根据上海市教育考试院《关于印发<2024年上海市普通高校艺术类专业报名考试实施办法>的通知》(沪教考院高招〔2023〕19号)的文件要求,经审定,2024年上海市普通高校招生艺术类专业统考合格线如下:
播音与主持类:合格分数线为总分不低于180分。
音乐类-音乐教育方向:合格分数线为总分不低于180分。
音乐类-音乐表演方向:合格分数线为总分不低于180分。
表(导)演类-戏剧影视表演方向: 合格分数线为总分不低于180分。
表(导)演类-戏剧影视导演方向: 合格分数线为总分不低于180分。
表(导)演类-服装表演方向: 合格分数线为总分不低于180分。
舞蹈类:合格分数线为总分不低于180分。
书法类:合格分数线为总分不低于180分。
美术与设计类:本科合格分数线为总分不低于180分,专科合格分数线为总分不低于165分。
取得专业统考合格证的考生可报考统考涉及的普通高校相关专业,报考时须关注相关院校的报考要求。经教育部批准的部分校考院校的艺术类校考本科专业可面向统考合格生源组织专业校考。
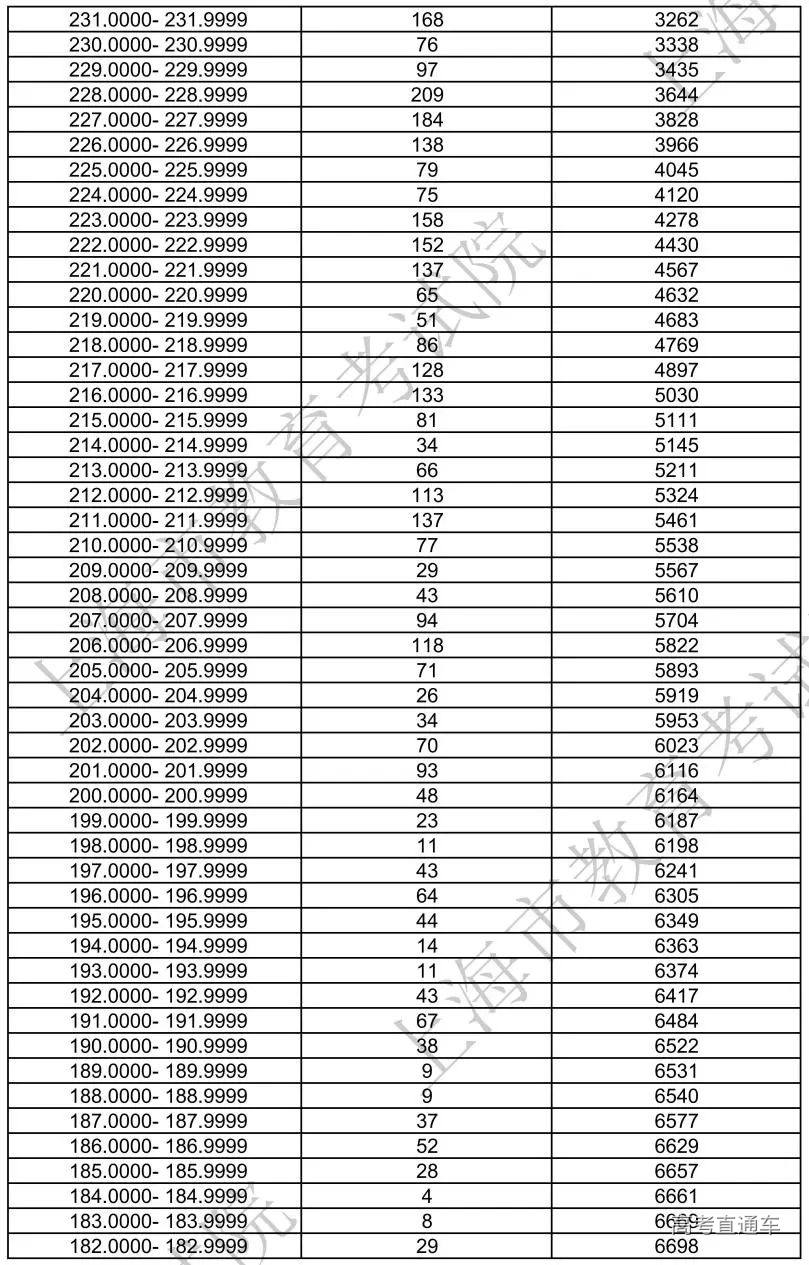
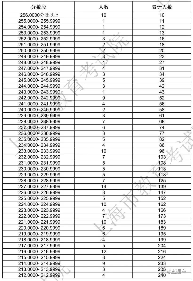
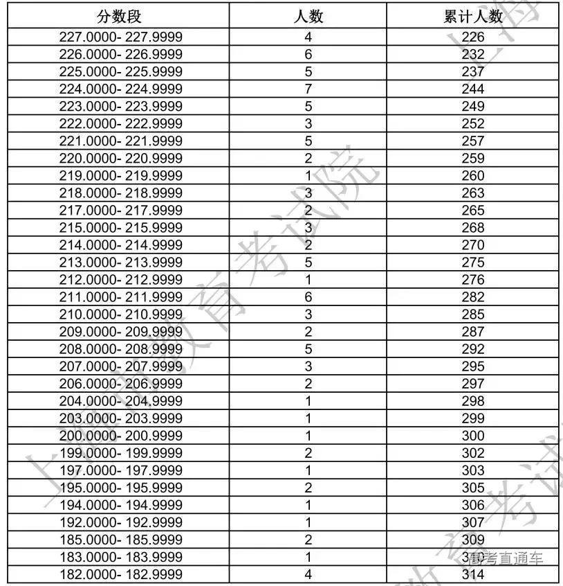
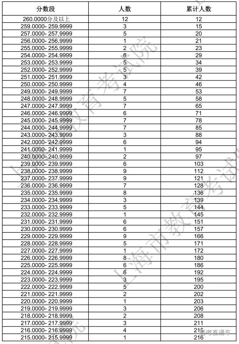
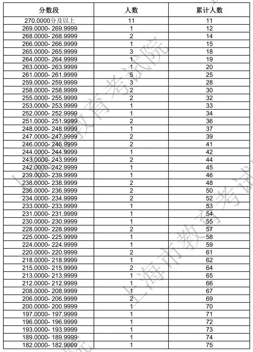
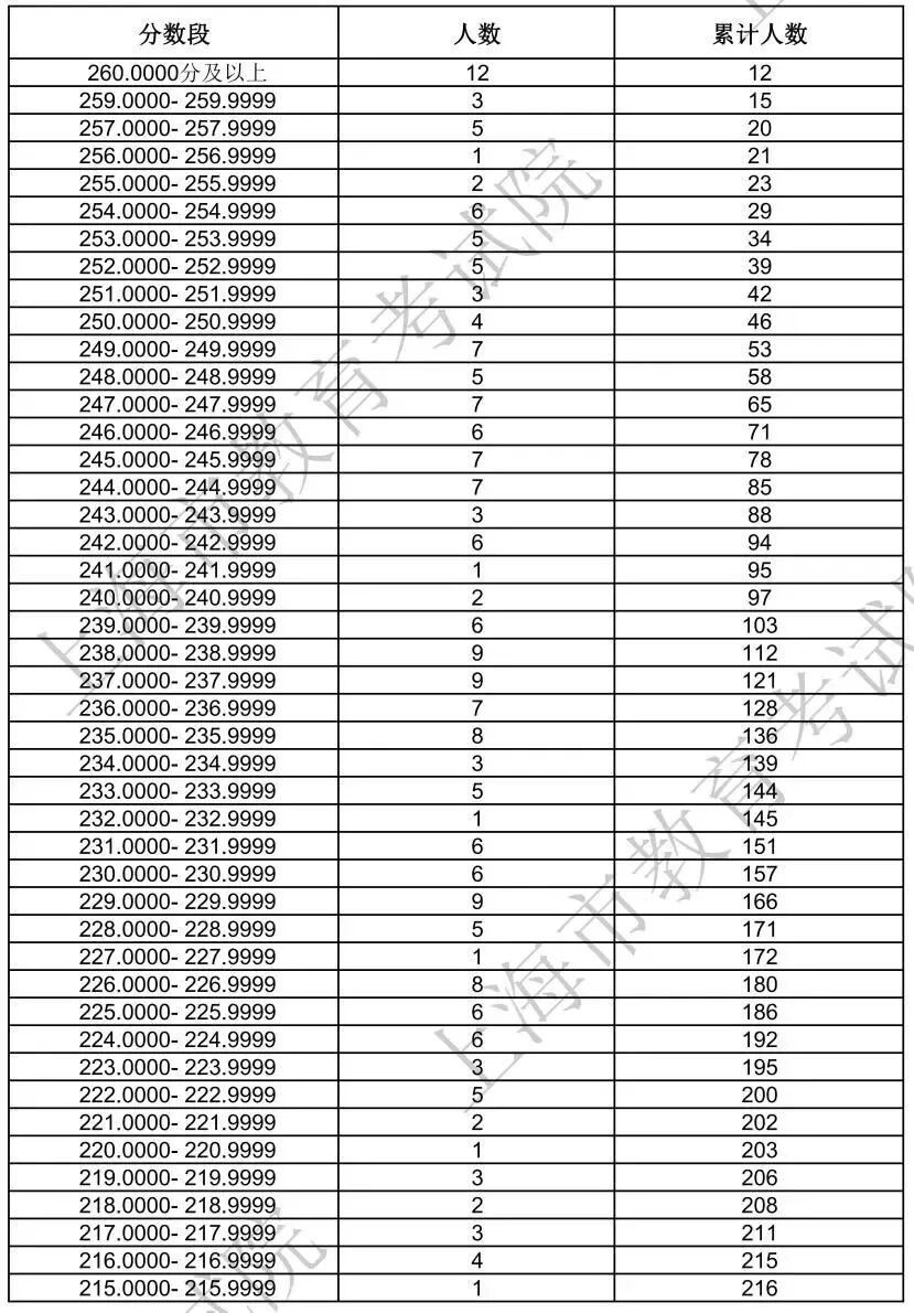
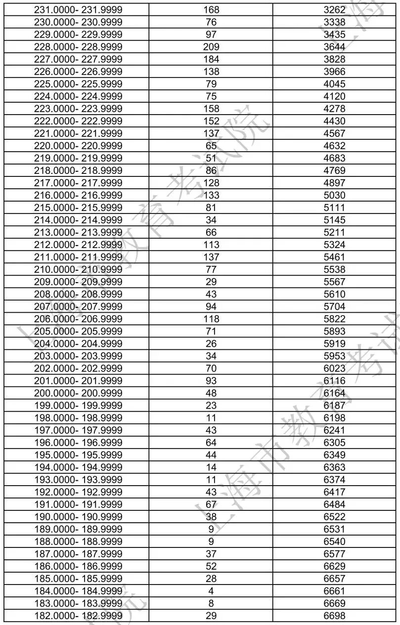
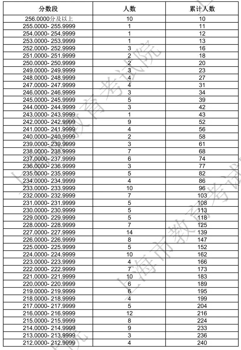
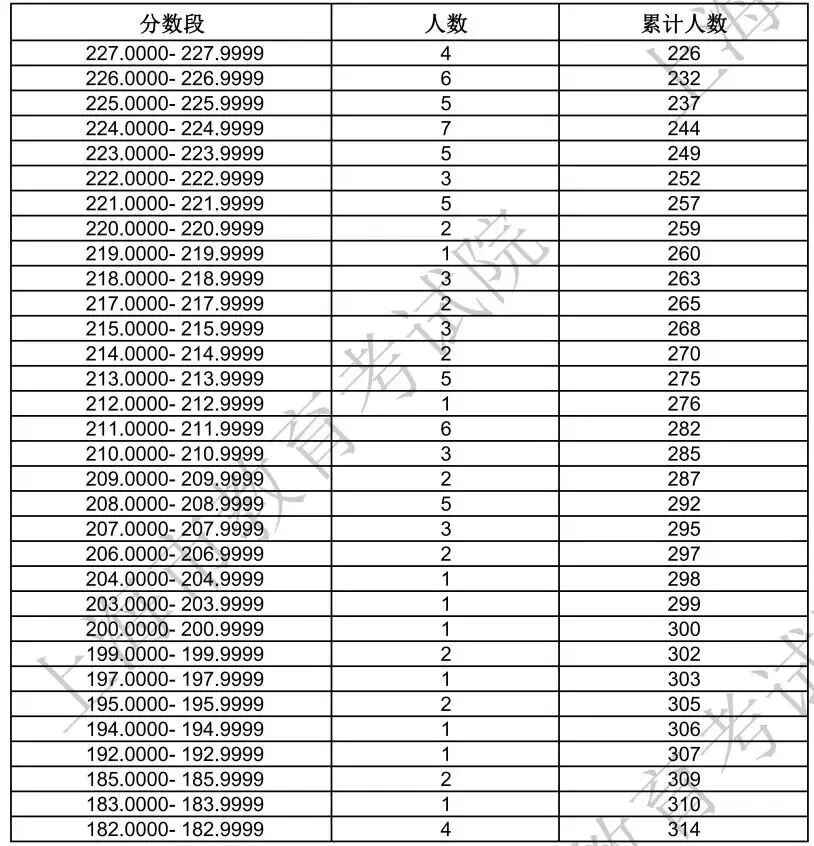
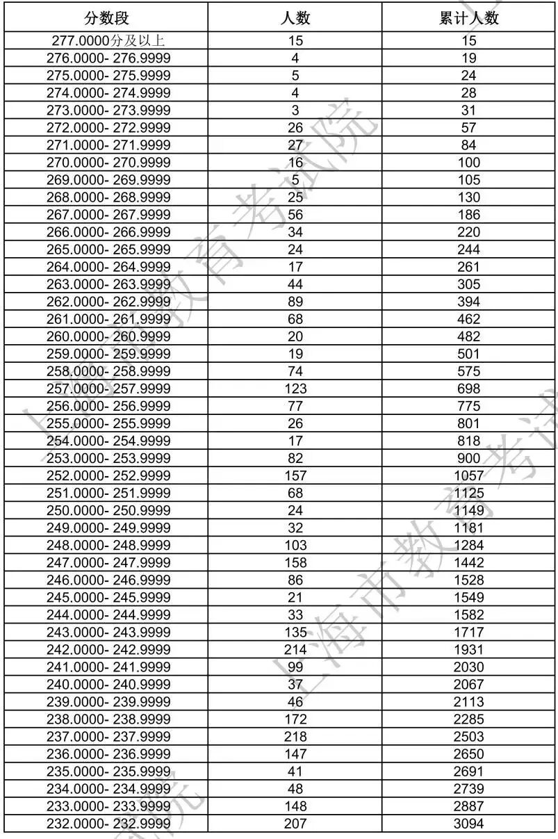
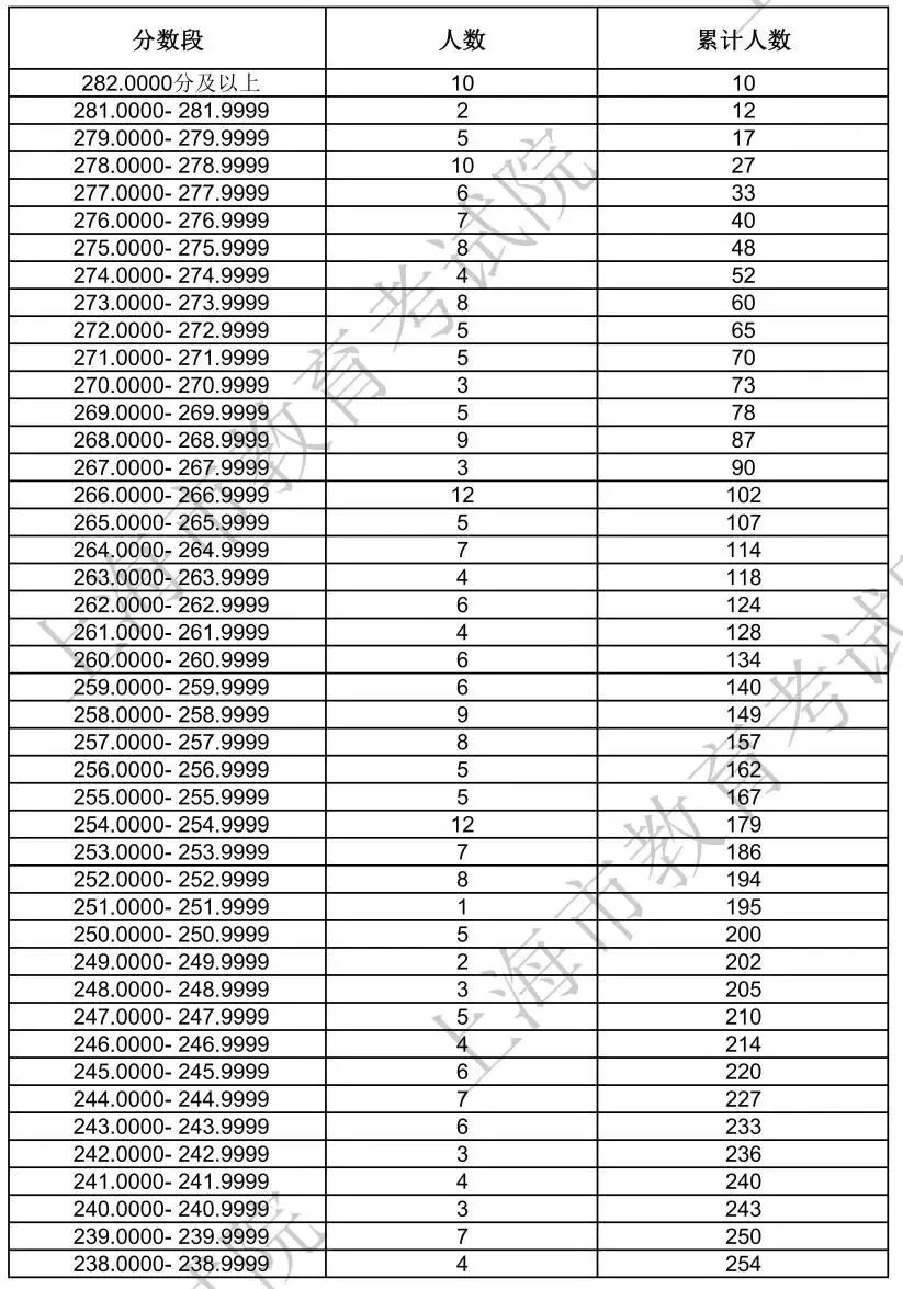
各专业统考合格考生成绩分布表如下↓
美术与设计类 ……
播音与主持类 ……
音乐类-音乐教育类 ……
音乐类-音乐表演类-器乐方向 ……
音乐类-音乐表演类-声乐方向 ……
表(导)演类-戏剧影视表演方向 ……
表(导)演类-戏剧影视导演方向 ……
表(导)演类-服装表演方向 ……
舞蹈类 ……
书法类 ……
附件:
一、2024年上海市普通高校招生艺术类专业统考合格考生成绩分布表
4.音乐类-音乐表演类-器乐方向合格考生(含参加音乐类-音乐教育类专业统考且音乐表演类—器乐合格考生)成绩分布表
5.音乐类-音乐表演类-声乐方向合格考生(含参加音乐类-音乐教育类专业统考且音乐表演类—声乐合格考生)成绩分布表
二、2024年上海市普通高校招生艺术类专业统考合格名单
4.音乐类-音乐表演类-器乐方向专业统考(含参加音乐类-音乐教育类专业统考且音乐表演类—器乐合格考生)合格名单
5.音乐类-音乐表演类-声乐方向专业统考(含参加音乐类-音乐教育类专业统考且音乐表演类—声乐合格考生)合格名单











