2024年度泰晤士高等教育
亚洲大学排名正式揭晓:
中国内地高校在前十名中占据了五席


2024年度泰晤士高等教育亚洲大学排名在马来西亚双威大学举行的亚洲大学峰会上隆重揭晓!本次排名中国内地高校表现亮眼,在前十名中占据了五席。
快来查看2024年泰晤士高等教育亚洲大学排名与亚洲高校表现吧!
中国内地高校在泰晤士高等教育亚洲大学排名中继续保持强劲上升势头,又有一所高校进入亚洲前十名,从去年的 4 所增加到今年的 5 所,再创历史新高。
中国内地的高校在研究成果上展现出尤为出色的表现,清华大学在 2024 年泰晤士高等教育亚洲大学排名中位居榜首,并连续第六年稳居第一。 排名第二的是北京大学,也连续第五年排名第二。
今年,中国内地排名前十的高校均保持或提升了排名:上海交通大学从去年的并列第九名跃升至第七名,复旦大学从去年的并列第九名上升至第八名。浙江大学从去年的第 12 名升至今年的第九名。

(若转载任何泰晤士高等教育排名相关图片或表格请注明出处,并保留完整图文信息。请勿更改、裁剪或部分截取图片或是表格图内的内容。)
THE Asia University Rankings 2024
中国内地高校表现

(若转载任何泰晤士高等教育排名相关图片或表格请注明出处,并保留完整图文信息。请勿更改、裁剪或部分截取图片或是表格图内的内容。)
今年共有86所中国内地高校上榜,在2023年和2024年上榜的82所高校中,有59所高校的排名有所上升,仅有19所排名下降。平均上升了 26.7 位。哈尔滨工业大学从去年的亚洲第55名大幅上升至今年的第24名。
中国内地高校的进步主要归功于高校自身的提升表现和排名方法的优化。
作为衡量平均研究质量的指标,中国内地高校的领域加权的引用影响力中位数提高了 7.9 个百分点。
研究质量综合得分中位数提高了 16.6 分,其中除领域加权的引用影响力外,还包括新引入的研究实力、卓越研究和研究影响力等指标。
泰晤士高等教育
首席全球事务官
菲尔·巴蒂
(Phil Baty)
评论道
"中国内地高校在泰晤士高等教育亚洲大学排名中的不断进步令人瞩目,绝大多数高校的排名都有所提升。
中国内地高校在原创性和前沿性研究方面展现出卓越的表现,提升了其在国际上的声誉和影响力。
随着中国政府最近宣布打算大幅增加在研究和科技方面的投入,我们很有可能在未来几年看到中国内地的高校继续在排名中更上一层楼。”
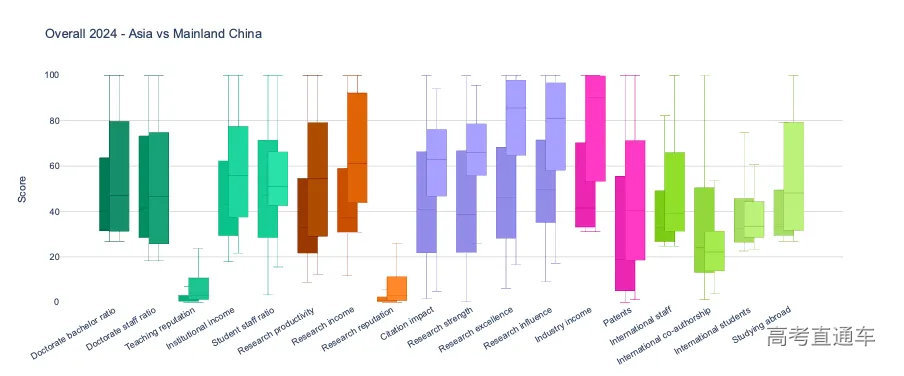
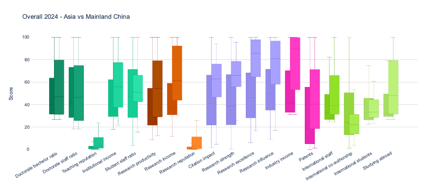
中国内地在大多数指标上都优于亚洲平均水平。在国际学生比例方面,中国内地与该地区的平均水平相当,而在国际合著比例方面,中国内地的得分则低于平均水平。

(若转载任何泰晤士高等教育排名相关图片或表格请注明出处,并保留完整图文信息。请勿更改、裁剪或部分截取图片或是表格图内的内容。)
THE Asia University Rankings 2024
亚洲大学排名上榜高校

(若转载任何泰晤士高等教育排名相关图片或表格请注明出处,并保留完整图文信息。请勿更改、裁剪或部分截取图片或是表格图内的内容。)
此次排名为第 12 版泰晤士高等教育亚洲大学排名。
本次排名中日本共有 119 所高校上榜,位居榜首,其次是印度共有91 所、中国内地共有86 所、土耳其共有75 所以及伊朗共有 73 所。
与去年相比,入榜高校从 669 所增至 739 所,增加了 70 所,高校来自亚洲的31 个国家/地区,另有 388 所大学被列为未上榜参与院校(Reporter)*。本次许多新入榜排名的高校来自于西亚或南亚。
THE Asia University Rankings 2024
亚洲大学排名方法论
亚洲大学排名的研究方法论与世界大学排名的框架相同,但权重经过了特别调整,以反映亚洲院校的优先事项。
泰晤士高等教育修订并改进了其 2024 年世界大学排名的方法,增加了与研究质量和专利相关的新指标,从而突出了大学在研究方面的表现,这些表现以前并不完全可见。
点击下图查看完整排名方法论与指标简介:

(若转载任何泰晤士高等教育排名相关图片或表格请注明出处,并保留完整图文信息。请勿更改、裁剪或部分截取图片或是表格图内的内容。)
THE Asia University Rankings 2024
2024年泰晤士高等教育亚洲大学排名前200名榜单




(若转载任何泰晤士高等教育排名相关图片或表格请注明出处,并保留完整图文信息。请勿更改、裁剪或部分截取图片或是表格图内的内容。)
扫描以上二维码查看完整排名榜单

