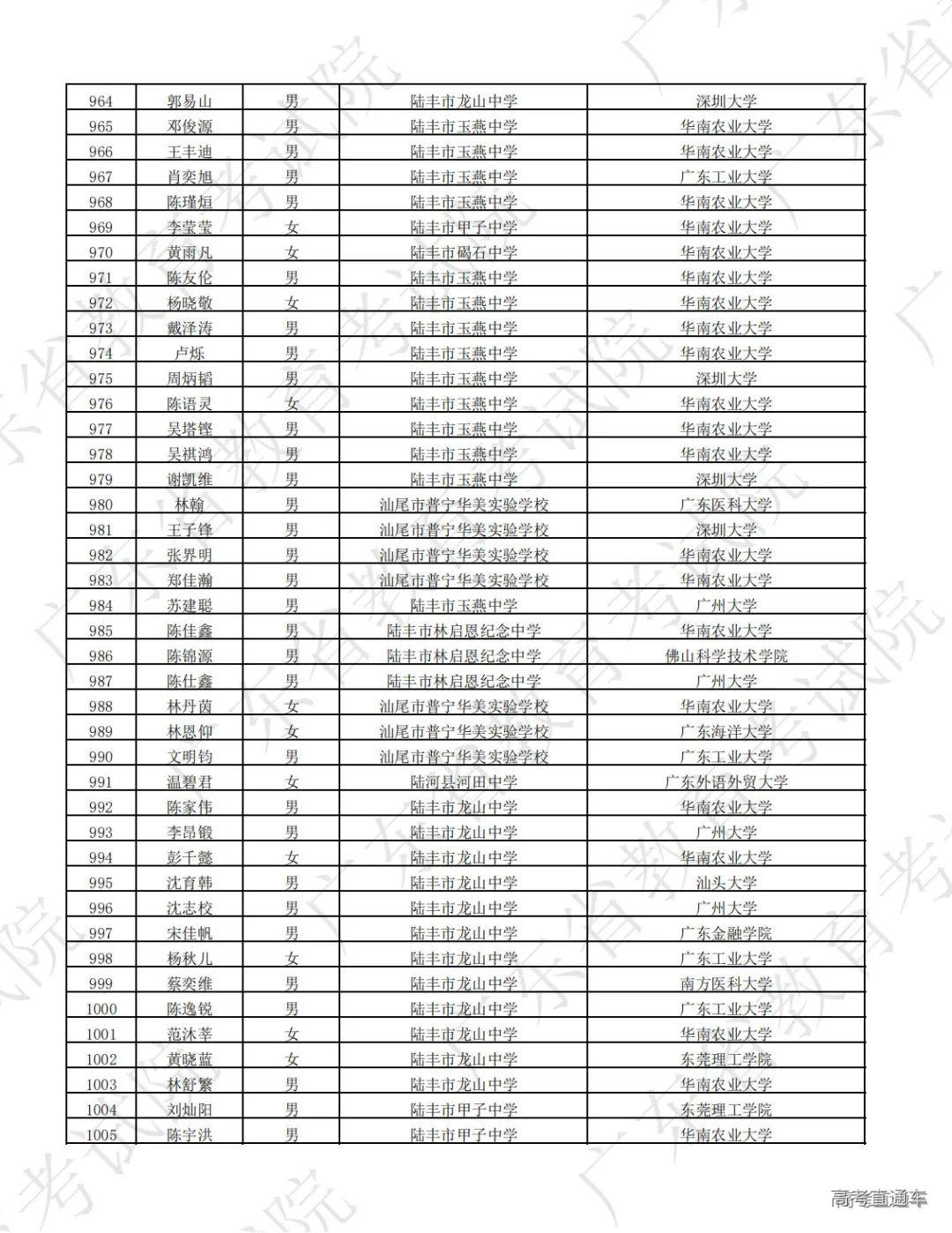
9月6日,广东省教育考试院官网对2023年普通高校招生专项计划录取考生名单(即“高校专项计划”和“地方专项计划”录取考生名单)进行公示。因篇幅较长,小车将通知原文及完整录取名单附于文末,考生、家长可自行查看。
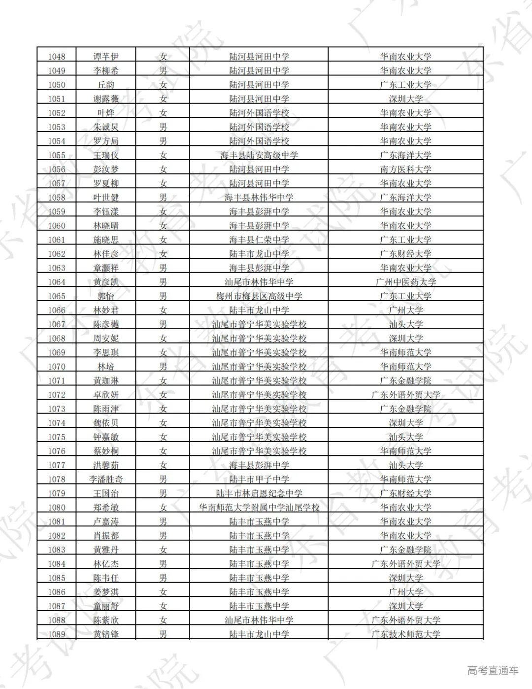
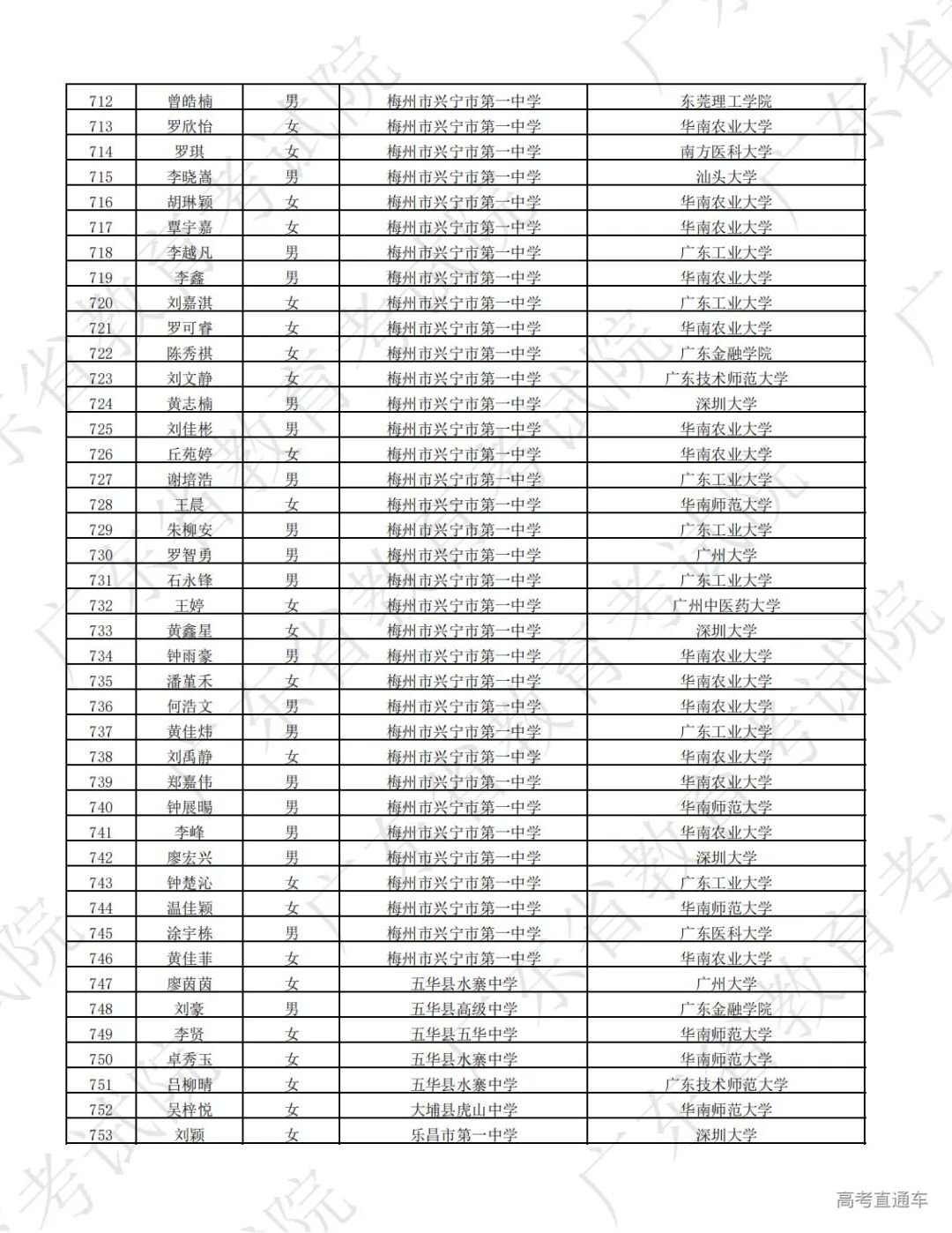
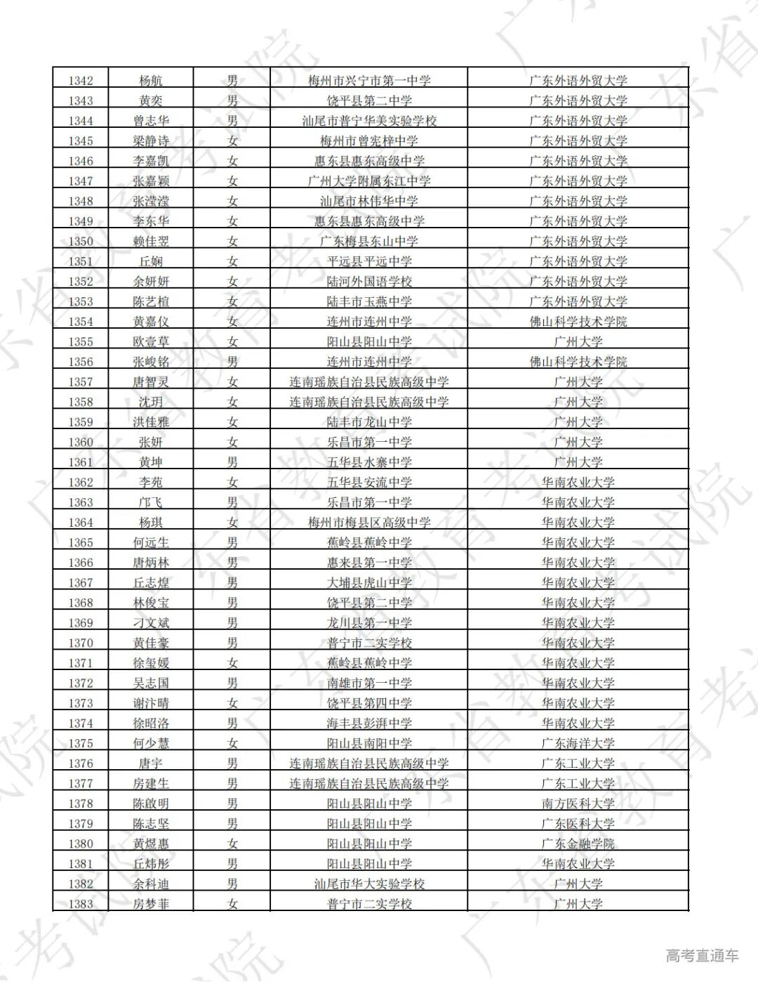
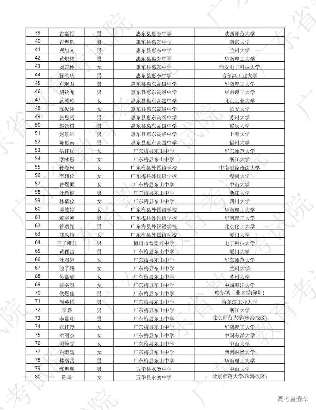
从省考试院公布的名单来看,通过专项计划被录取的考生合计2556人。其中,地方专项计划录取2379人,高校专项计划录取177人。
小车梳理本次地方专项计划录取名单发现,录取人数TOP5高校为:华南农业大学(450人)、广东工业大学(300人)、深圳大学(260人)、广州大学(240人)、华南师范大学(160人)。
此外,被录取人数TOP5中学为:普宁市第二中学、饶平县第二中学、惠来县第一中学、梅州市兴宁市第一中学、惠东县惠东高级中学,这些中学均超过100名学生被录取。
小车梳理本次高校专项计划录取名单发现,录取人数TOP3高校为:华南农业大学(36人)、中山大学(23人)、浙江大学(12人)。除此之外,其他985/211高校面向广东录取人数均未达到10人。
此外,被录取人数TOP5中学为:广东梅县东山中学、惠东县惠东高级中学、梅州市兴宁市第一中学、南雄市第一中学、蕉岭县蕉岭中学、五华县中英文高级中学,这些中学均超过10名学生被录取。
作为指定农村贫困地区学生的“福利”之一,高校专项、地方专项计划是广东指定地区的高考生可以享受的两大优惠政策。2023年广东实施区域如下:
下面一起来看看关于地方专项计划、高校专项计划的相关科普。
近几年,广东省地方专项的招生规模稳步扩大。2023年,实际招生院校达到17所,对比2022年新增1所,为广东技术师范大学。
图片所示数据为拟招生计划数,非投档录取实际人数
地方专项计划志愿是在普通类本科这一批次填报,报考考生的成绩应过地方专项特设的分数线(2023年广东地方专项分数线分值为:物理类509分,历史类510分)。 可填报志愿数量:45个专业组,每个专业组可填6个专业+1个服从调剂选项。
附:2023年地方专项计划院校专业组投档情况👇
高校专项计划定向招收边远、原贫困、民族等地区县(含县级市)以下高中勤奋好学、成绩优良的农村学生。该专项计划是国家为畅通农村和贫困地区学子纵向流动而开辟的渠道之一。
据了解,2023年参与高校专项计划招生的高校共有95所,大部分高校为国家“双一流”高校。其中,广东本土有2所高校参与,分别是中山大学和华南理工大学。
高校专项计划志愿是在特殊类型招生这一批次填报,报考考生的成绩应过特殊类型招生录取控制线,即大家常说的“特控线”或者“特招线”(2023年广东特控线分值为:物理类539分,历史类540分)。 可填报志愿数量:1个专业组,每个专业组可填6个专业+1个服从调剂选项。
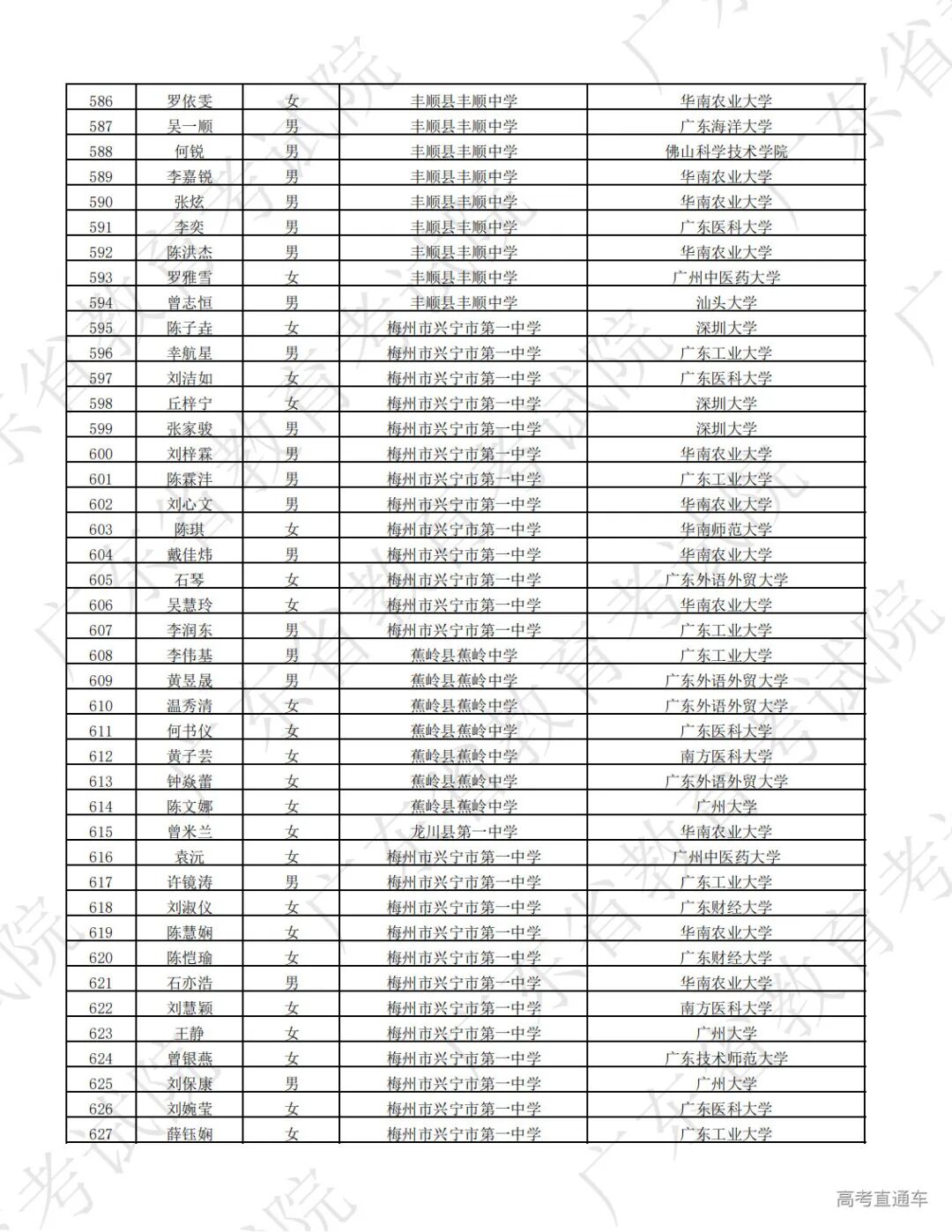
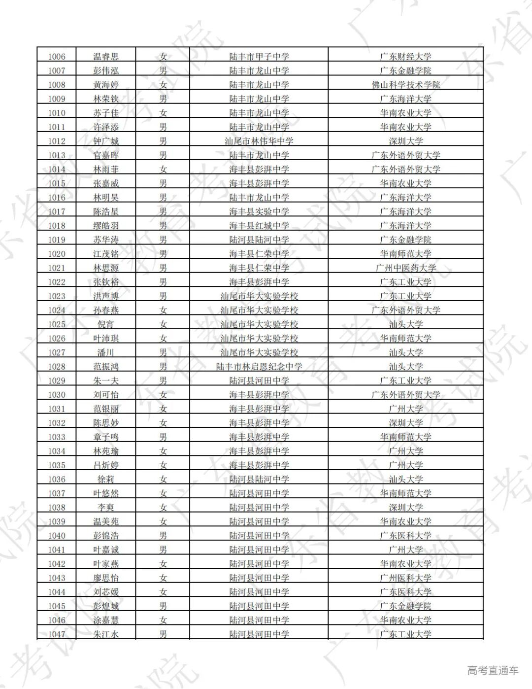
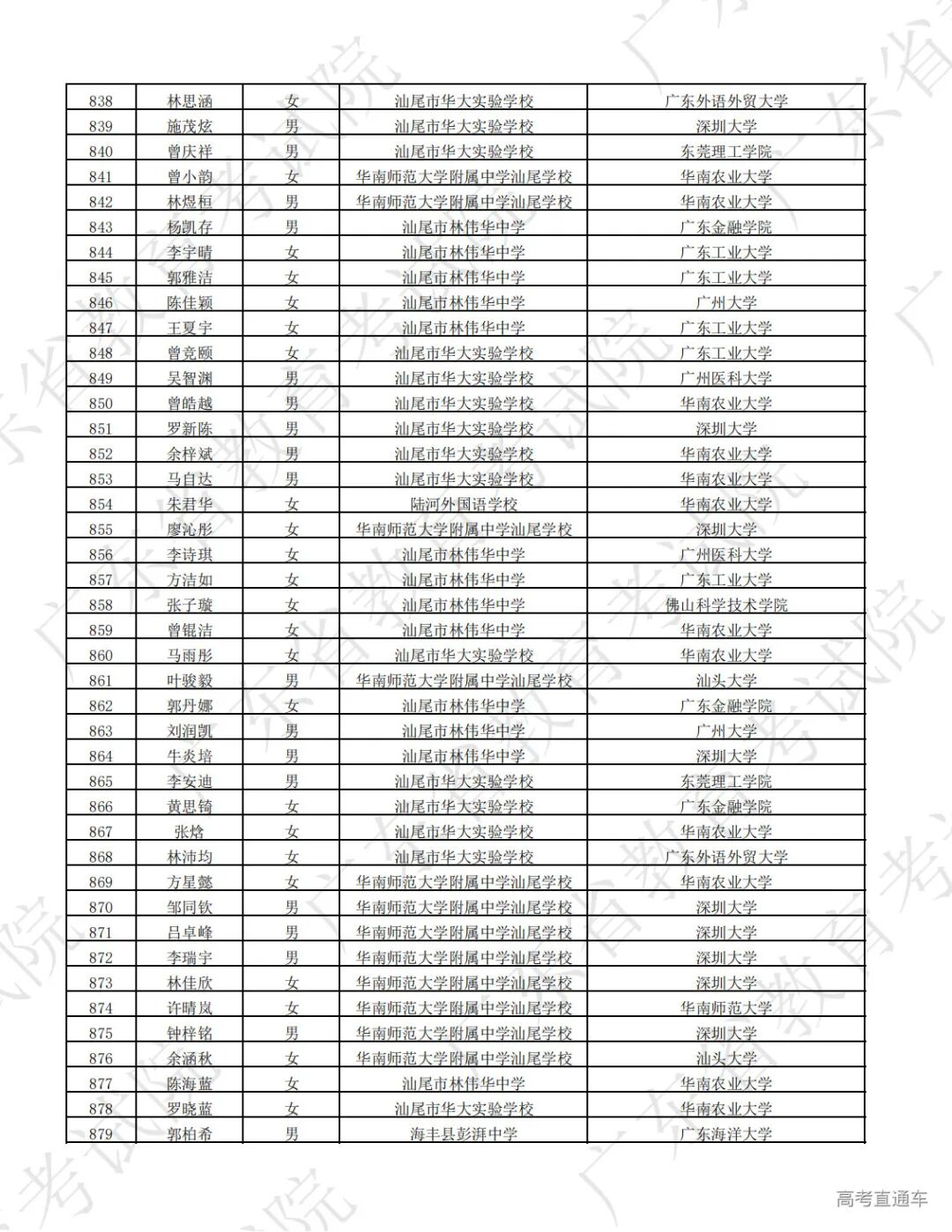
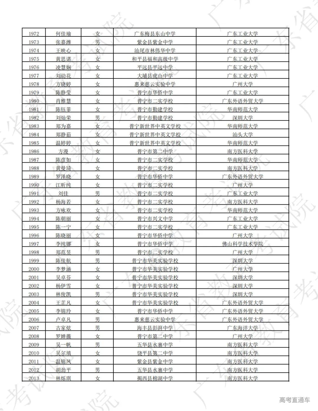
广东省2023年普通高校招生专项计划录取考生名单公示 根据教育部阳光高考的有关要求,现公示广东省2023年普通高校招生专项计划录取考生名单(即“高校专项计划”和“地方专项计划”录取考生名单),公示期10天。 如对公示名单有异议,请向省招办反映。联系电话:020-62833628。 附件:广东省2023年“高校专项计划”和“地方专项计划”录取考生名单 广东省招生委员会办公室 2023年9月6日
广东省2023年高校专项计划录取考生名单(上下滑动查看👇)
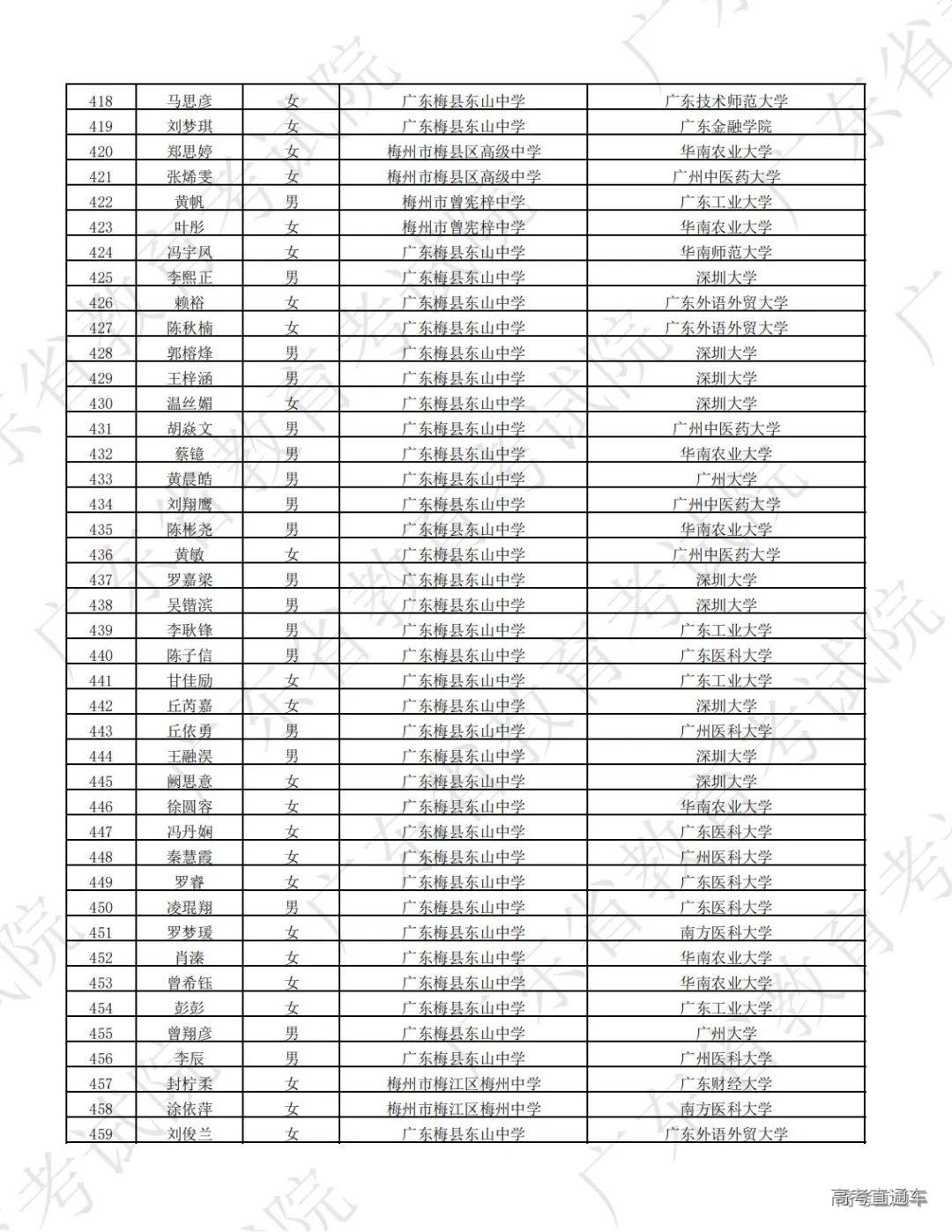
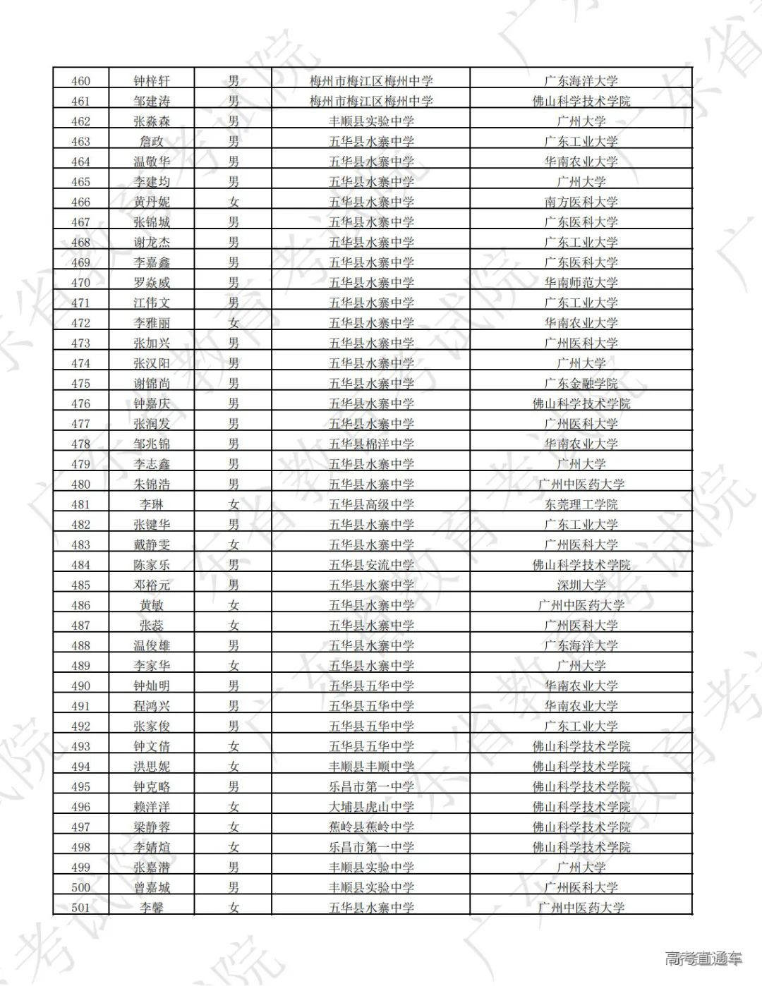
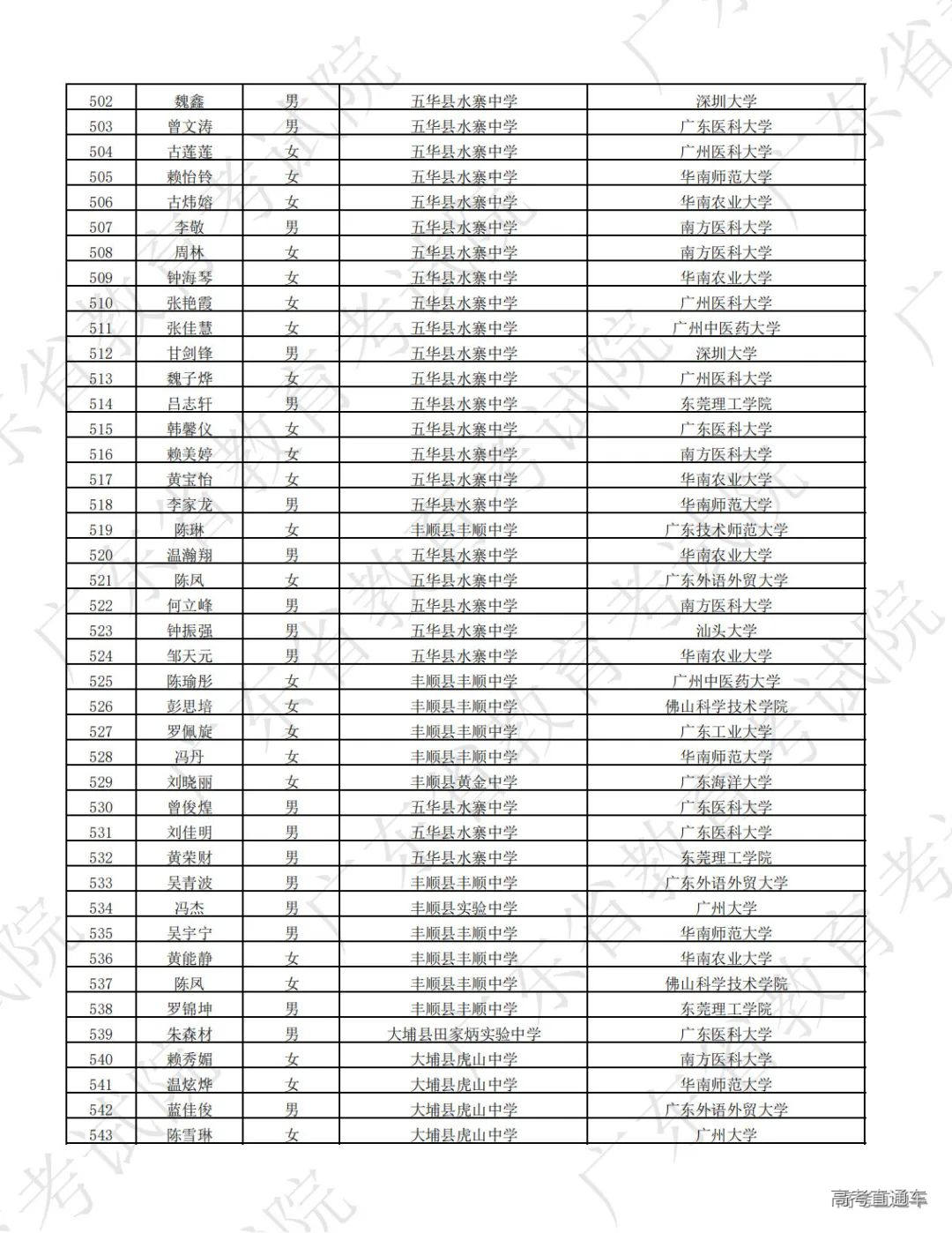
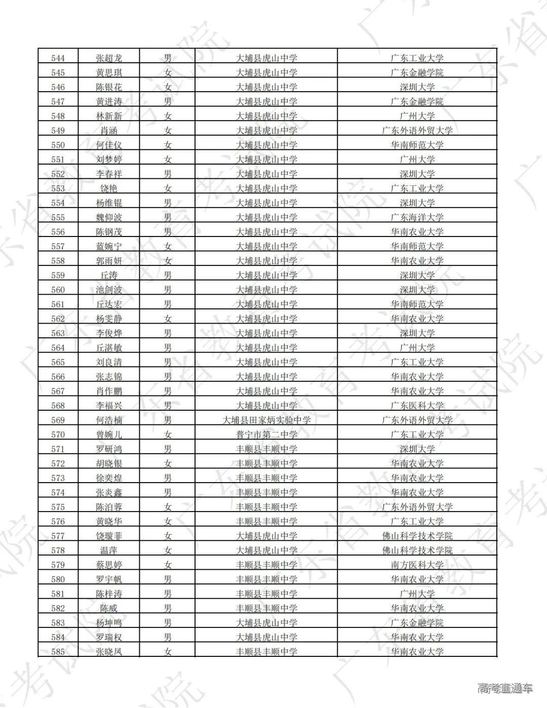
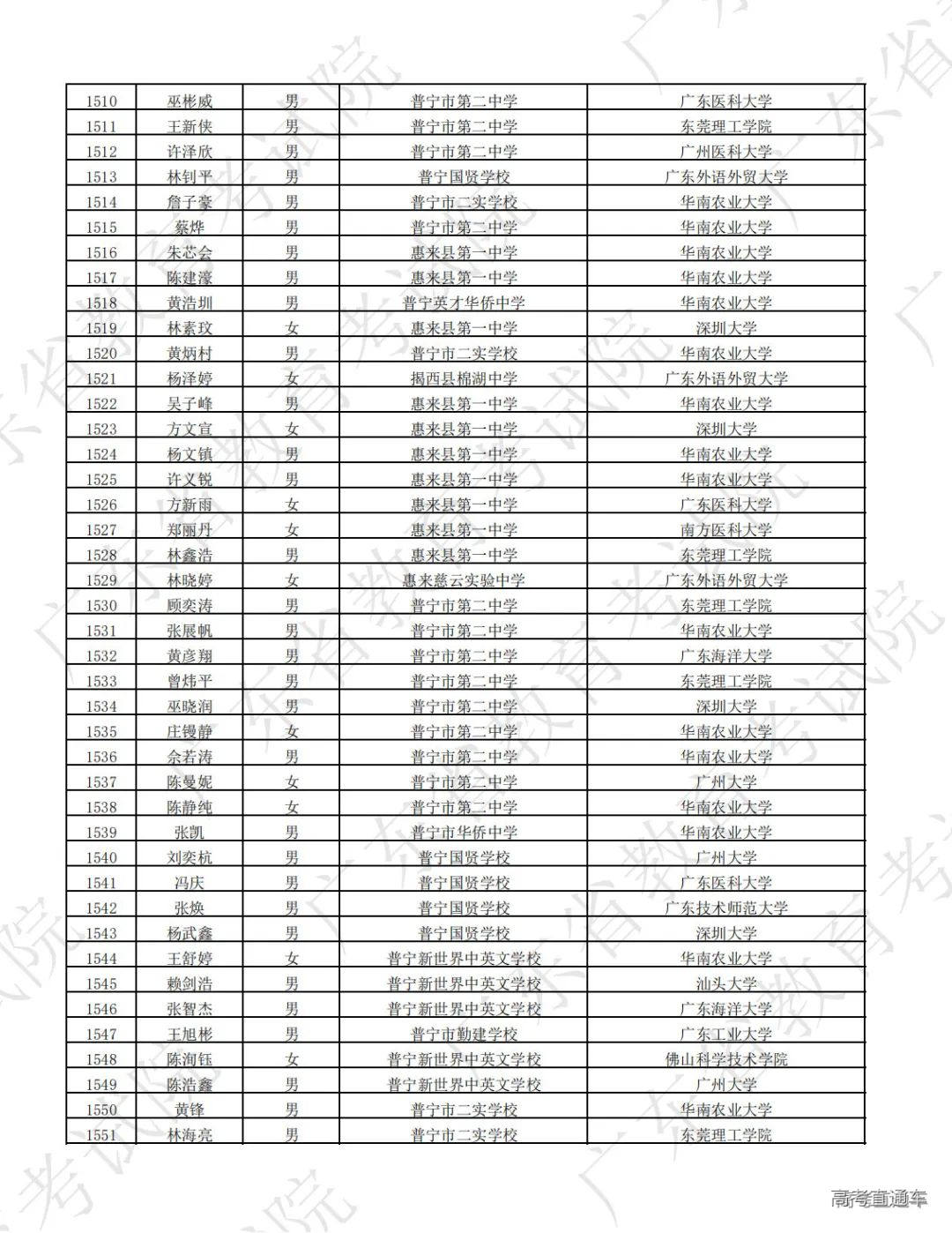
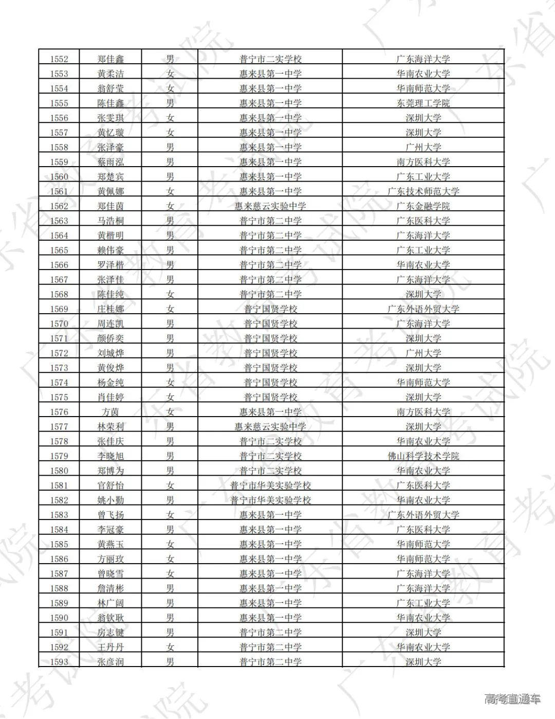
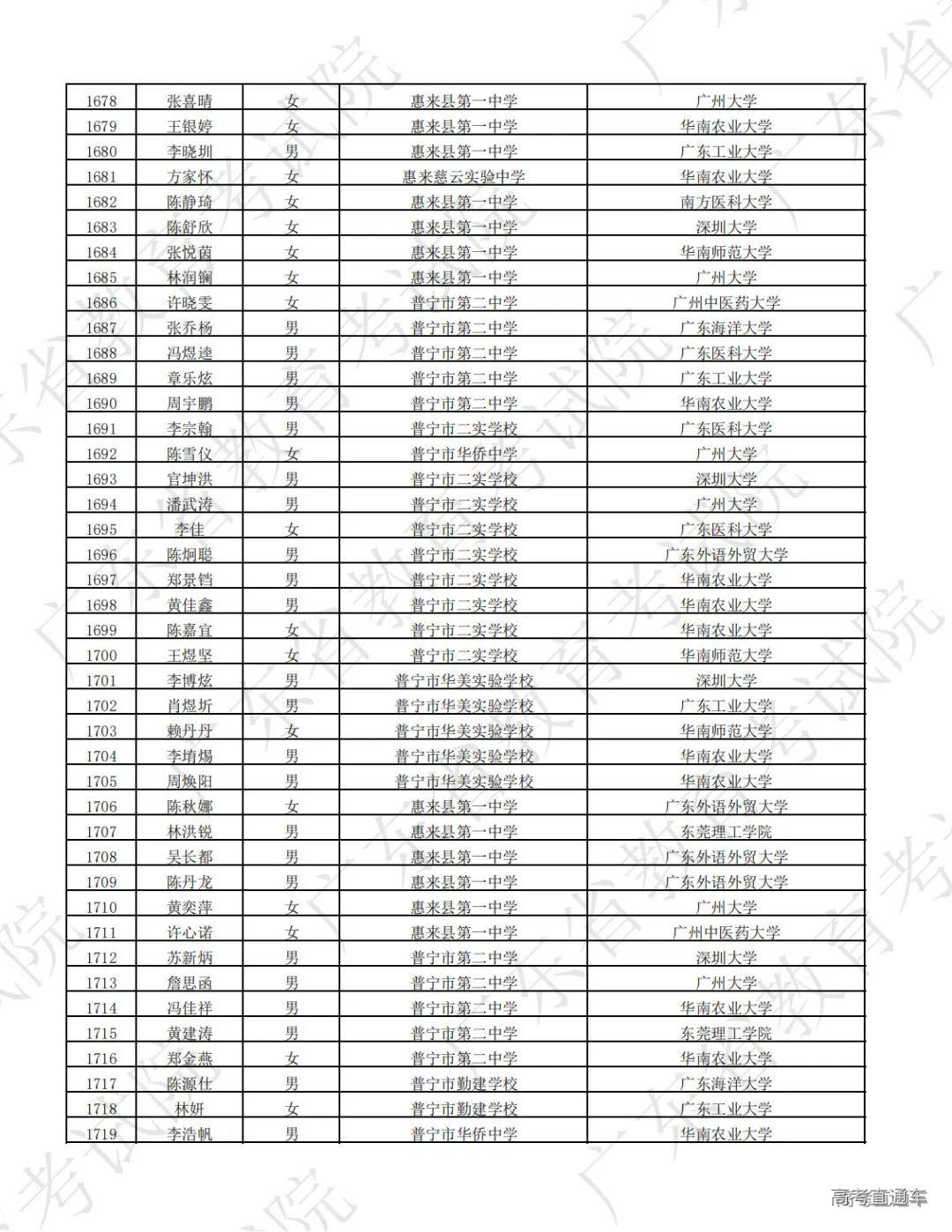
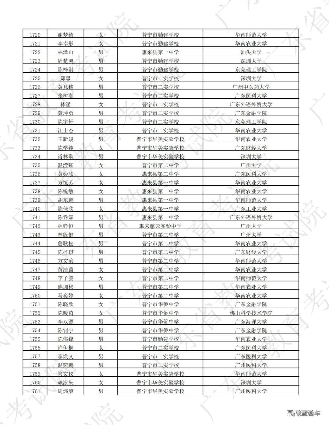
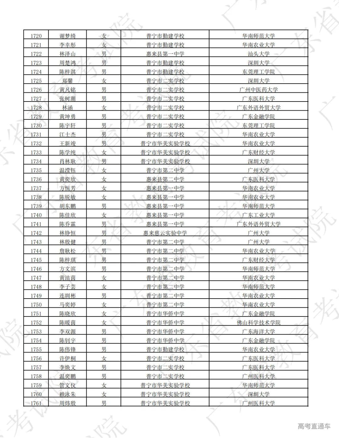
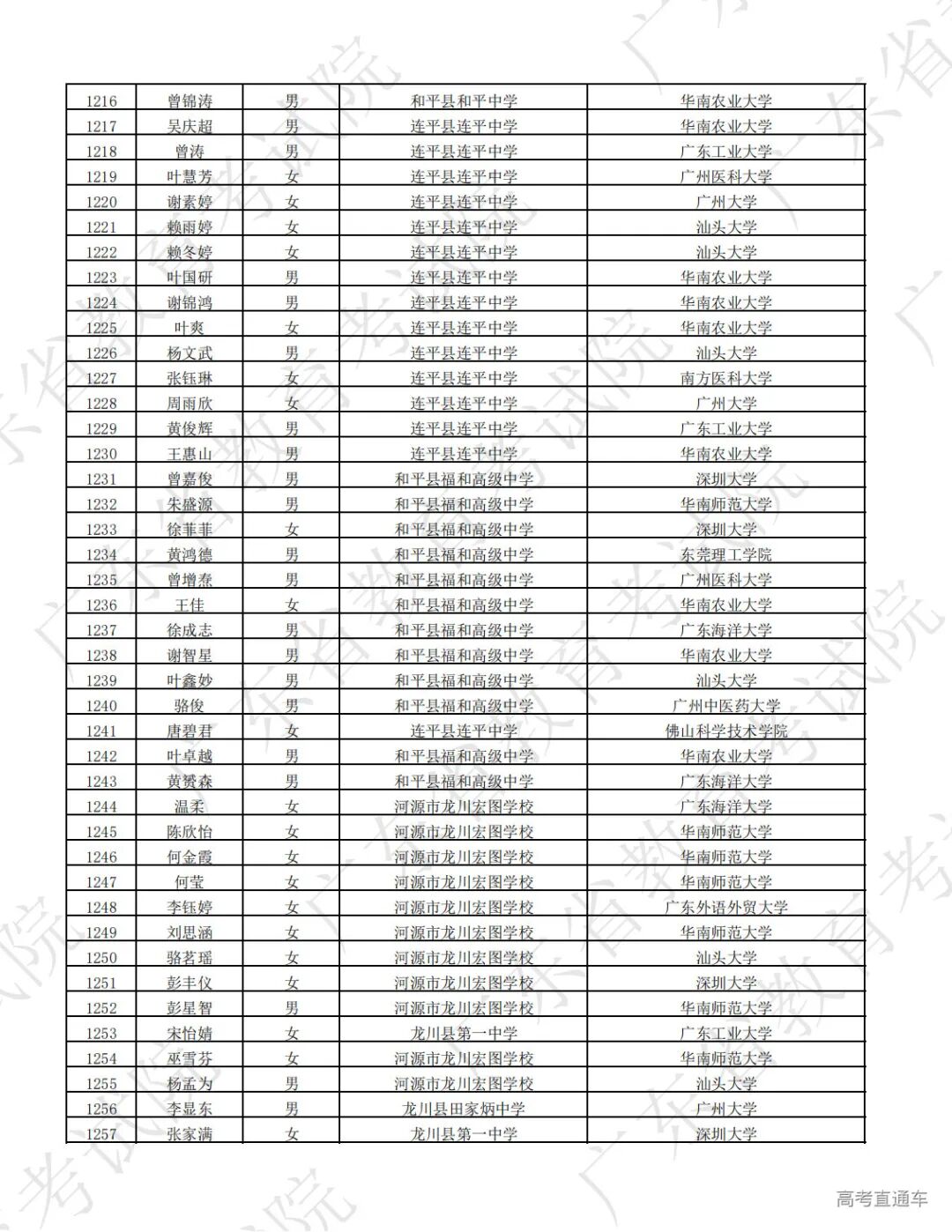
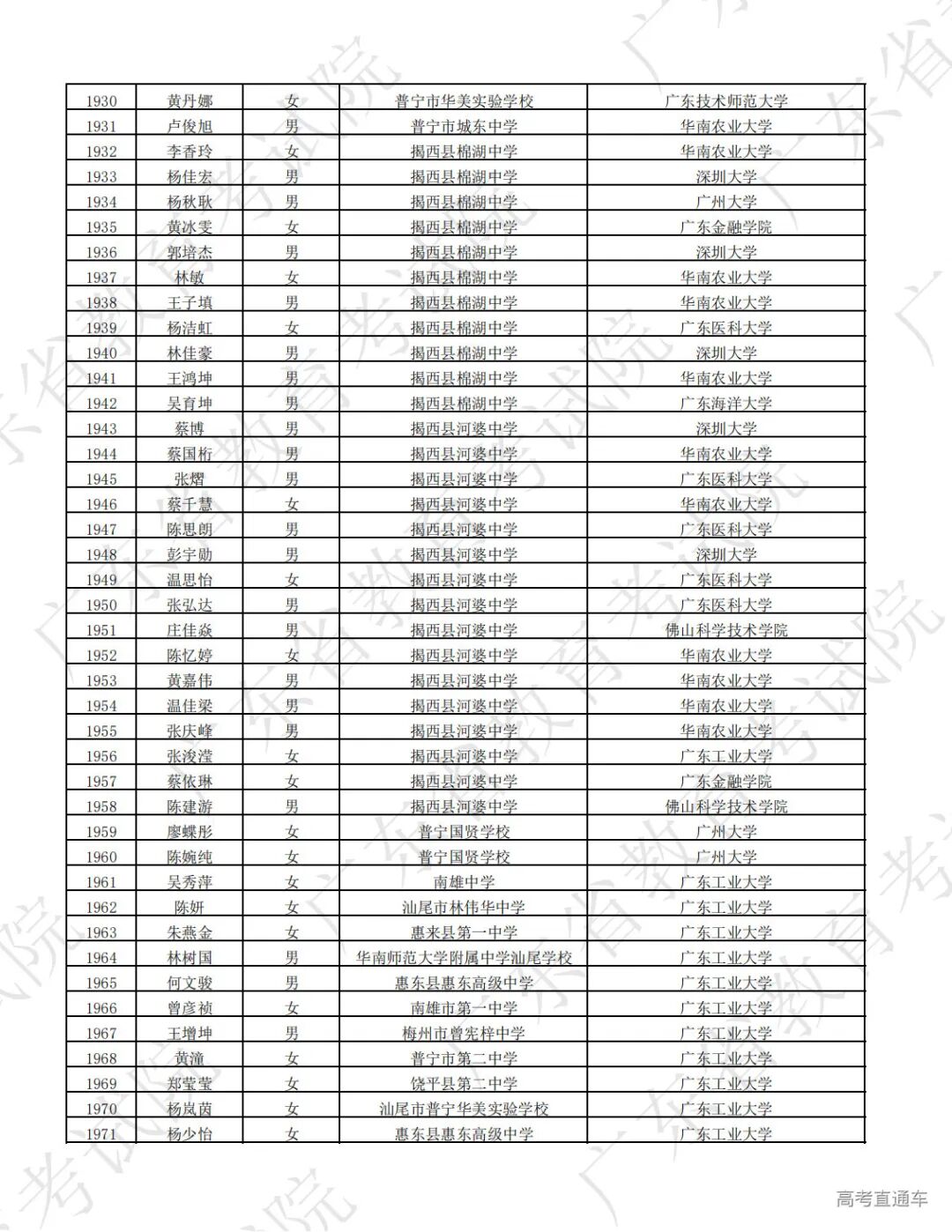
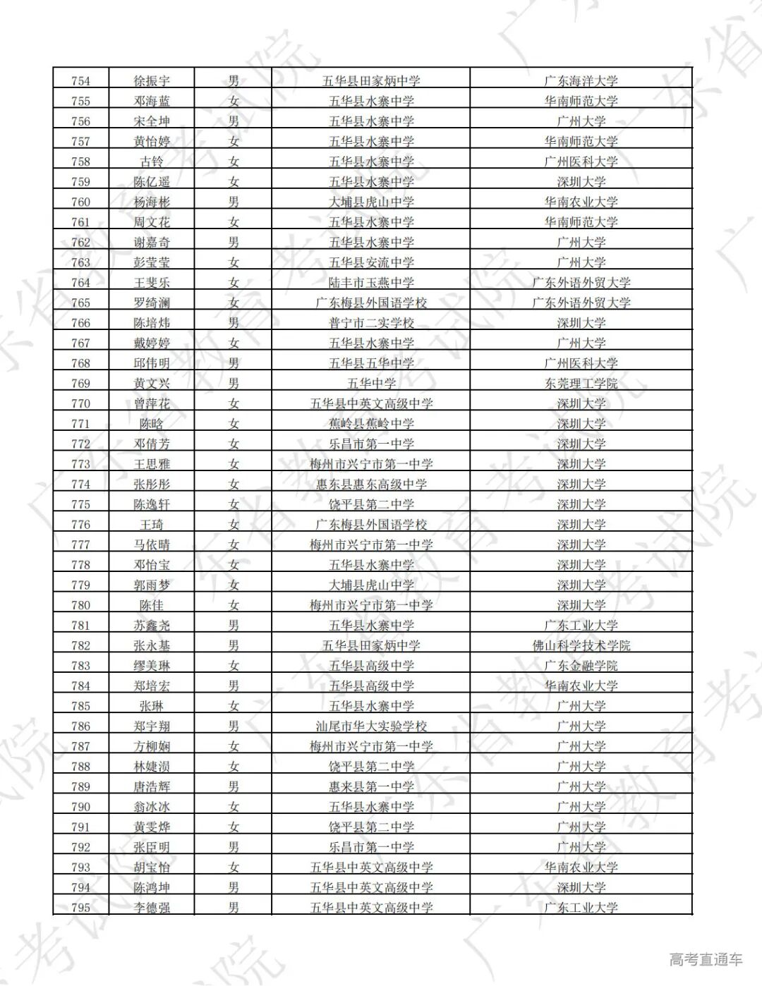
广东省2023年地方专项计划录取考生名单(上下滑动查看👇)








































































