【2月19日】来晋校考院校考场安排公告(山西工商学院考点)
关于调整长春工程学院、湖南工业大学集合地点的通知
各位考生:
为方便考生入场,现将参加2月18日长春工程学院和2月19日湖南工业大学美术类专业考试上午考生集合地点调整为学校田径运动场,请参加该校美术类专业的考生在考试当日早晨7:20集合。下午考试,考生自行入场。
2月19日校考院校考场及集合地点安排
发布日期:2019-02-16
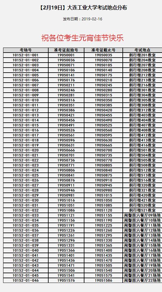
一、大连工业大学
考试地点:躬行楼 1—32考场
闻馨园餐厅 33—46考场
早晨考生集合地点:博学楼前(喷泉广场)
二、长春工业大学
考试地点:尚学楼 1—72考场
勤学楼 73—104考场
早晨考生集合地点:博学楼前(喷泉广场)
三、扬州大学
考试地点:博学楼 1—35考场
志学楼 36—49考场
好学楼 50—68考场
图书馆 69—76考场
早晨考生集合地点:博学楼前
四、湖南工业大学
考试地点:体育馆 1—54考场
学生活动中心 55—68考场
学前实验中心 69—77考场
早晨考生集合地点:田径运动场
【2月20日】来晋校考院校考场安排公告
(山西工商学院考点)
关于调整厦门理工学院集合地点的通知
发布日期:2019-02-18
各位考生:
为方便考生入场,现将参加2月20日厦门理工学院美术类专业考试上午考生集合地点调整为学校田径运动场,请参加该校美术类专业的考生在考试当日早晨7:20集合。下午考试,考生自行入场。
2月20日校考院校考场及集合地点安排
2月20日校考院校考场及集合地点安排
一、厦门理工学院
考试地点:体育馆 1—54考场
学生活动中心 55—68考场
好学楼 69—85考场
学前实验中心 86—96考场
早晨考生集合地点:田径运动场
二、玉林师范学院
考试地点:躬行楼 1—26考场
早晨考生集合地点:博学楼前(喷泉广场)
三、三明学院
考试地点:博学楼 1—35考场
志学楼 36—49考场
闻馨园餐厅 50—73考场
知行楼 74—81考场
早晨考生集合地点:博学楼前
四、长沙师范学院
考试地点:尚学楼 1—72考场
勤学楼 73—117考场
早晨考生集合地点:博学楼前(喷泉广场)
五、吉林师范大学
考试及集合地点:山西财经大学华商学院
关于考试期间坞城南路接送考生车辆停放的公告
山西工商学院考点
2019年省外院校在晋美术类专业考试将于2019年2月12日至24日在山西工商学院龙城校区及山西财经大学华商学院进行,为保证考生能够安全、按时到达考点,经与太原市公安局交警支队协商,现将有关事项公告如下:
一、因坞城南路考试期间车流量较大,建议考生及家长尽量乘坐公共交通工具,840路、870路、877路等多趟公交线路均可到达考点,在“工商学院站”下车即到。
二、所有考生上午应在考试开始前80分钟到达考点,并在规定的集合时间到指定地点集合,携带好身份证及准考证;下午应在考试开始前1小时到达考点,按时有序进入考场。
三、从坞城南路由北向南的考生车辆,到达工商学院校门口后考生下车,凭准考证进入校园,所驾车辆继续向前行驶至城西村路口(21站加油站)掉头行驶至龙城南街路段临时停车区域停车。
四、从坞城南路由南向北的考生车辆,到达工商学院校门口后考生下车,凭准考证进入校园,所驾车辆继续向前行驶至龙城南街路段临时停车区域停车;在山西财经大学华商学院考试的考生可在山西工商学院(龙城校区)下车,进入校园后按照路标指引到达山西财经大学华商学院。
五、所有考生通过路口时,要注意来往车辆,在确保安全的情况下走人行横道通过。
六、开车接、送考生的家长要留意考点周边的交通标志,提前做好准备,避免交通拥堵。
七、所有考生及接送考生车辆要服从交警指挥,考点周边,请按交警的疏导停放车辆,不得乱停乱放,堵塞交通。
八、考生家长、陪考人员及社会车辆不得进入校区(龙城校区及山西财经大学华商学院),均在龙城南街路段停车区域等侯。
山西工商学院考点
2019年2月9日
山西工商学院位置说明及交通方式
山西工商学院龙城校区位于太原市南部城区。考点位置为:太原市小店区坞城南路99号。
1.太原火车站距离我校约13.6千米,乘坐870路公交车,在工商学院站下车,出租车费约30元。
2.太原火车南站距离我校约5.8千米,火车南站乘坐51路公交车,在财经大学站下车,步行至坞城路南中环街口站,换乘877路(内环)、870路公交车,在工商学院站下车,出粗车费约15元。
3.太原武宿飞机场距离我校约5km,无直达公交车,车程约15分钟,可乘坐机场巴士至山西大学下车,转乘换乘877路(内环)、870路公交车,在工商学院站下车;或201路专线公交车至太原火车南站,参考上述第2条乘坐公交车。出租车费约15-20元。
请广大考生选择适合交通工具到校考试。
2019年省外高校在晋艺术类专业考试日程安排
(山西工商学院考点)
1.考点实行网上报名和网上缴费模式。
2.报名和网上缴费网址http://sxyk.cdn.titd.net。
3.考生可登录上述网址进行报名并查看具体报名考试流程及要求。
4.报名缴费起止时间:2019年1月18日至1月23日 ,系统开放时间为每天早6:00-晚23:30,其余时间为系统维护时间,不接受考生报名
5.有关院校招生简章及专业要求等请登录院校网址查看和咨询。
6.参加美术学类校考的院校各专业均要求考生山西省统考专业成绩合格方可报名考试。
7.如因部分学校报考人数过多,单日考生数量超过了考点最大容纳量,部分学校考试地点将安排在山西财经大学华商学院(山西省太原市坞城南路79号)或太原慈善职业技术学校(山西省太原市小店区龙城大街39号)进行考试,请考生及时关注山西招生考试网和山西工商学院网上报名公告。












