根据实际录取进度,2025年普通高校招生高职专科批征集志愿工作定于8月8日下午开始进行。现将有关事项通知如下:
一、时间安排
考生填报、确认开始时间为8月8日12:00,考生填报、确认截止时间为8月9日12:00。
二、成绩要求
(一)艺术体育类
文化成绩:不低于180分。
专业成绩:不低于尚有空余计划类别省级统考专业专科录取最低控制分数线。
(二)普通类
不低于180分。
三、填报资格
自愿放弃录取、已投档、已录取的考生不参加本次征集志愿。填报征集志愿的考生,应认真阅读招生院校招生章程,结合自身条件进行填报。
四、投档原则
本次征集志愿投档按照艺术体育类高职专科批、普通类高职专科批的顺序依次进行。被投档至艺术体育类高职专科批的考生,不再参加普通类高职专科批的投档。
五、注意事项
(一)考生应在确认完成后,再次登录志愿填报系统查看并核对所填志愿。志愿确认后如需修改,需在填报、确认截止时间前由考生本人向报名确认点提出申请,经确认点取消确认,再由考生取消提交自行修改。修改完毕后须再次进行提交、确认。
(二)考生应妥善安排志愿填报时间,避免在填报、确认截止时间临近时进行志愿填报和确认。
(三)考生操作流程及其他注意事项参见云南省招考频道“2025年普通高校招生网上填报志愿考生须知”。
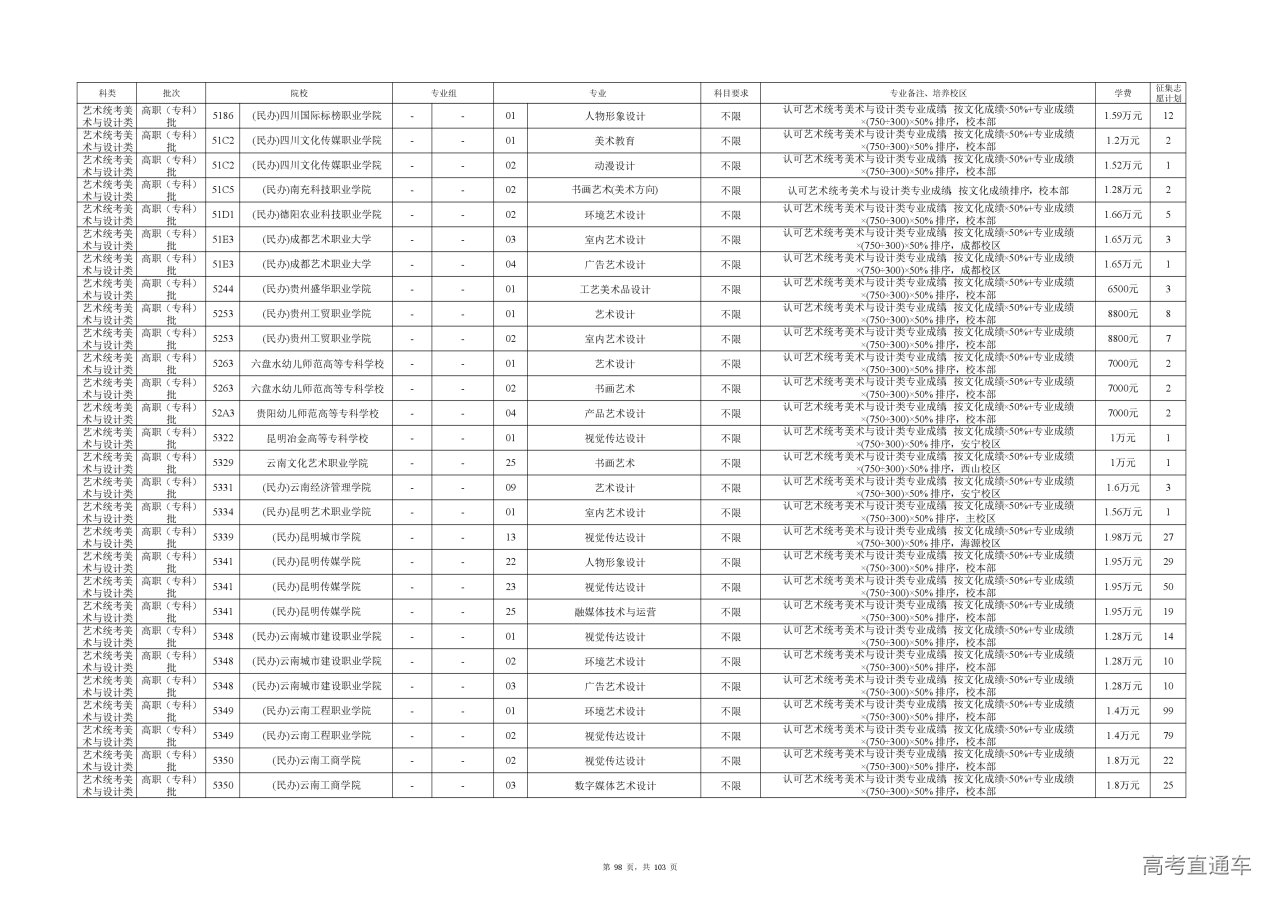
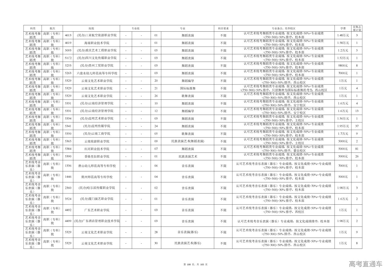
附件(点击查看或下载):云南省2025年高职专科批征集志愿计划信息.xlsx







































































































