特别提醒:
1.护理学专业本科在读期间不得转专业。
2.各专业学费以广东省物价局最后批复同意为准。
3.暨南大学伯明翰大学联合学院在各省以独立代码或单独批次招生,详见联合学院招生简章。
特别提醒
1.护理学专业本科在读期间不得转专业。
2.各专业学费以广东省物价局最后批复同意为准。
3.暨南大学伯明翰大学联合学院在各省以独立代码或单独批次招生,详见联合学院招生简章。
4.艺术类专业设有高考文化分录取最低控制分数线,请详细阅读艺术类专业招生简章 。
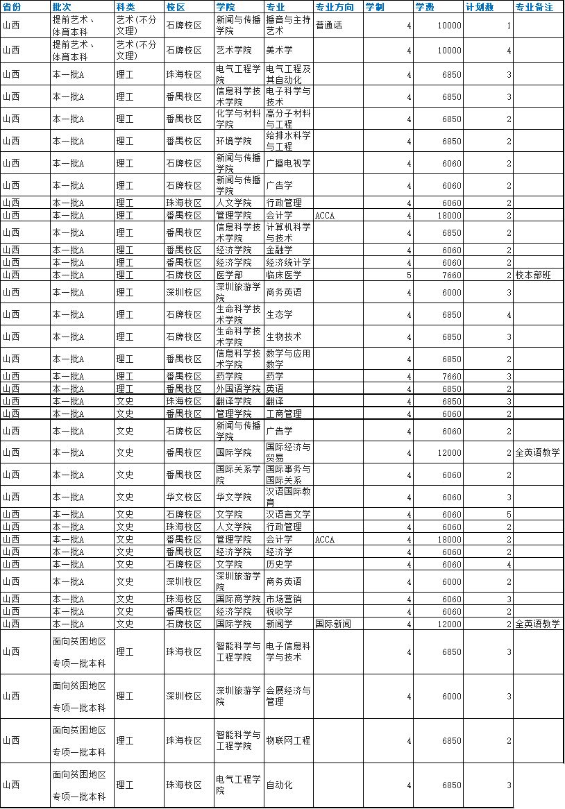
我校在各省招生计划
以各省招考部门最终公布的数据为准
各省份2019年招生计划
及近年录取分数概览
(点击可查看大图)
安徽


北京


福建


甘肃


广东




广西


贵州


海南


河北


河南


黑龙江


湖北


湖南


吉林


江苏


江西


辽宁


内蒙古


宁夏


青海


山东


山西


陕西


上海


四川


天津


新疆


云南


浙江


重庆


