近日,2024年全国定向培养军士招生工作在各地陆续启动!据省征兵办官微消息称:今年共有25所地方高校首次面向广东省招生,预计6月中旬开展招生工作。
目前,成都航空职业技术学院已确定在广东招生20人,兵种为海军(飞机电子设备维修专业)、空军(无人机应用技术专业)、武警部队(通用航空器维修)。
据了解,今年共有48所地方高校面向全国31个省份招收定向培养军士23600人(含女军士217人)。与2023年相比,招生范围从17个省份扩大至31个,招生人数从23225人扩至23600人,增加了375人。
48所招收定向军士院校名单如下:
此前,高考直通车已经介绍了定向培养军士的政策、报考条件以及体检要求等相关信息(点击查看)。今年全部招生院校、专业、名额、报考流程、时间安排尚未公布,请持续关注高考直通车公众号,我们将第一时间推送最新消息。
想要报考提前批军校,第一步就是政审。目前广东2024年最新政审考核安排已出炉!6月12日17时前,各高中组织有报考意愿的考生填写政治考核表(附后),然后逐级报送、审核。
值得一提的是,今年放宽了考生的年龄限制,16周岁就可以报!(去年要求不低于17周岁)有意向的考生建议重点关注!
最后附上2024年军队招生通知全文:
关于做好2024年军队院校
招收普通高中毕业生政治考核工作的通知
为做好我省2024年军队院校招收普通高中毕业生政治考核工作,现将有关事项明确如下。
一、考核对象
政治考核对象为志愿报考军队院校的普通高中毕业生。基本条件:①参加2024年普通高等学校招生全国统一考试的普通高中毕业生(应届、往届均可);②未婚,年龄不低于16周岁、不超过20周岁(截至2024年8月31日);③高中阶段体质测试成绩及格以上。
二、考核内容和依据
政治考核主要考核考生本人政治思想表现,以及亲属的政治背景和违法犯罪等情况,按照《军队征集和招录人员政治考核规定》执行。
三、组织程序
政治考核由市级征兵办公室具体指导,考生高考报名地县级征兵办公室统一组织,同级公安机关具体实施。考生报考所在地教育部门、户籍所在地或经常居住地县级兵役机关配合做好相关工作。
(一)填写政治考核表格。6月12日17时前,普通高级中学组织有报考军队院校意愿的考生填写政治考核表(可登录广东省教育考试院门户网站、微信公众号下载打印或到高考报名学校领取,样表见附件1、填写说明见附件2),报送所在县(市、区,下同)招生办公室。参加2024年普通高等学校招生全国统一考试的普通高中毕业生(应届、往届均可)
(二)报送考核对象名单。6月14日17时前,县招生办公室将政治考核对象名单和政治考核表报送所在县征兵办公室。
(三)组织实施政治考核。6月25日前,县征兵办公室依据军队征集和招录人员政治考核有关规定,按照初步考核、联合考核、作出结论的步骤,完成政治考核。
(四)反馈政治考核情况。6月27日前,市征兵办公室汇总审核辖区考生政治考核情况报省军区招生工作办公室。
四、有关要求
政治考核是青年学生报考军队院校的首要环节,是军队院校招生工作的重要步骤,是军地相关单位的共同政治责任,事关考生的切身利益,事关军队的纯洁巩固。报考人员要按要求如实规范填写《政治考核表》,不得涂改,隐瞒不报,真实反映个人情况。各单位要站在国防和军队建设的高度,切实加强组织领导,精心筹划、严密组织,确保按时间节点完成考核任务。要把政治合格作为青年学生报考军队院校的首要条件,严格执行考核政策规定,认真落实考核责任制,坚持谁考核、谁签字、谁负责,从源头上严把政治关口。对考核过程中发现的违规违纪问题,将严肃追究当事人和单位领导责任。
附件:1.征集和招录人员政治考核表
2.政治考核表填写说明
附件1:征集和招录人员政治考核表
很多家长和考生看到政审表信息都犯了难,不知道如何填写。下面,高考直通车根据往年官方的样表,带来政审表填写说明、样表,供大家参考👇也请大家仔细阅读本文附件二《政治考核表填写说明》,若无遵照相关格式,或将导致政审不通过!
填写样表
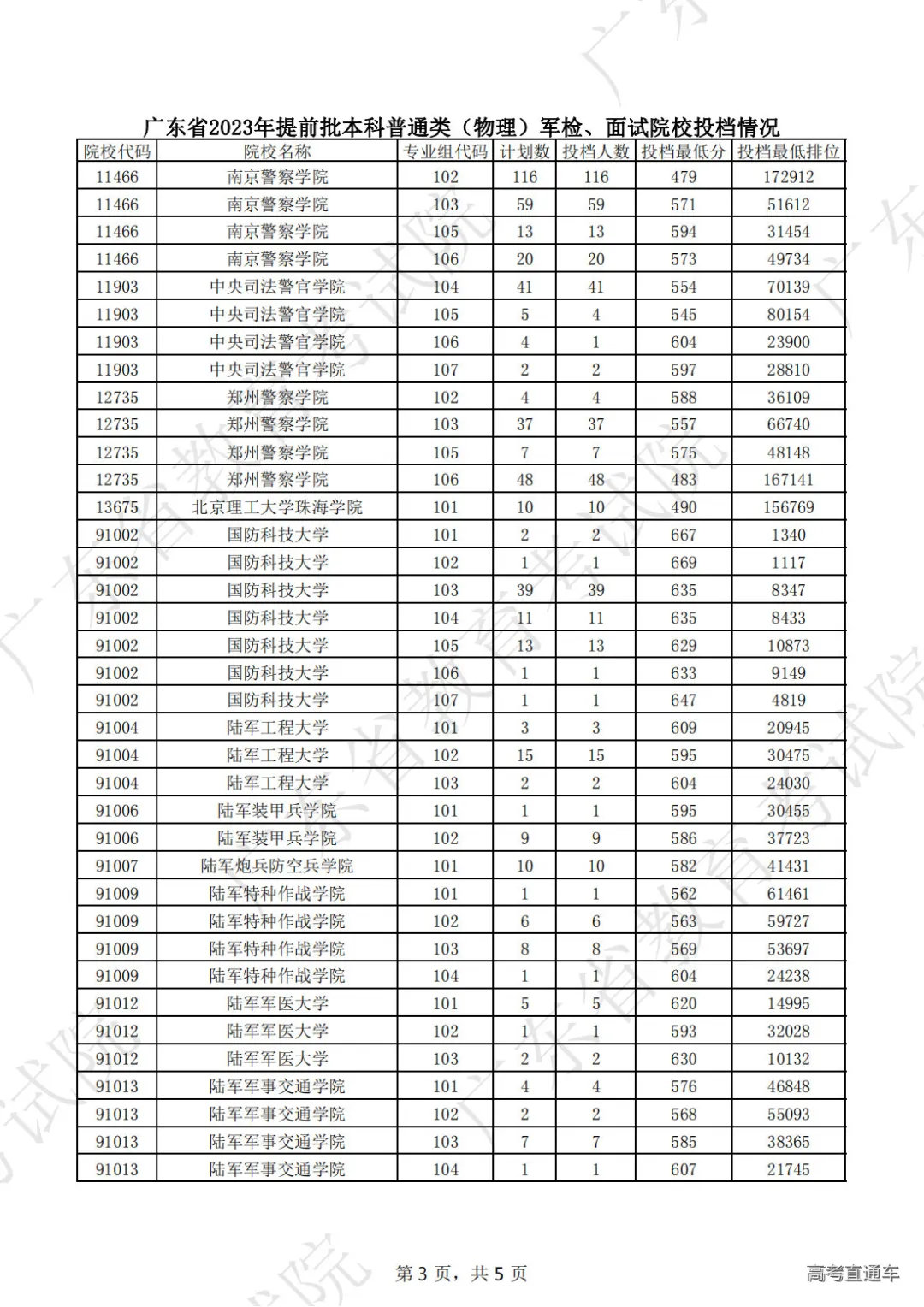
2023广东本科提前批军检(含公安专项)投档分数如下:
空军、海军招飞院校
历史组:
物理组:
军检、面试院校
历史组:
物理组(滑动浏览):










