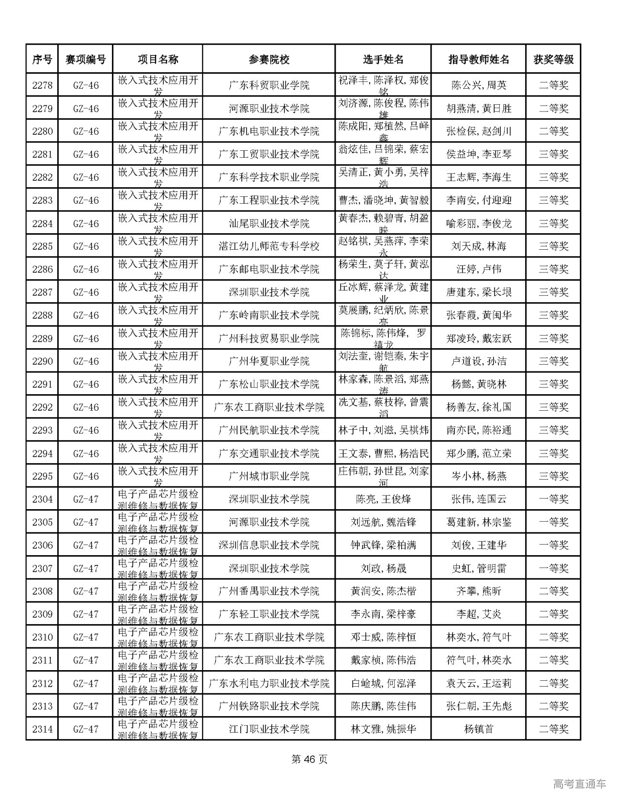
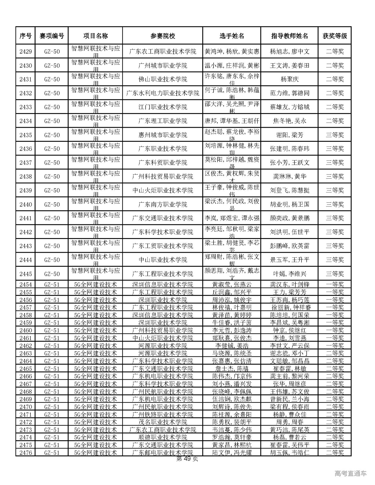
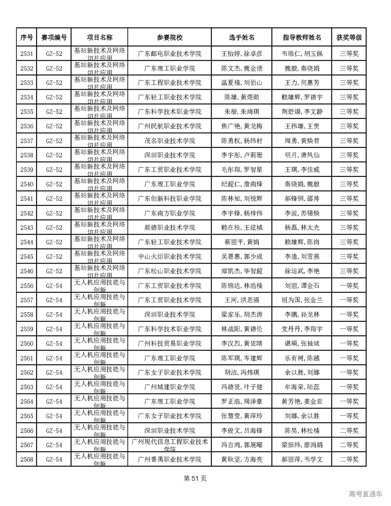
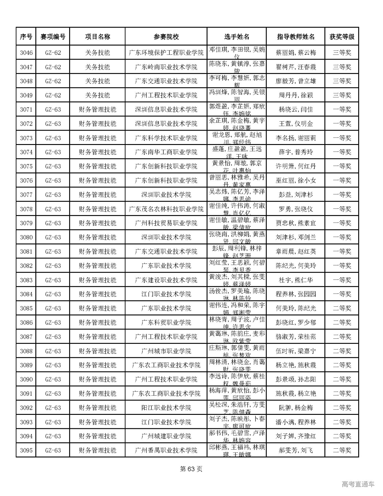
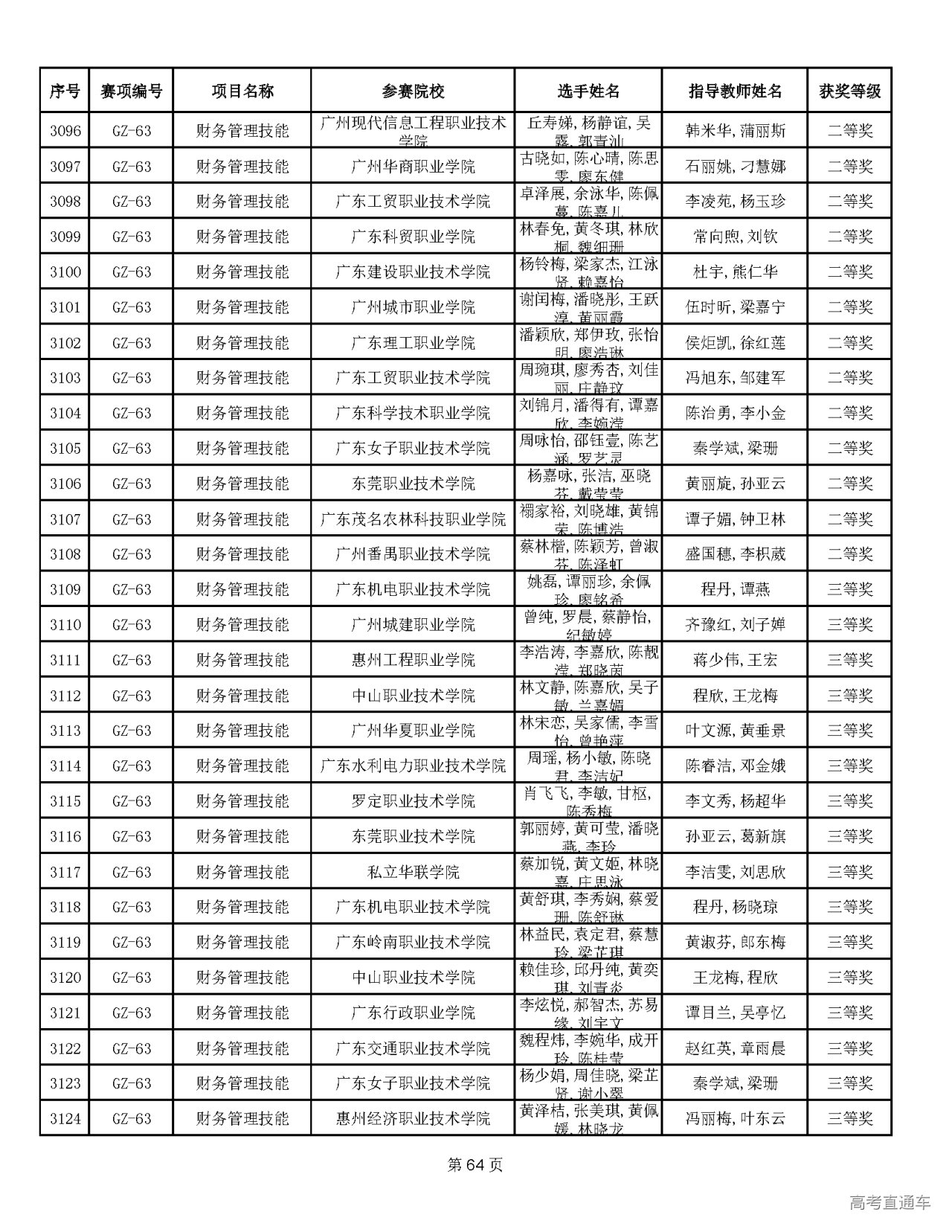
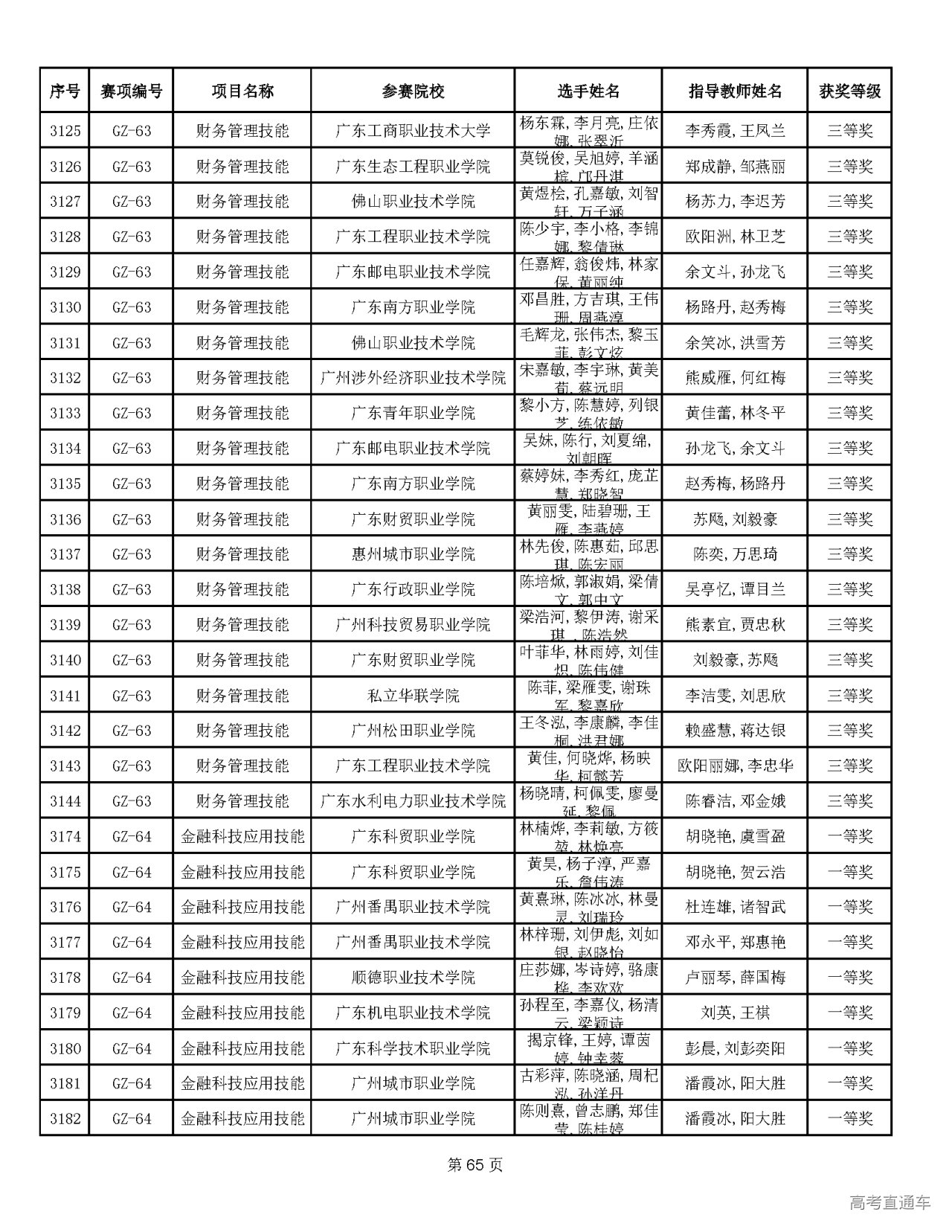
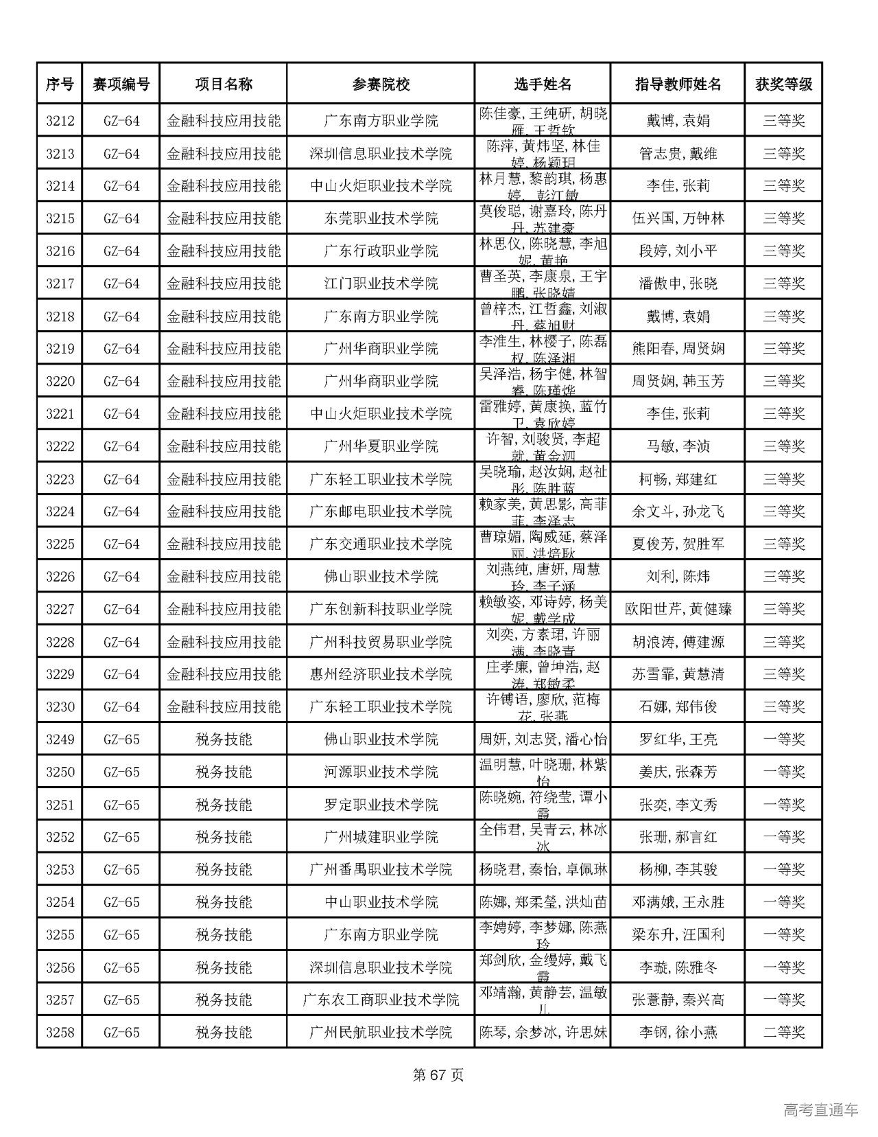
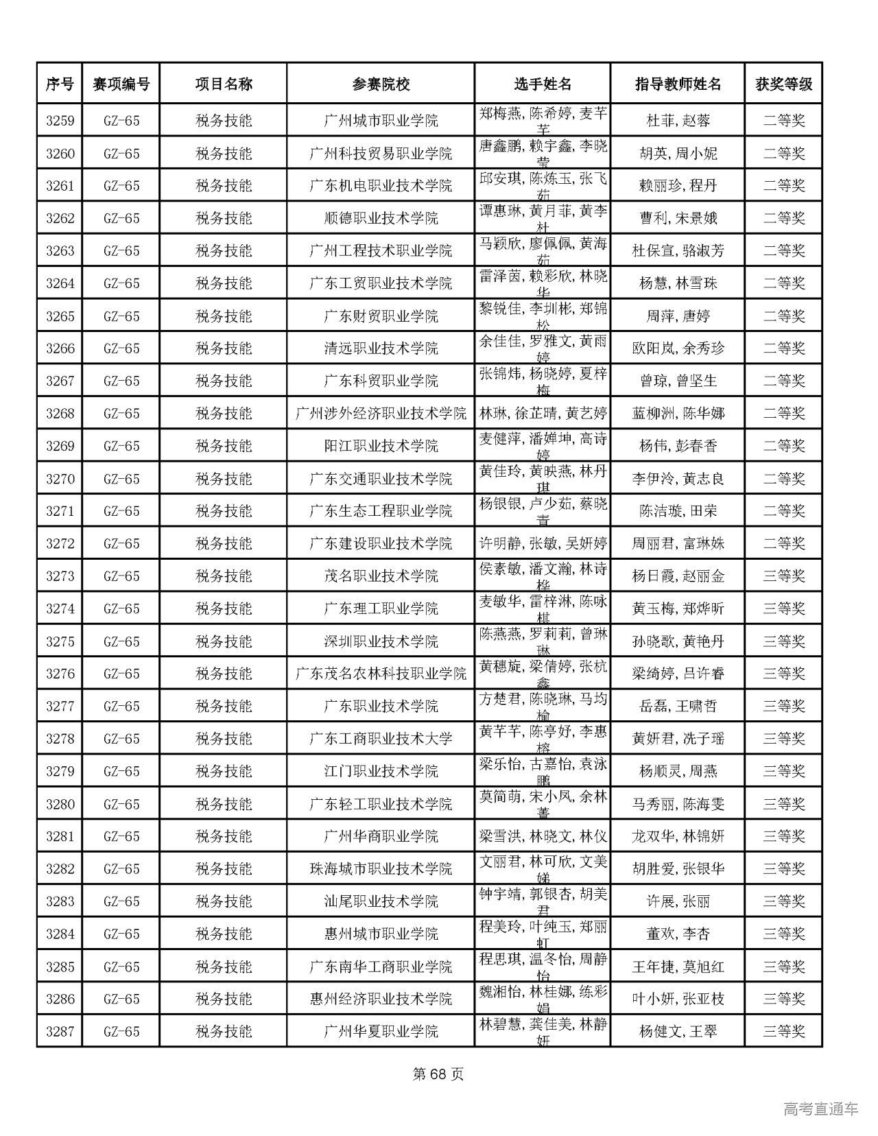
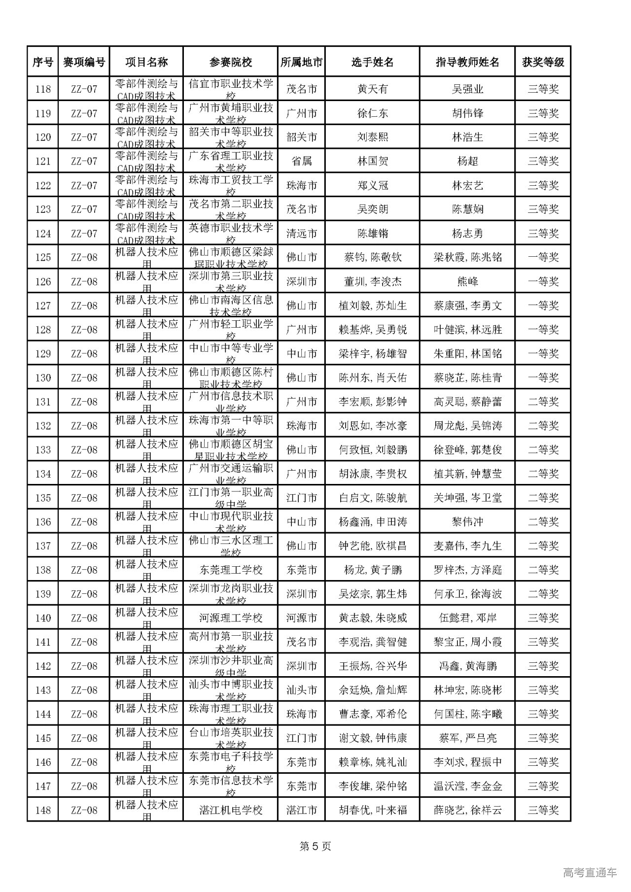
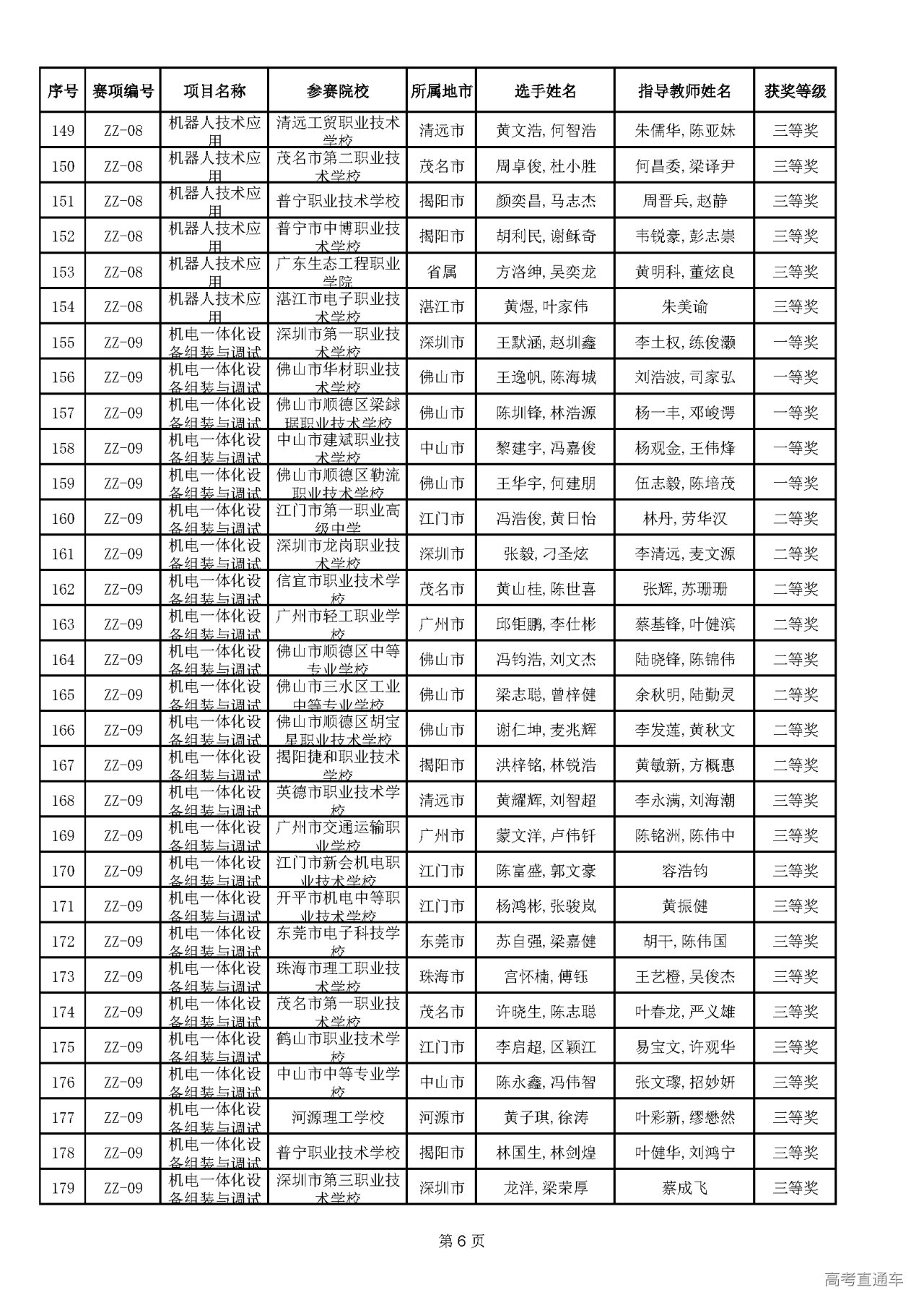
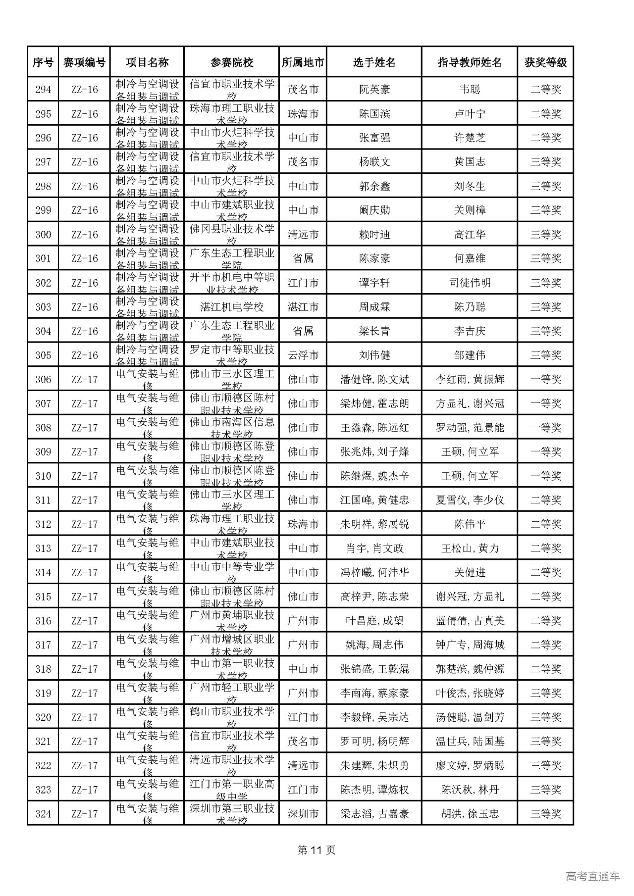
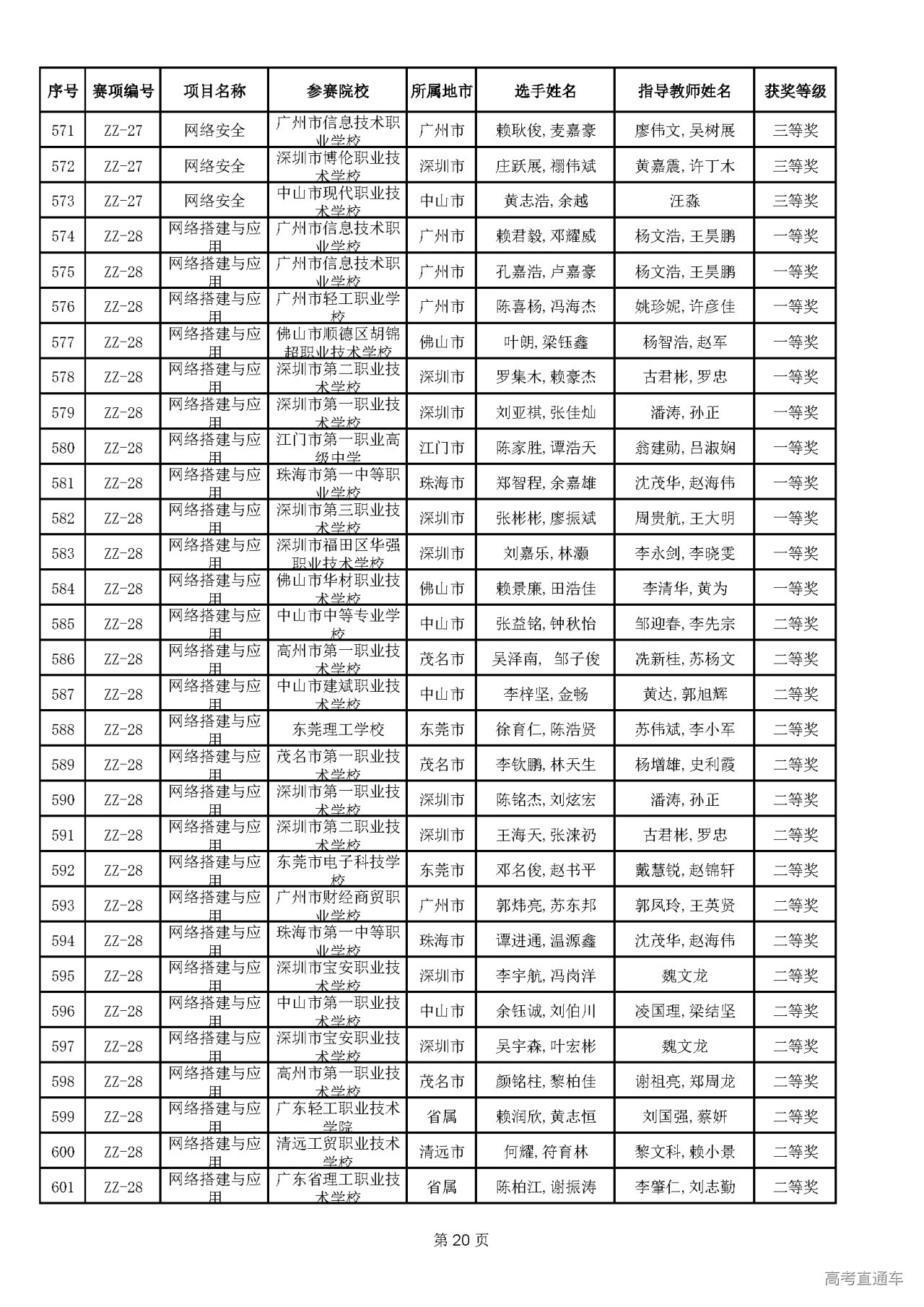
2021—2022年度我省职业院校学生专业技能大赛共147个赛项比赛已全部结束。现将拟获奖名单予以公示(附件1、附件2)。
公示期自2022年6月13日起至6月17日止。公示期内,如对拟获奖名单有异议,请以书面形式向广东省职业院校技能大赛组织委员会办公室反映。以单位名义反映的应加盖公章,以个人名义反映的应署真实姓名、身份证号和联系电话,否则不予受理。
联系人:覃忠健、赵小段;联系电话:020-37804142(覃)、020-37626863(赵);电子邮箱:zhizc@gdedu.gov.cn;邮寄地址: 广州市越秀区东风东路723号广东省教育厅职终处902室。
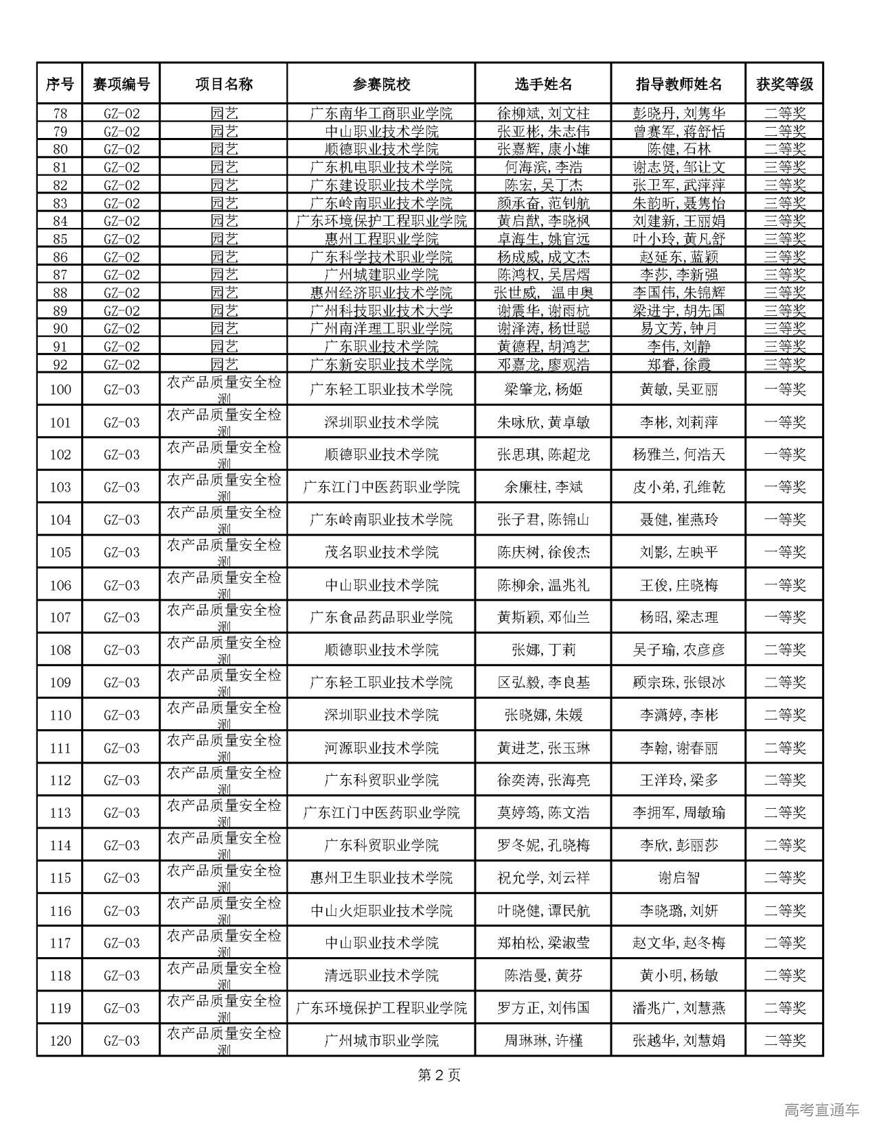
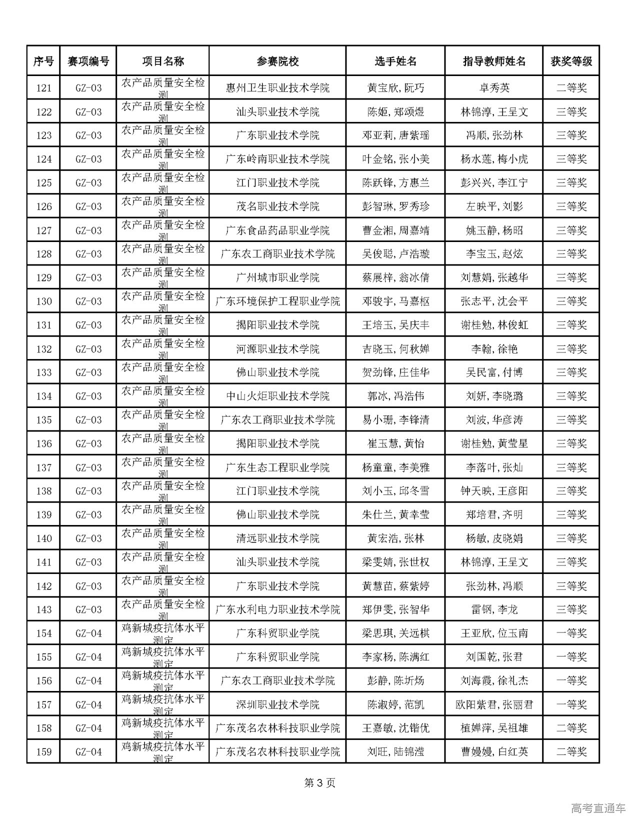
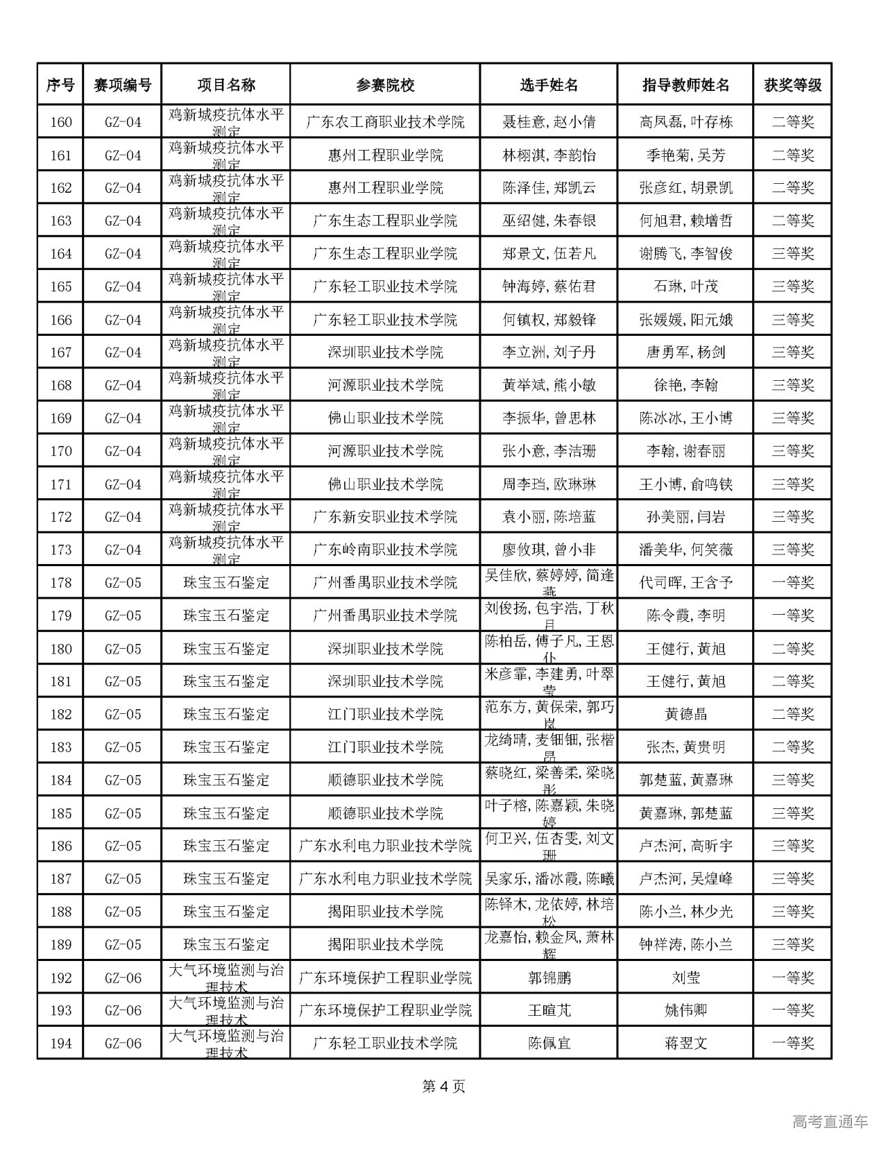
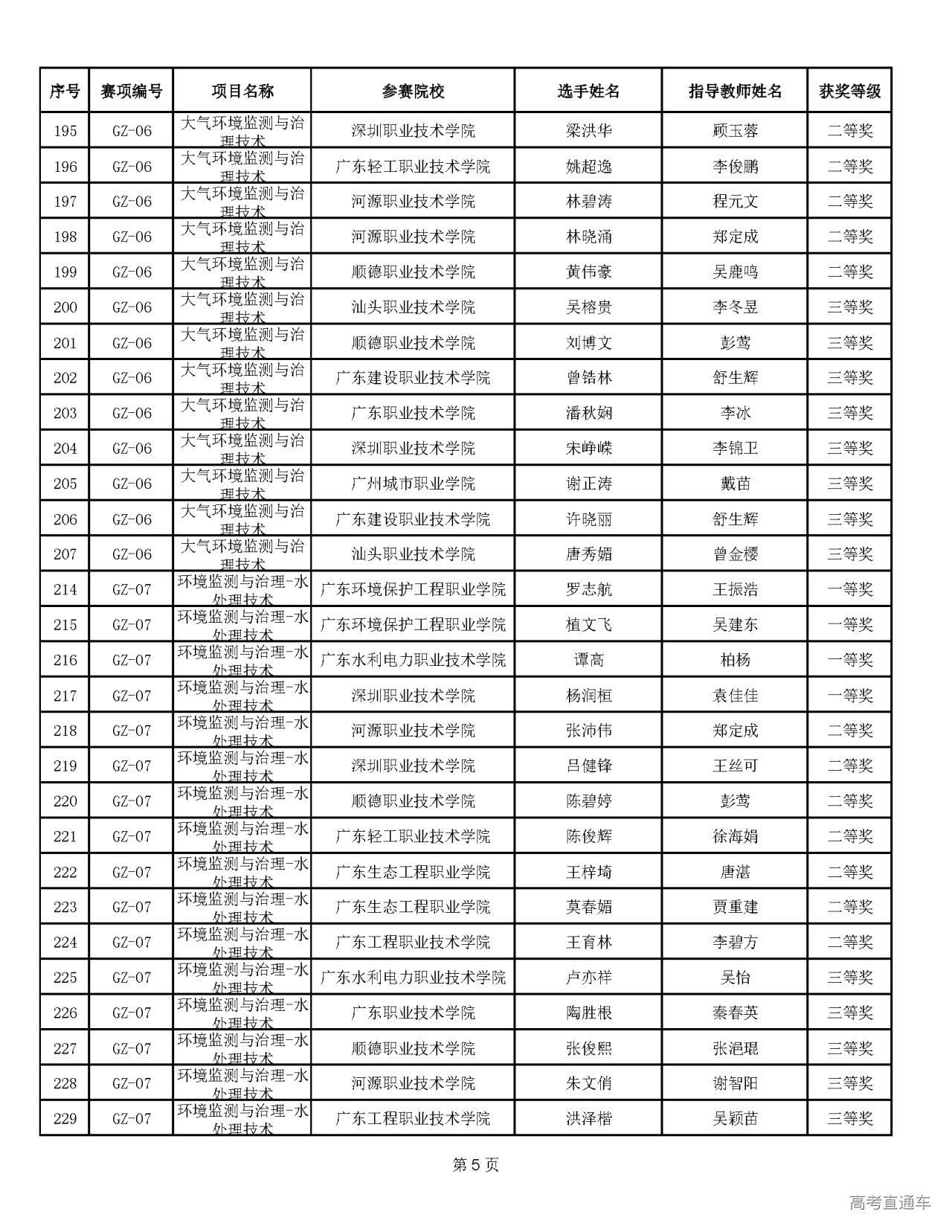
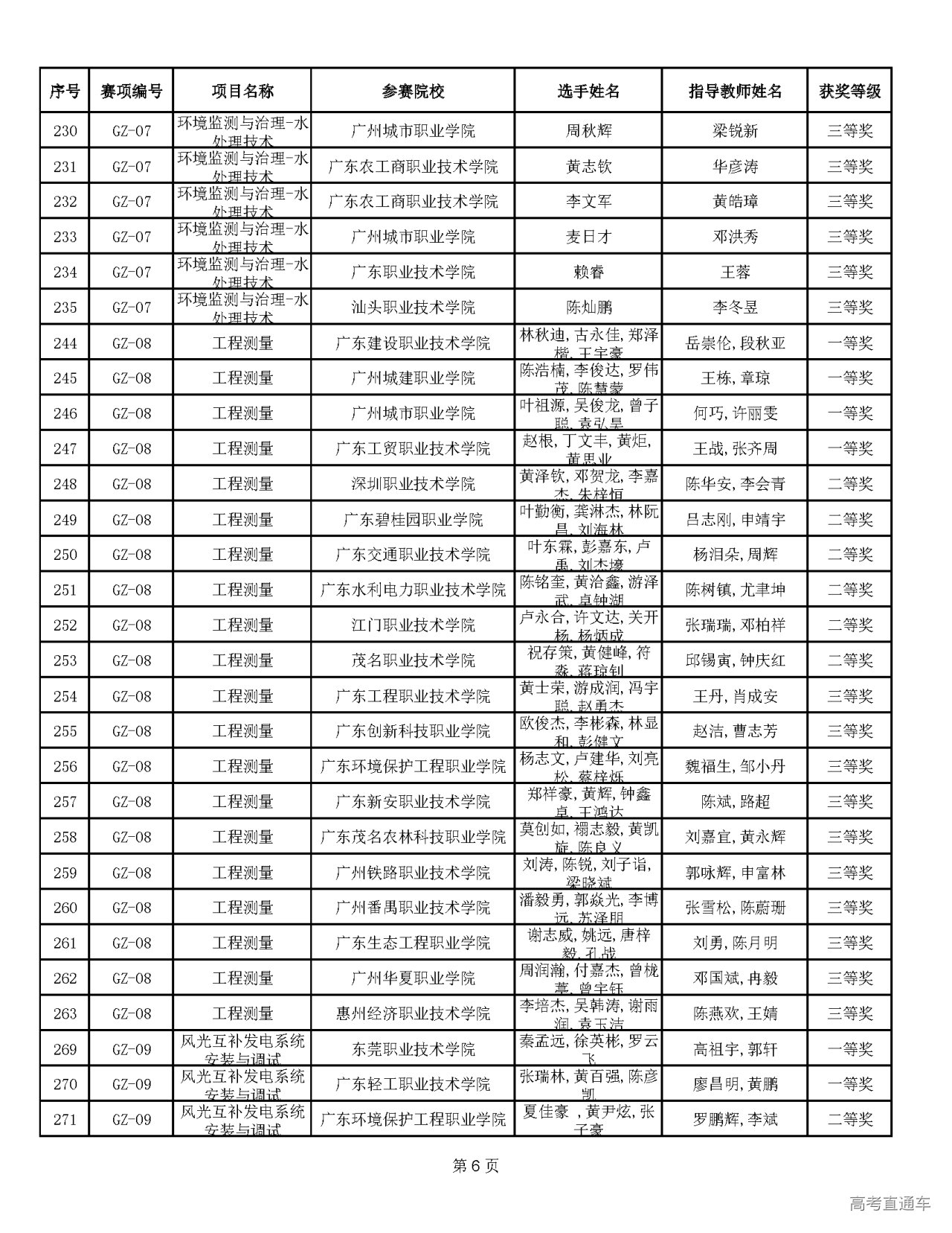
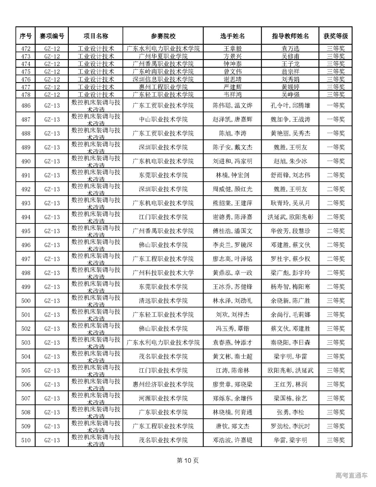
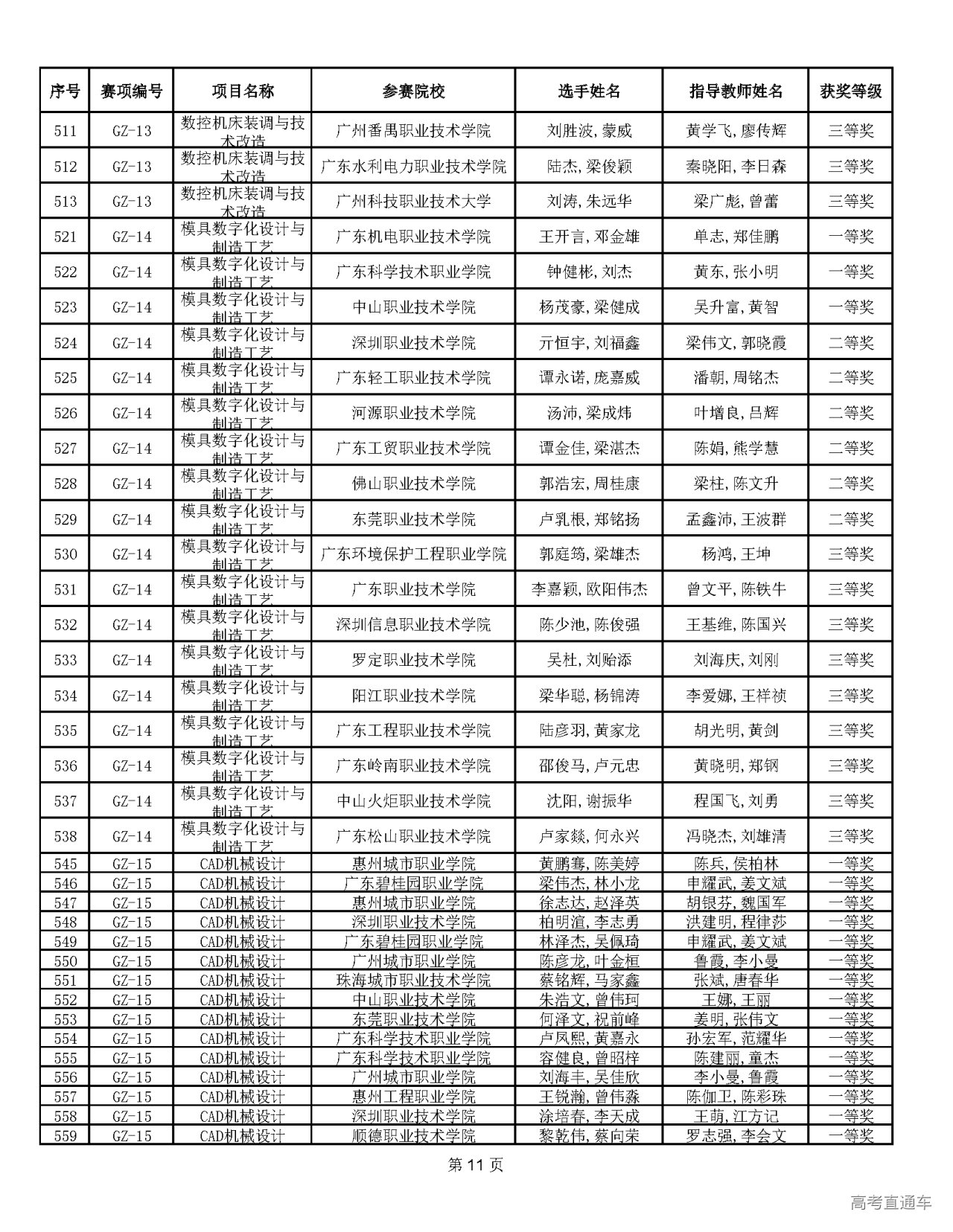
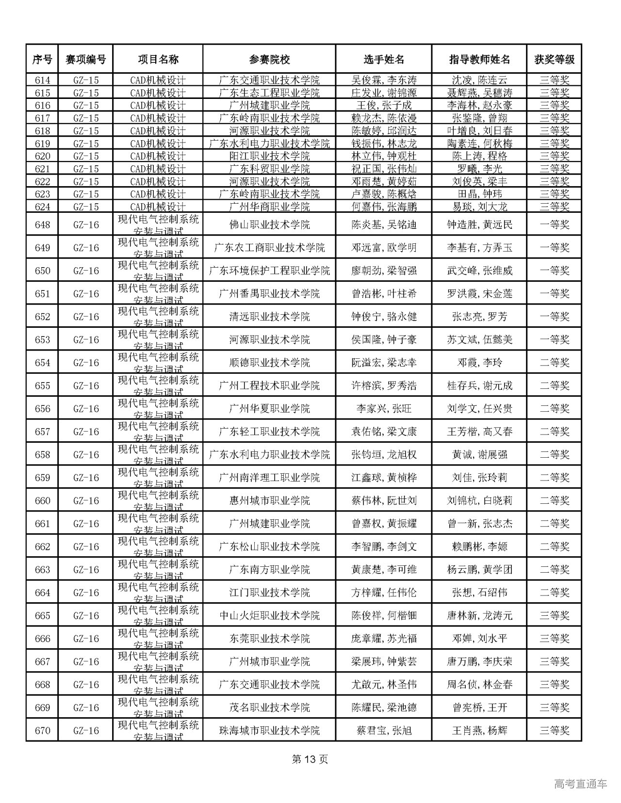
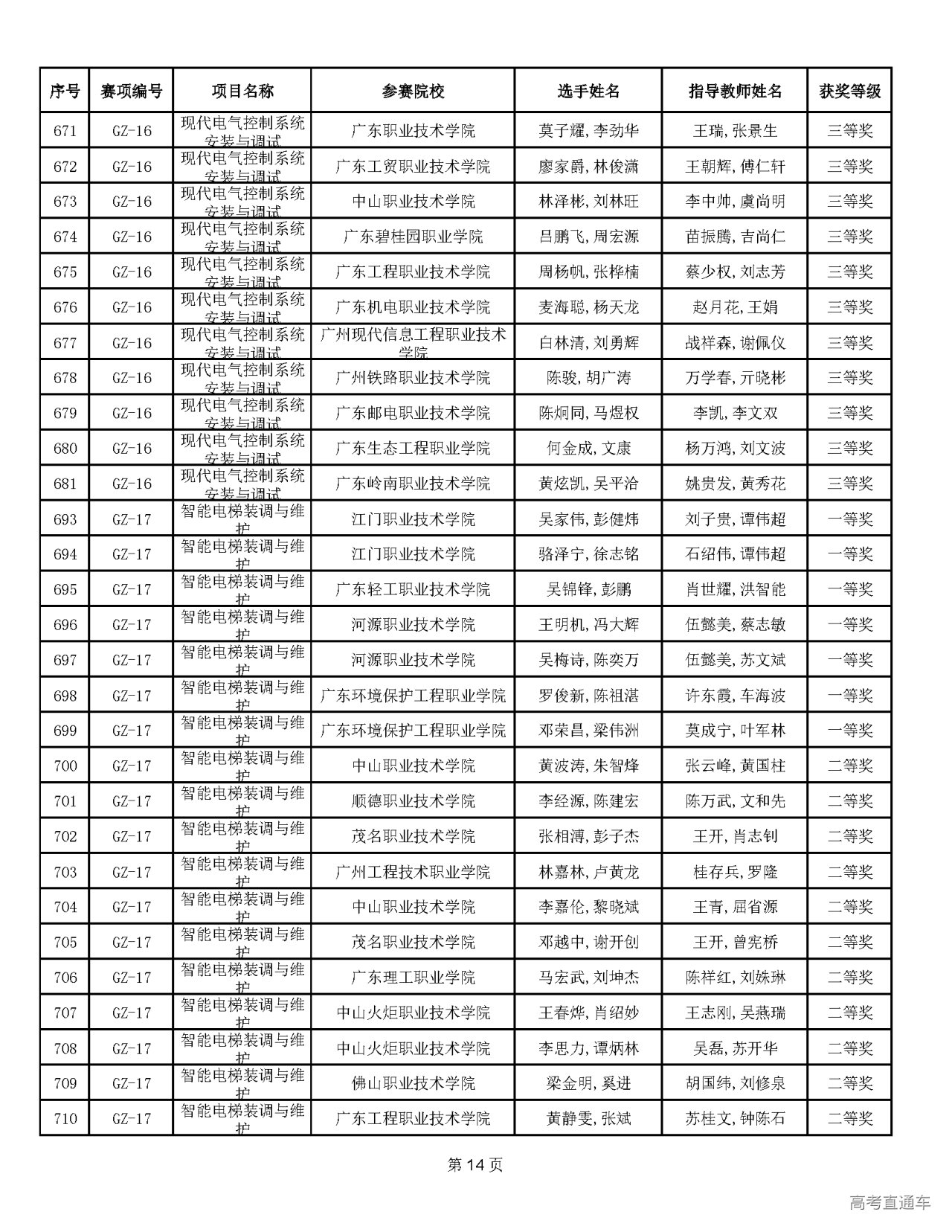
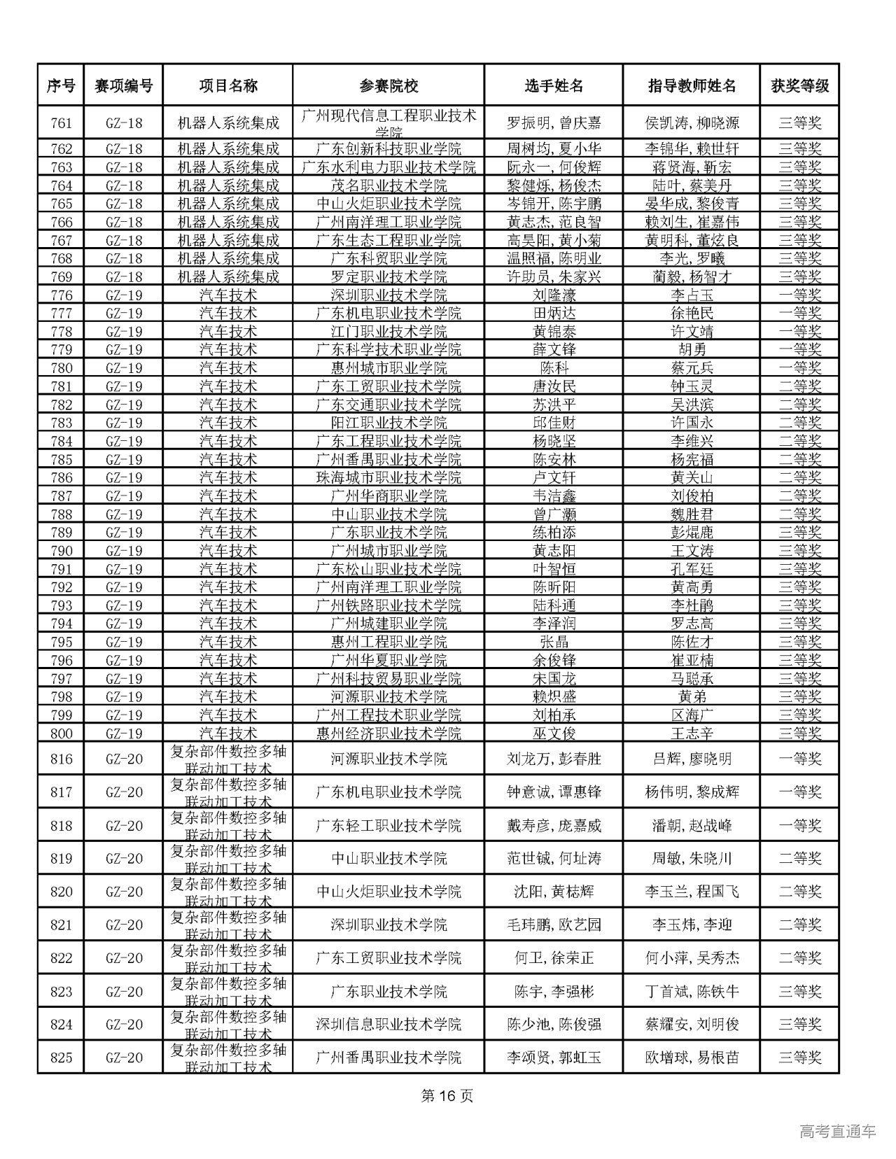
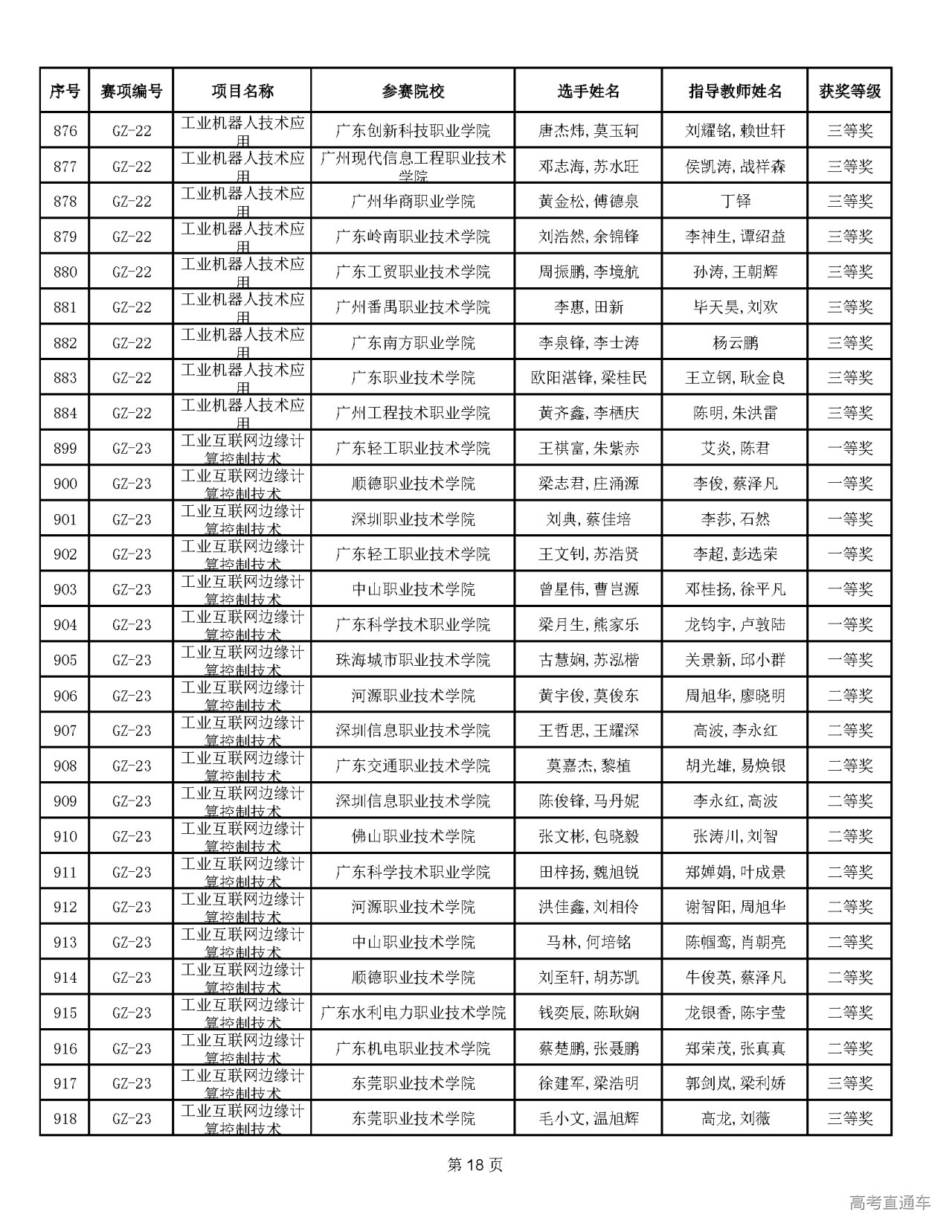
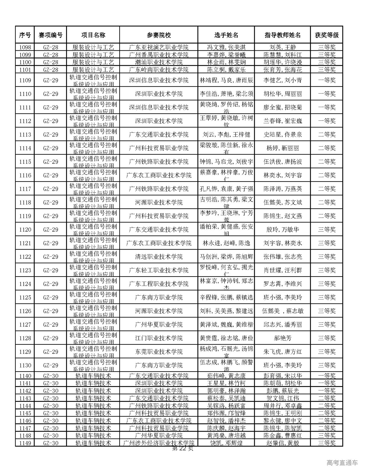
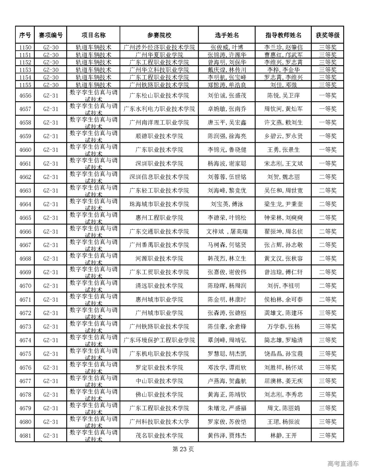
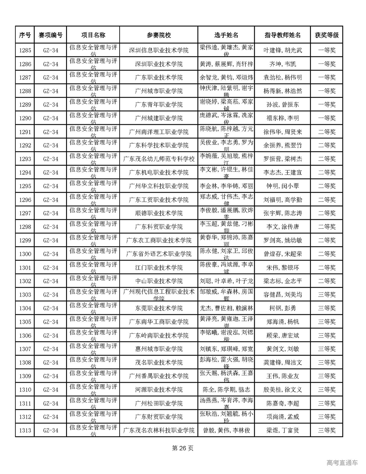
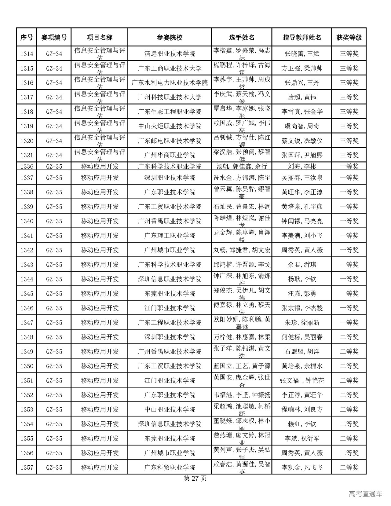
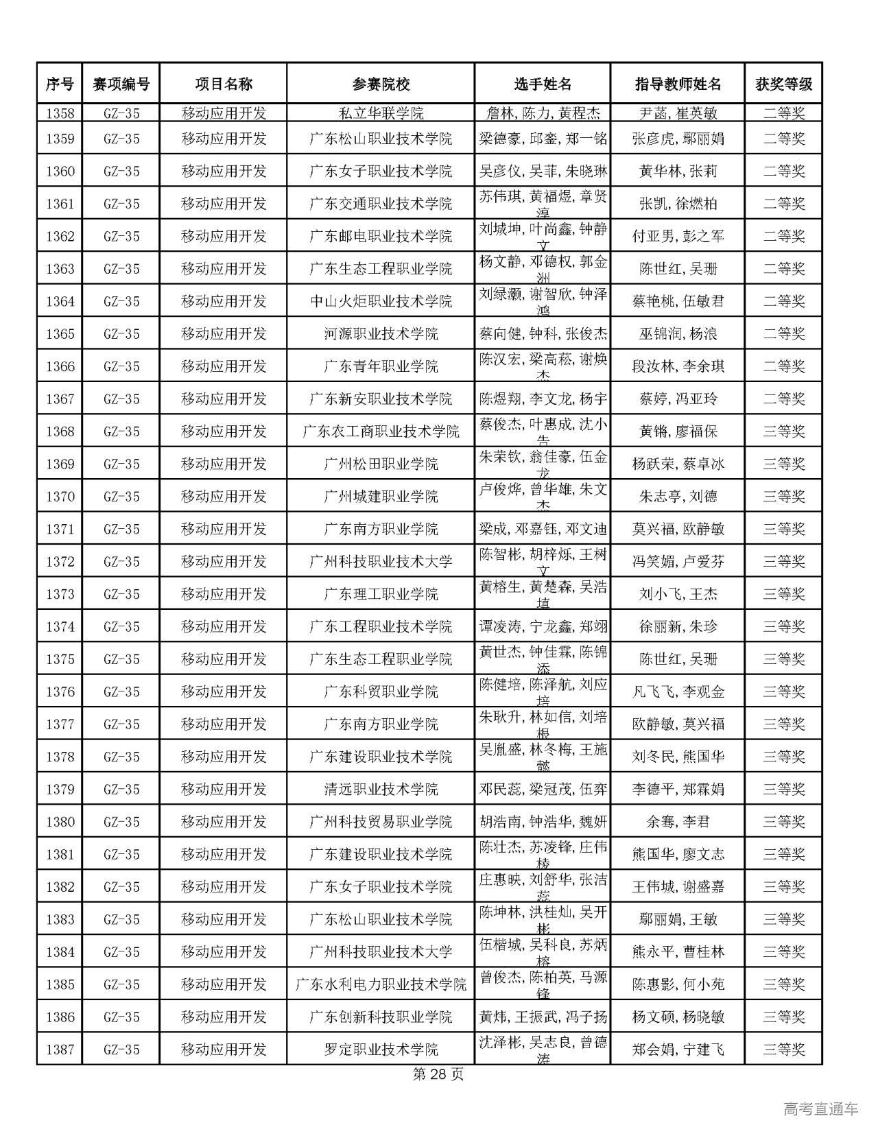
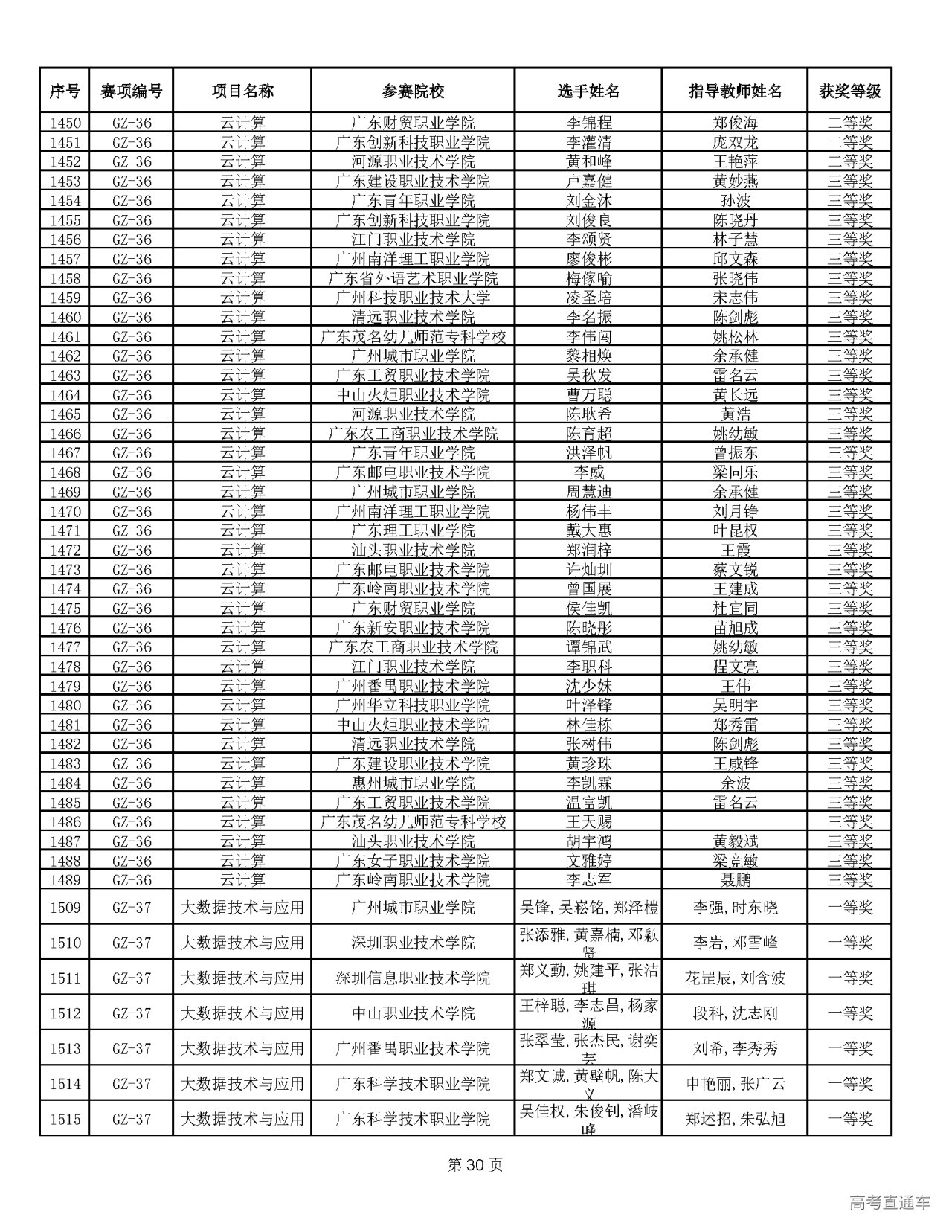
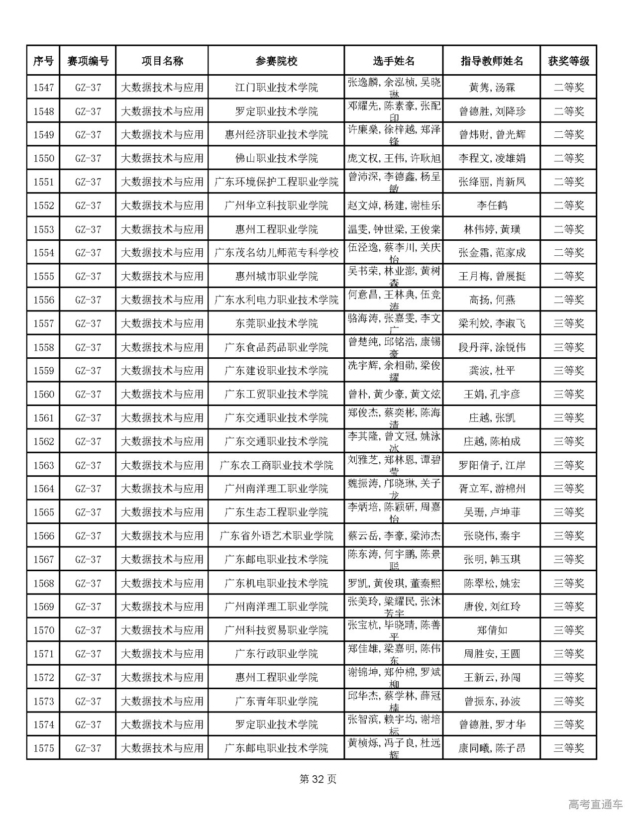
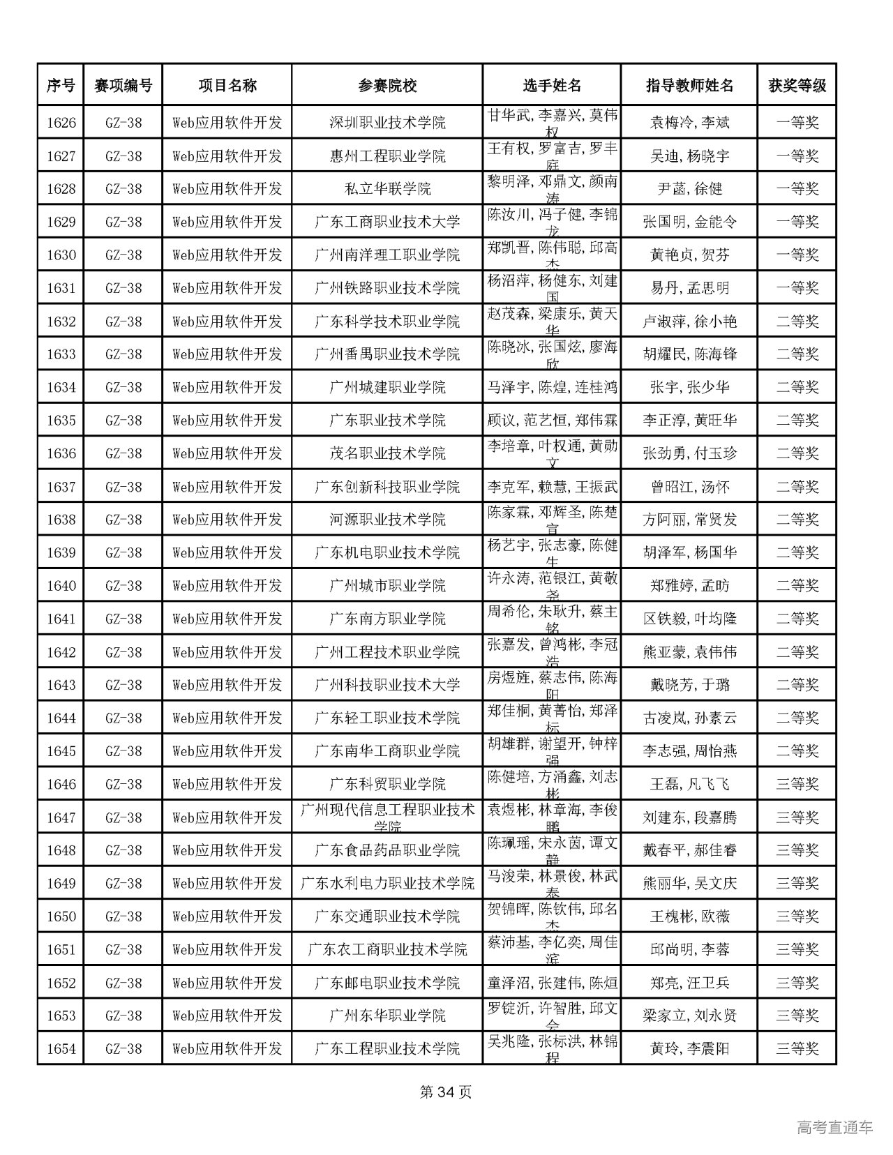
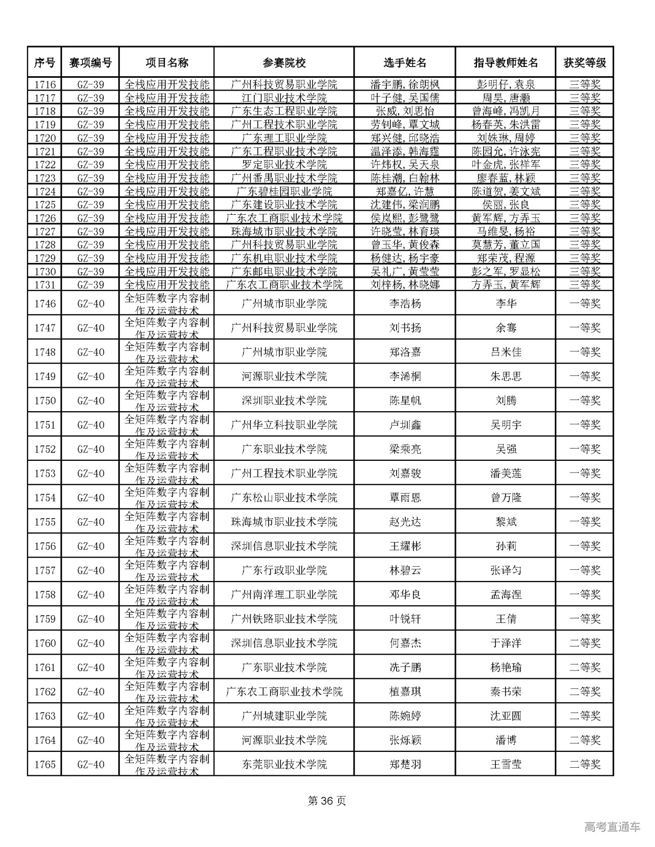
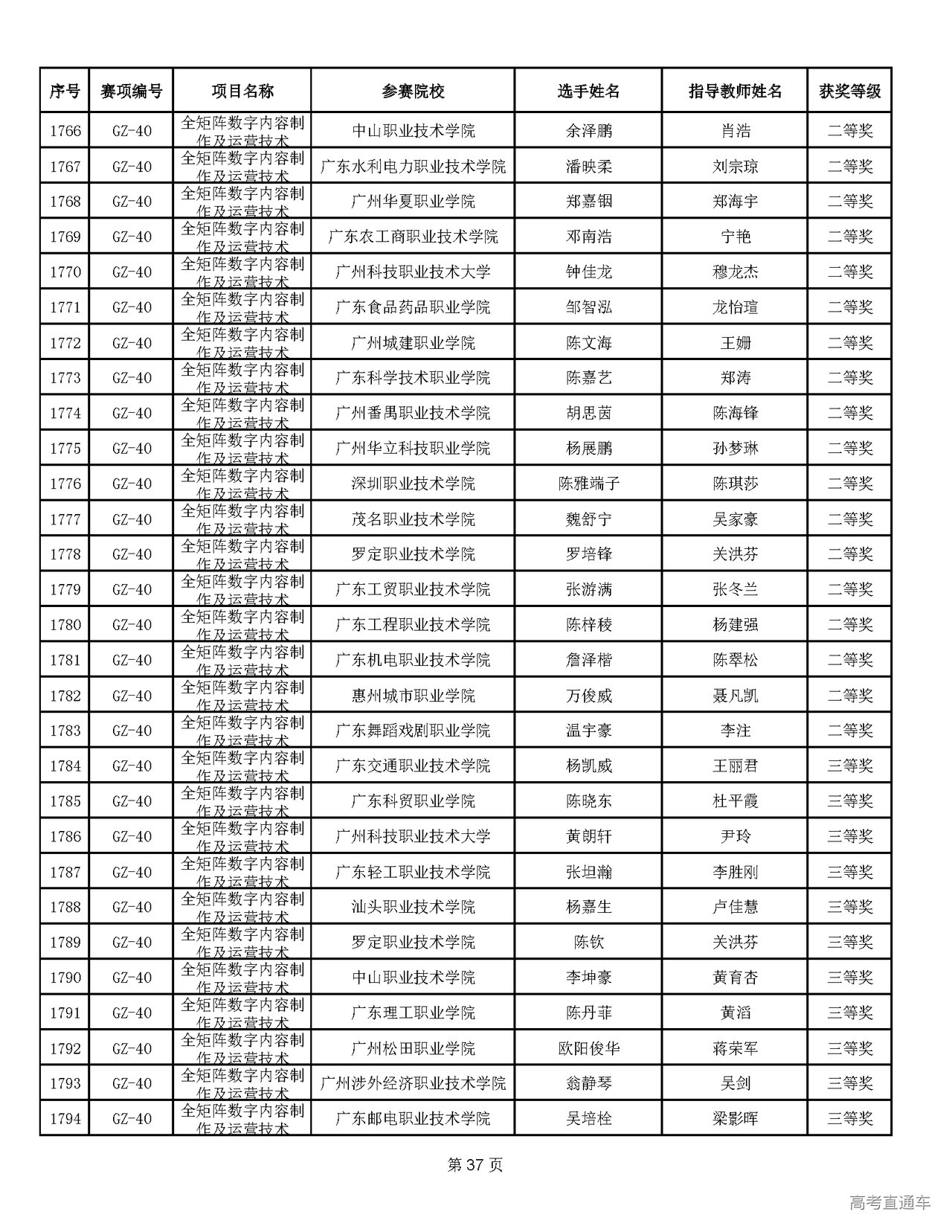
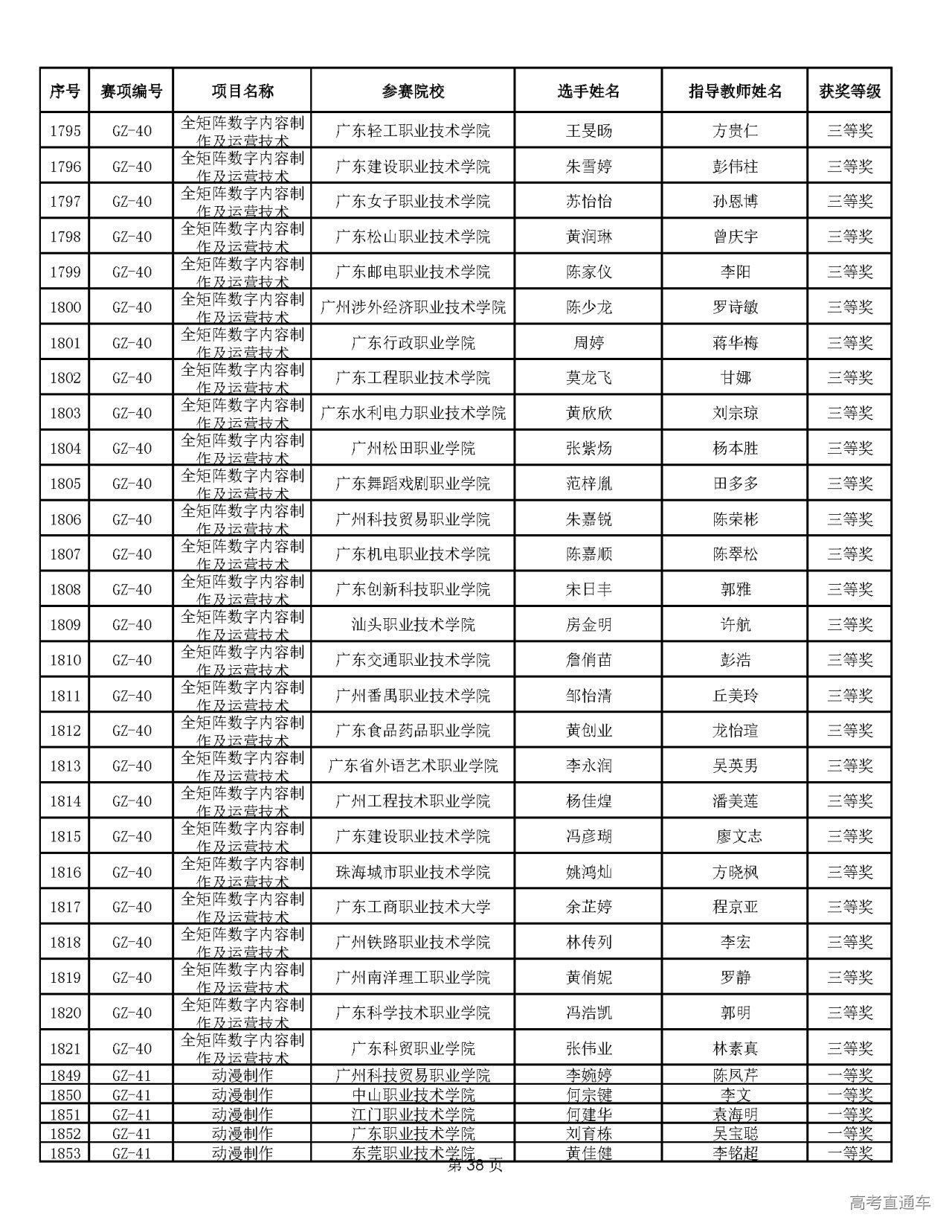
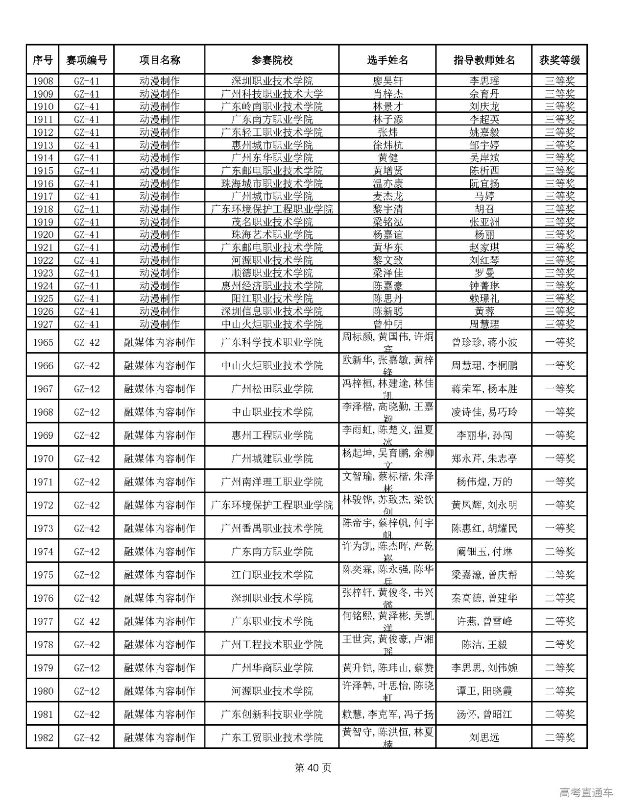
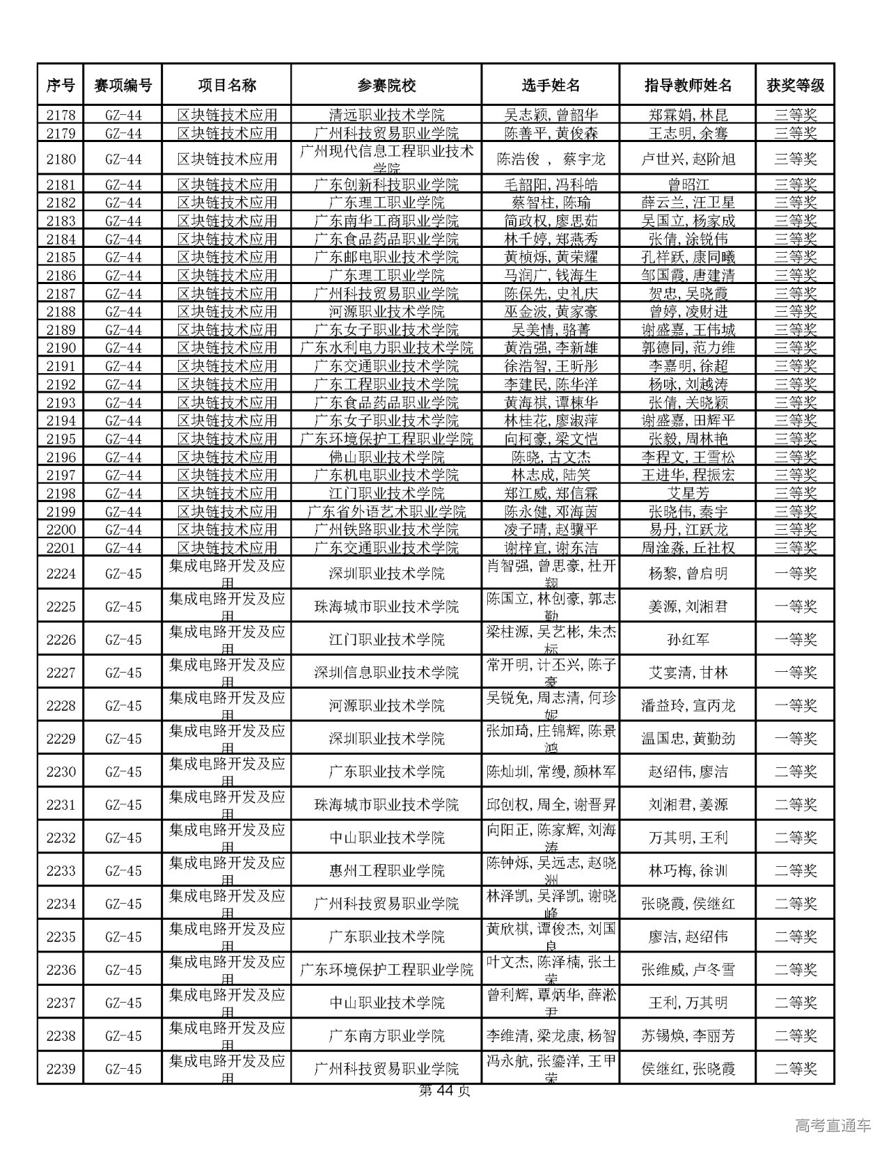
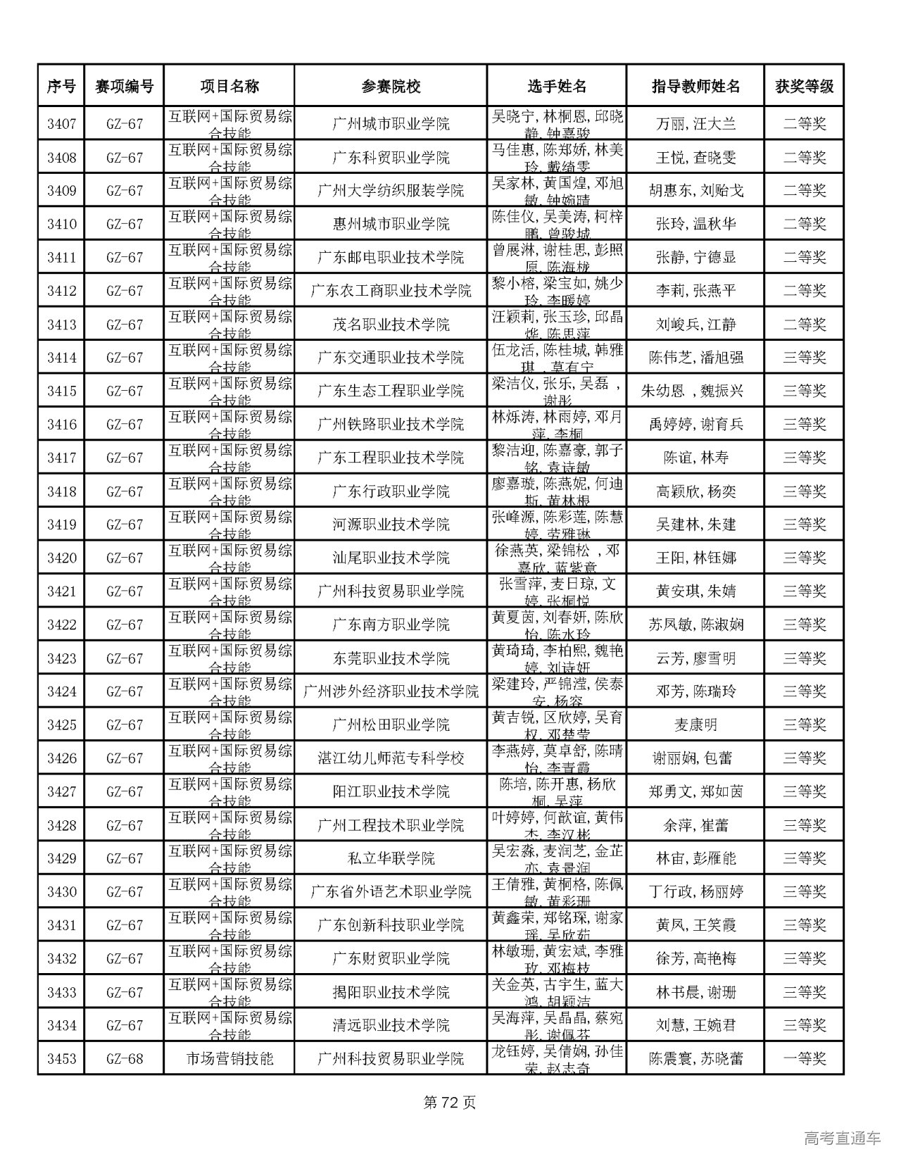
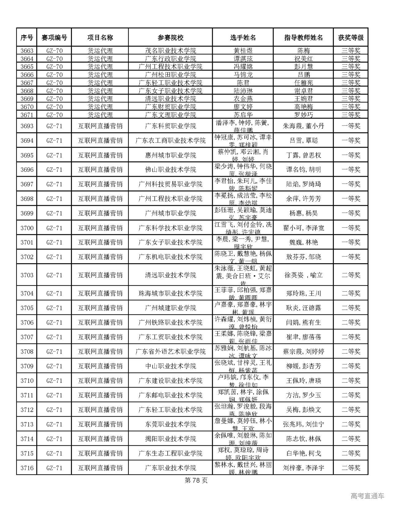
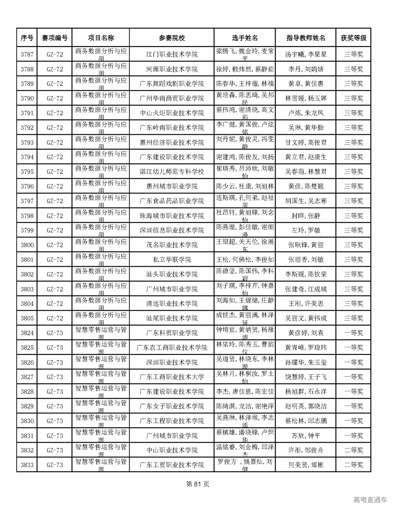
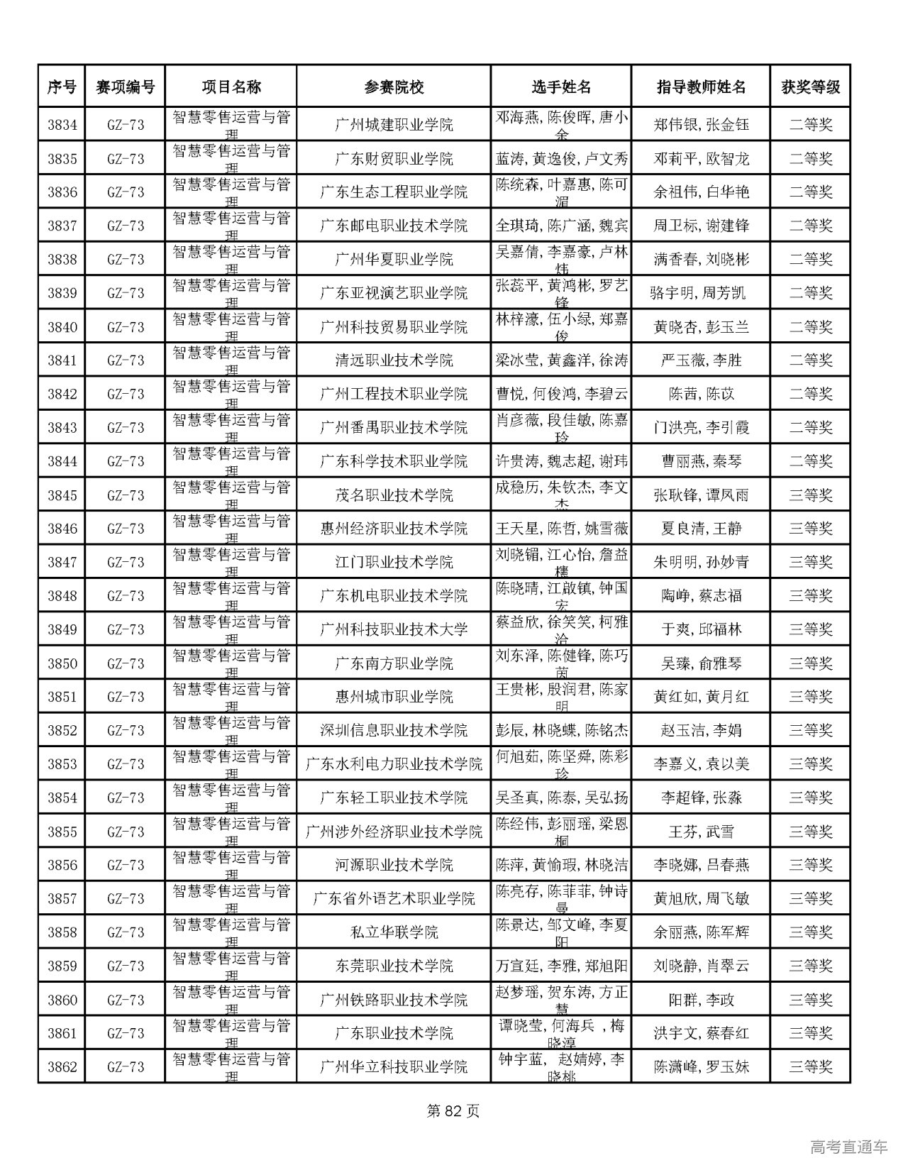
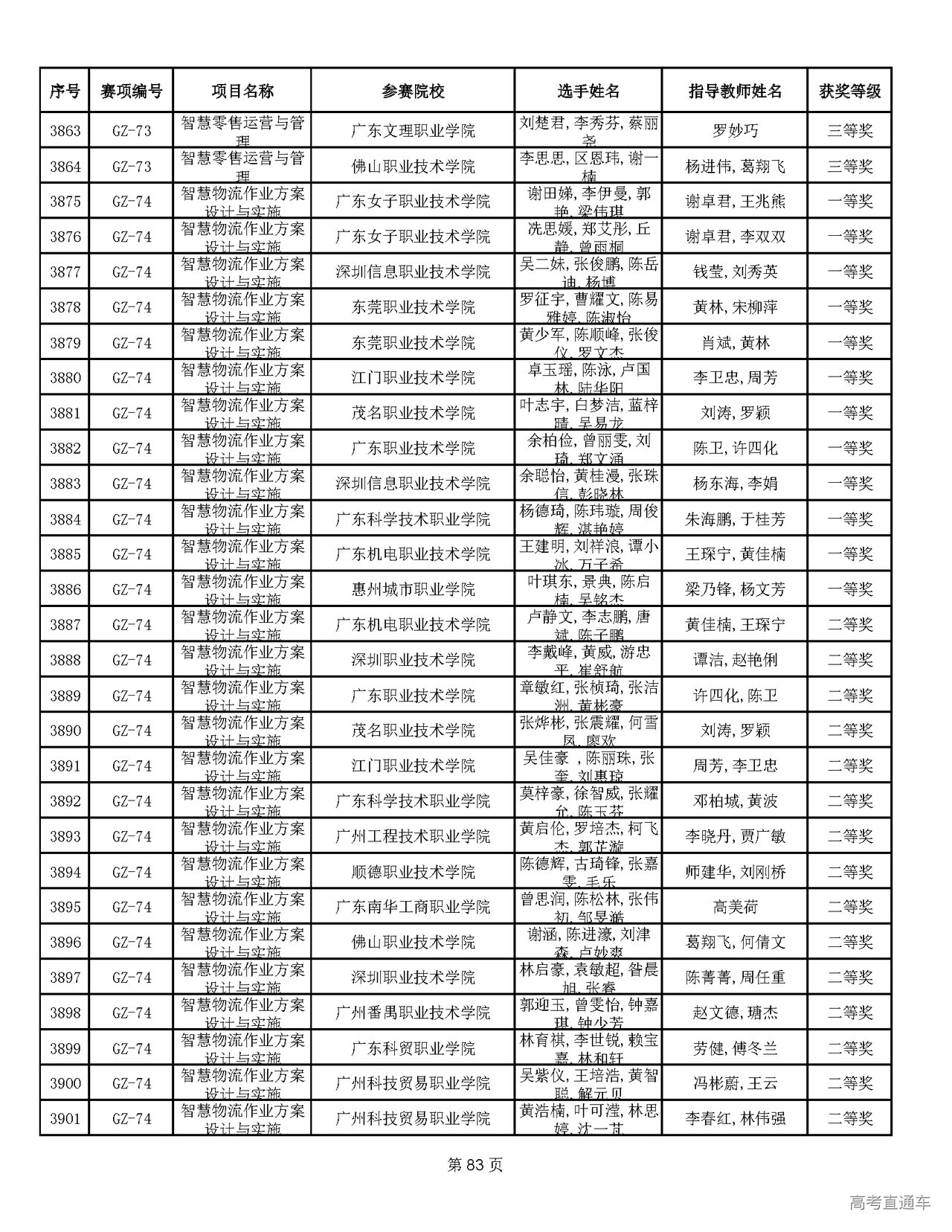
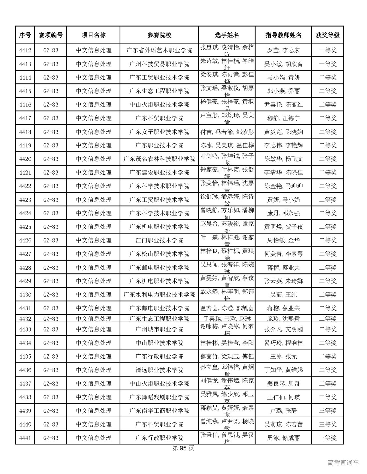
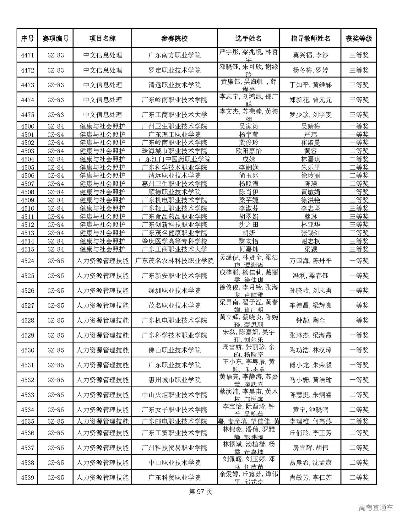
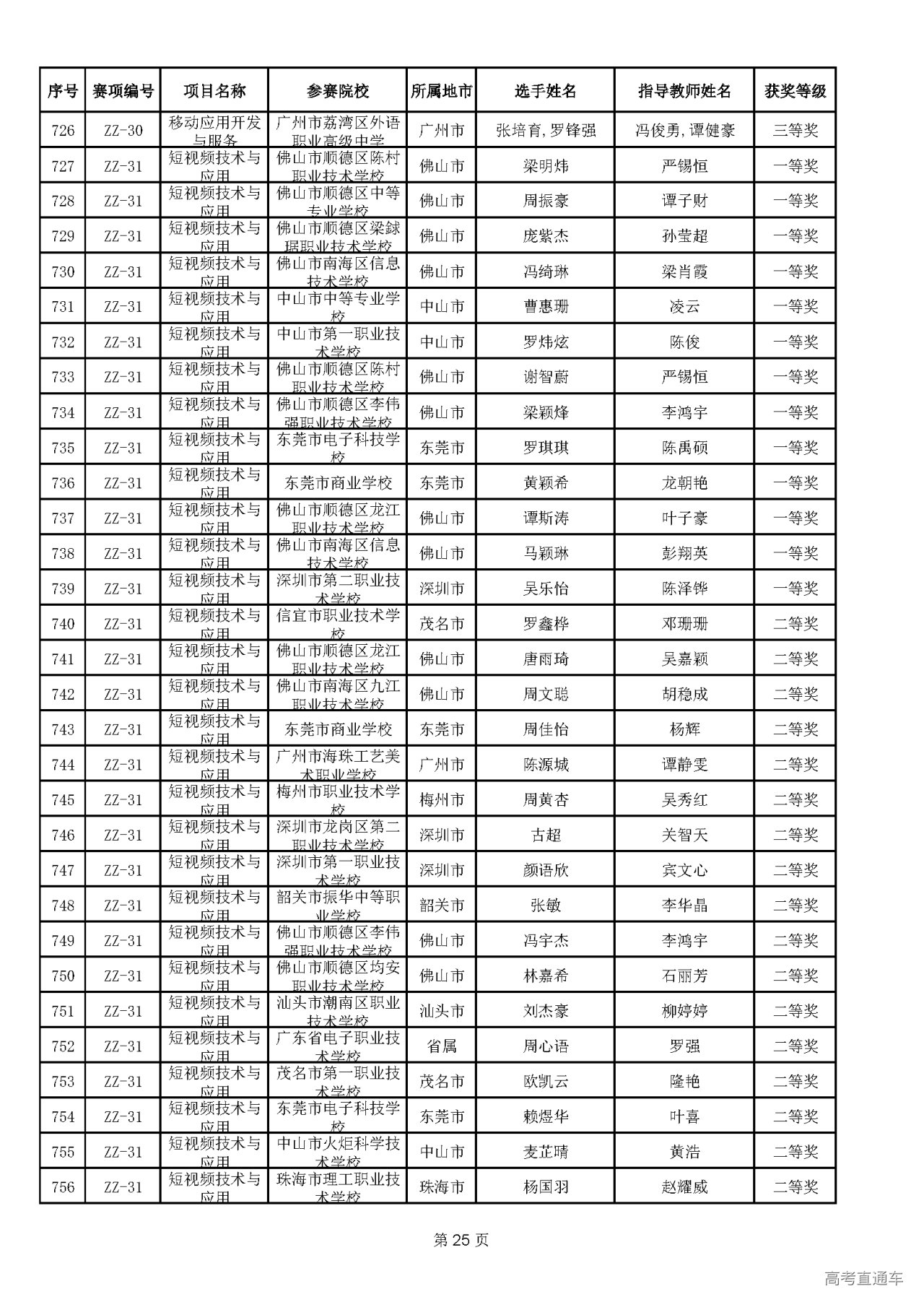
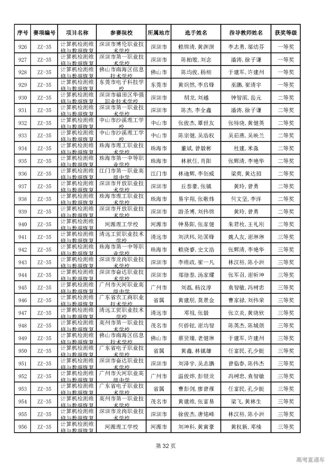
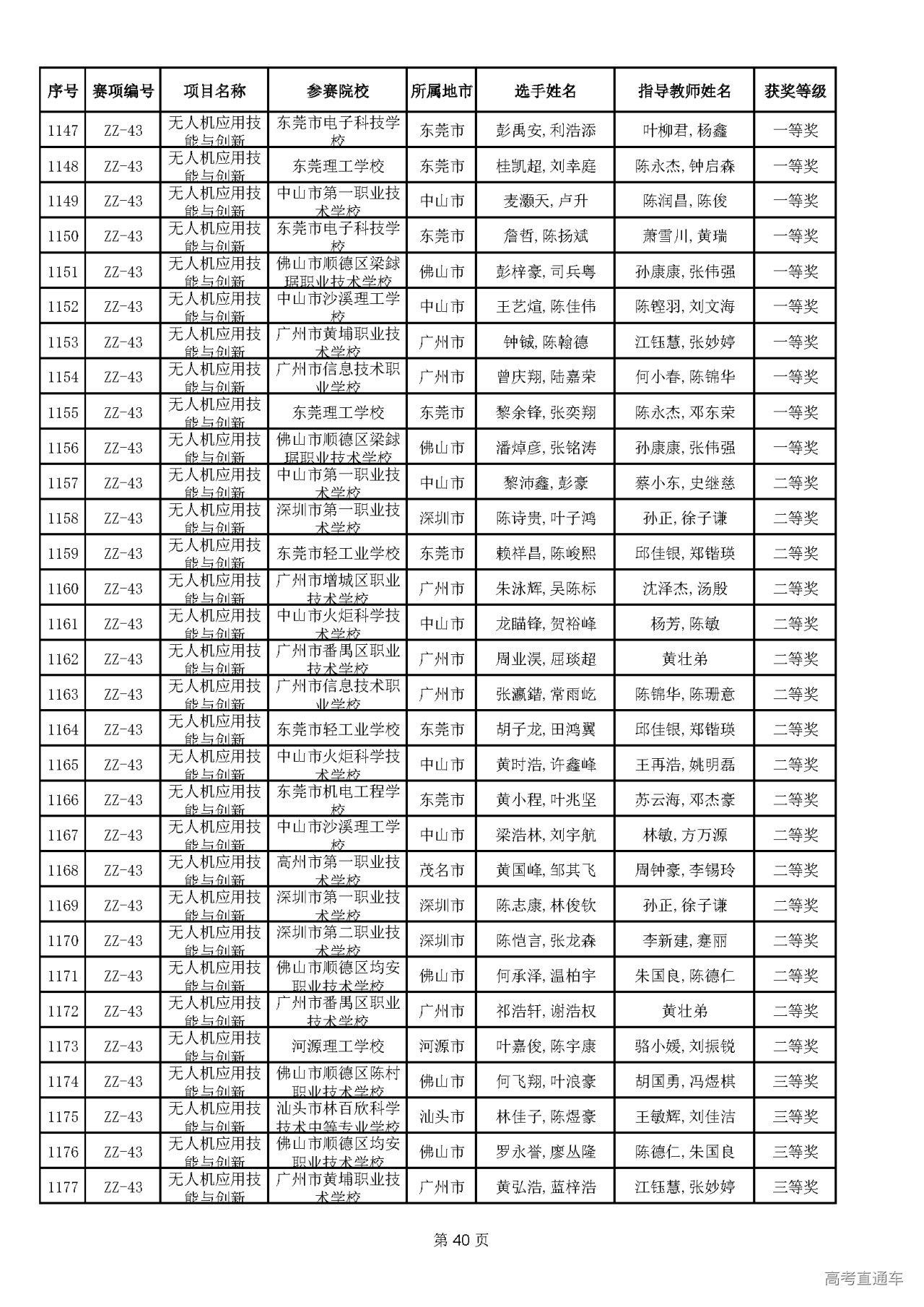
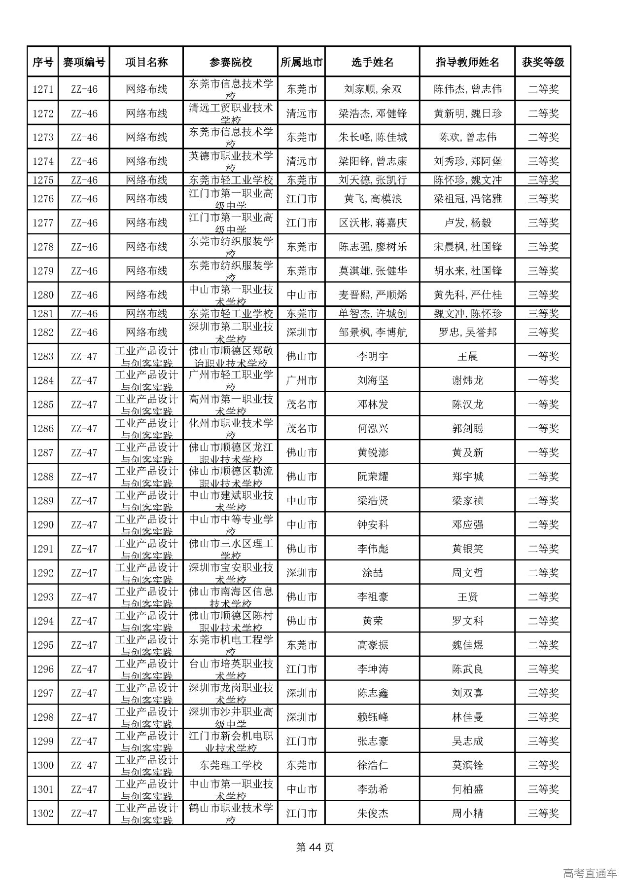
附件1:2021-2022年度广东省职业院校技能大赛拟获奖名单(高职组).xls
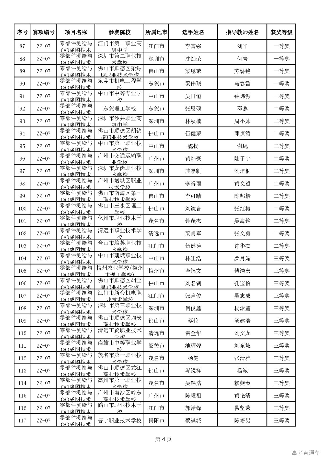
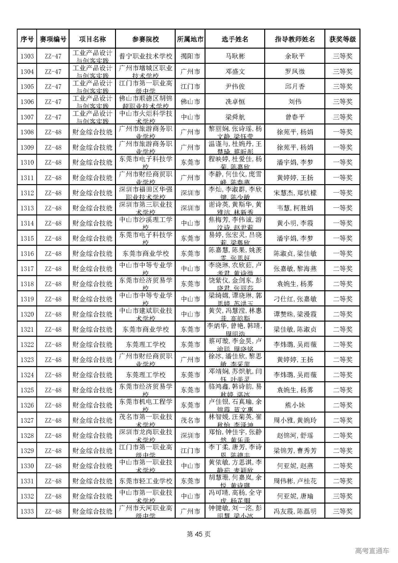
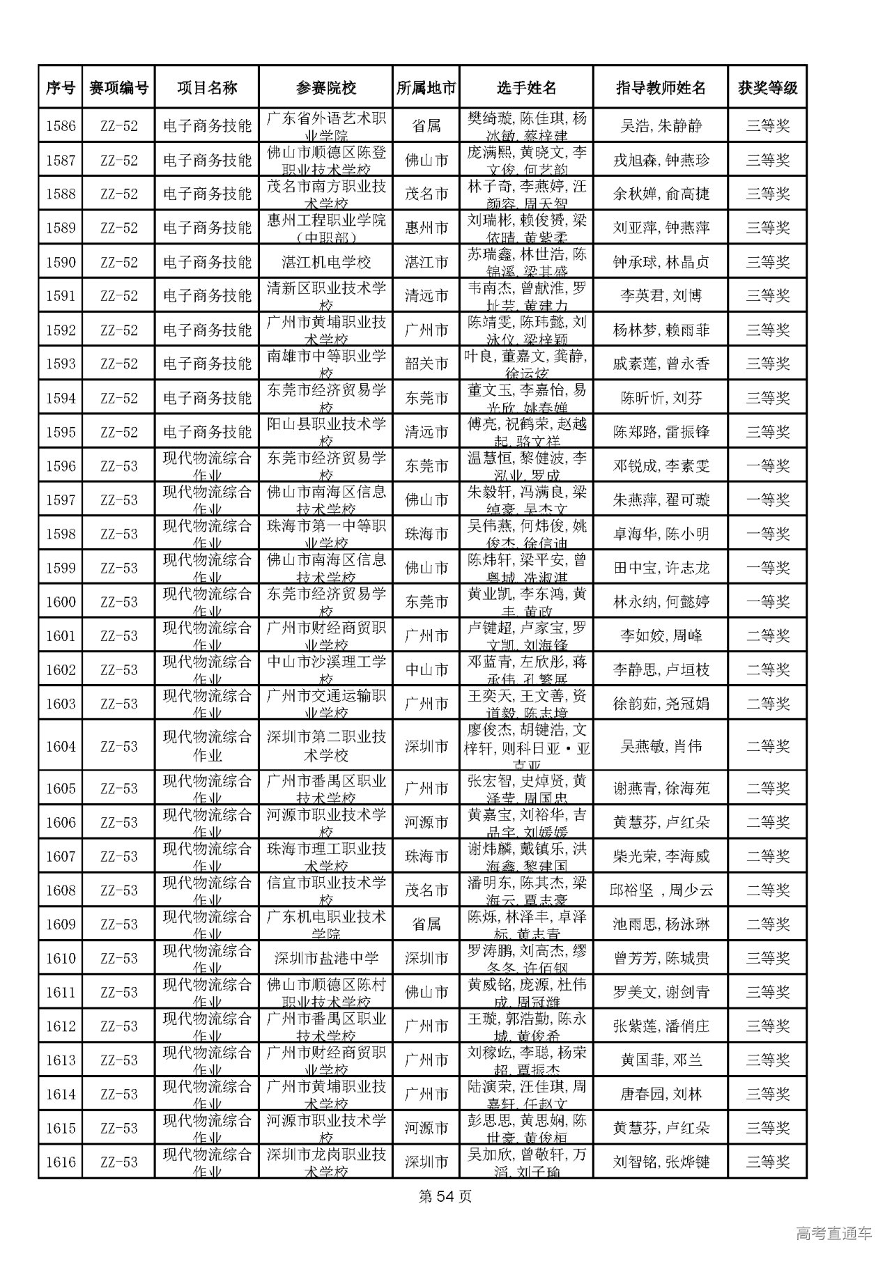
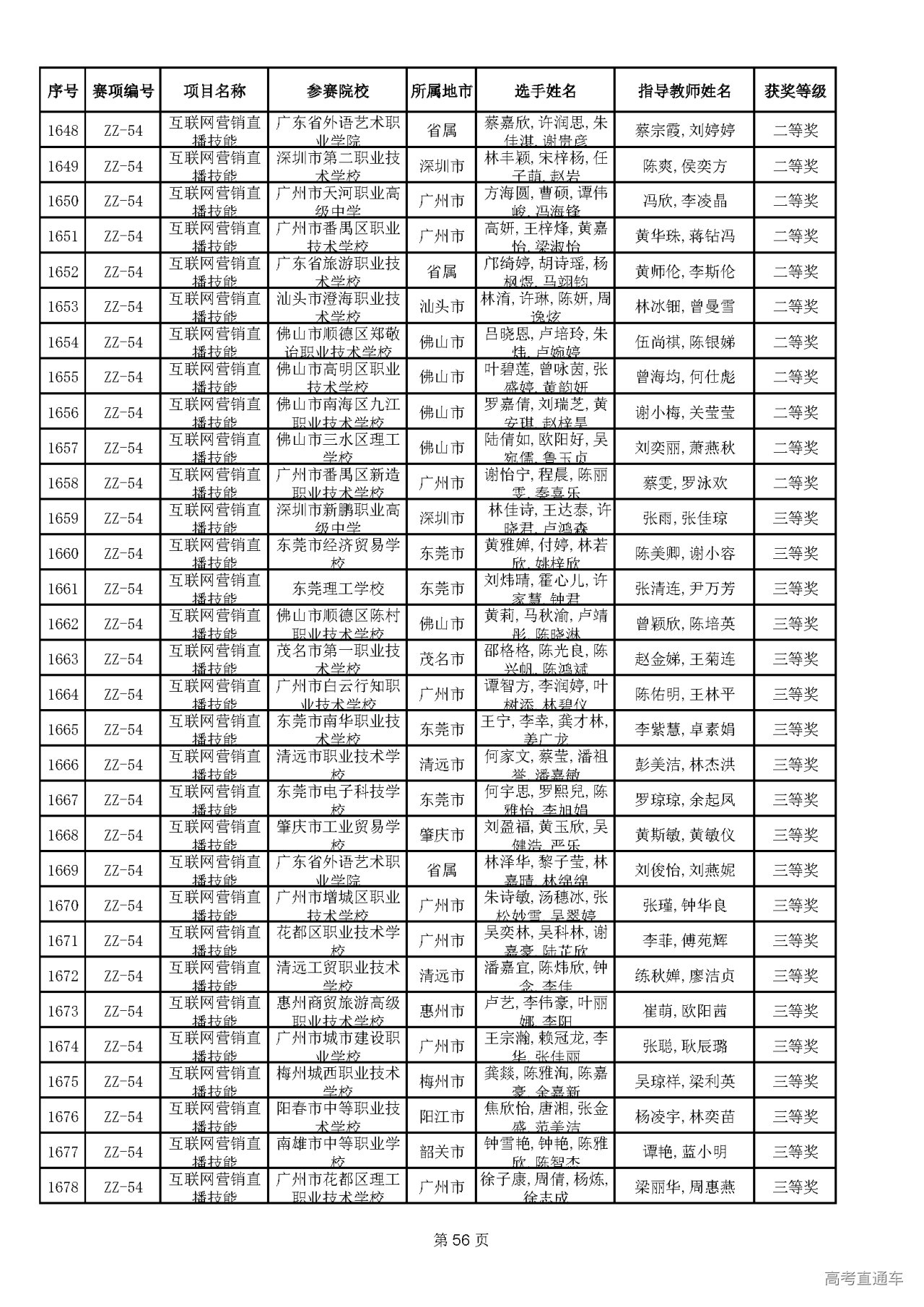
附件2:2021-2022年度广东省职业院校技能大赛拟获奖名单(中职组).xls
广东省教育厅
2022年6月13日





































































































































































