各位考生:
云南省2021年高职扩招志愿填报工作即将开始,现将有关事项通告如下,请仔细阅读。
一、时间安排
考生填报开始时间为10月12日9:00,填报截止时间为10月14日16:00,确认截止时间为10月14日17:00。
二、填报资格
通过高职扩招报名资格审核且2021年普通高考、三校生省统考各录取阶段未被录取的考生均可参加志愿填报。拟填报志愿的考生,应认真阅读院校高职扩招招生章程,结合自身条件进行填报。
高职扩招按照“六类人群”和“往届生”两个科类进行志愿填报。通过审核的退役军人、下岗工人、农民工、高素质农民、基层农技人员和灵活就业人员可填报“六类人群”科类志愿。其他考生可填报“往届生”科类志愿。
三、志愿设置及填报办法
(一)高职扩招志愿填报实行网上填报、现场确认,招生计划通过云南省招考频道发布。考生须在规定时间内登录2021年云南省普通高等学校招生填报志愿系统(https://gkzy.ynzs.cn,以下简称志愿填报系统)进行志愿填报。
考生可填报不超过5个院校志愿,每个院校设6个专业志愿和1个“专业服从院校调剂标志”,考生可根据意愿自由组合志愿的顺序。
(二)考生必须在填报截止时间前完成填报并提交,在确认截止时间前到报名确认点进行现场签字确认,完成确认的考生志愿方为有效志愿。已参加2021年高考报名,重复进行高职扩招报名的考生,报名确认点为2021年高考报名时选择的报名确认点。报名确认点可登录志愿填报系统查看。
(三)填报志愿操作流程可参照云南省招考频道“2021年普通高校招生网上填报志愿考生须知”(https://www.ynzs.cn/html/content/4470.html)。
(四)考生须按所填报志愿参加学校测试。退役军人、下岗工人、农民工、高素质农民、基层农技人员和灵活就业人员未通过资格审核的,填报的“六类人群”志愿无效,按所填报志愿院校对应的往届生招生专业参加学校测试和录取。
四、投档原则
本次高职扩招投档录取按照平行志愿投档录取规则进行。录取结束后,剩余计划不再进行征集志愿。
以上事项,考生务必仔细阅读,以确保顺利完成云南省2021年高职扩招志愿填报。
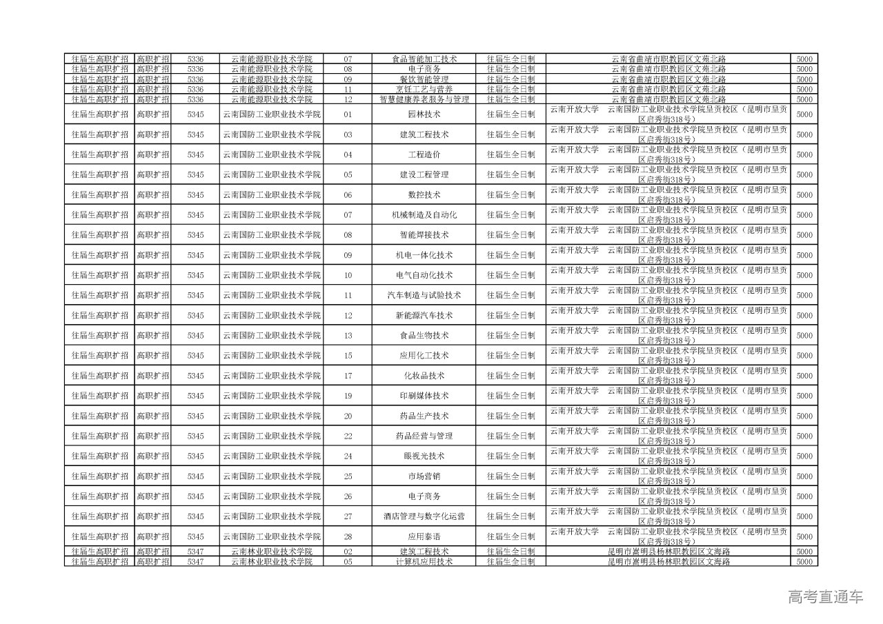
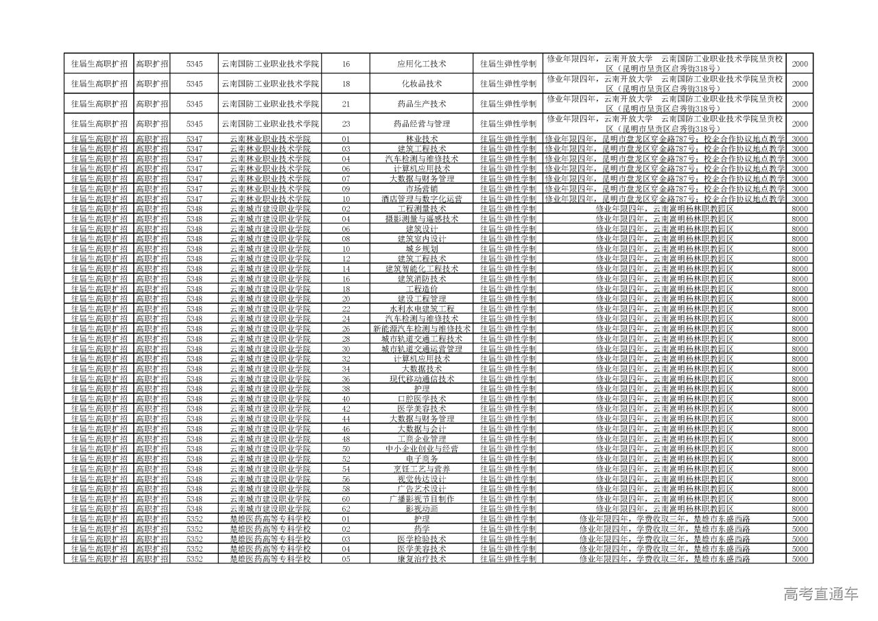
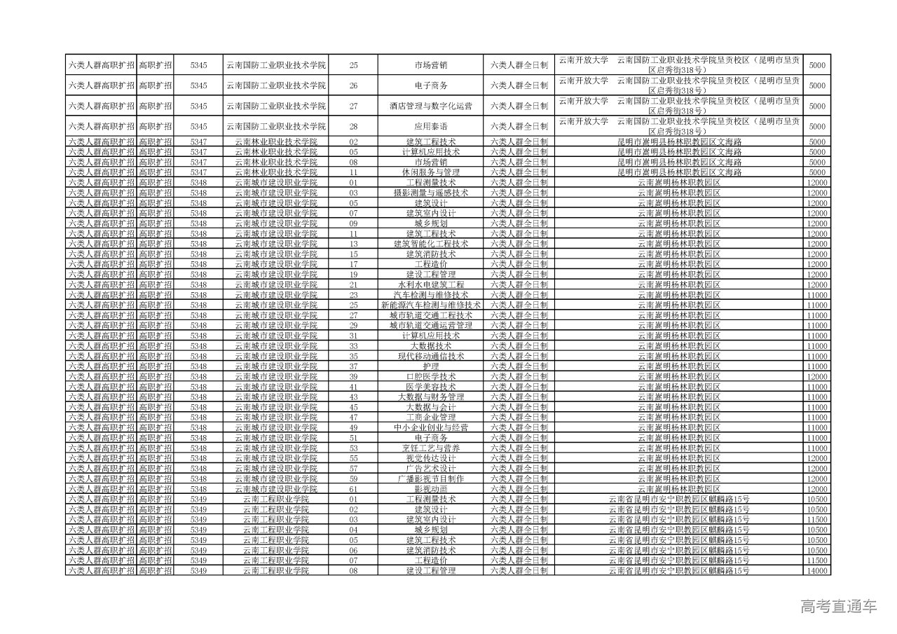
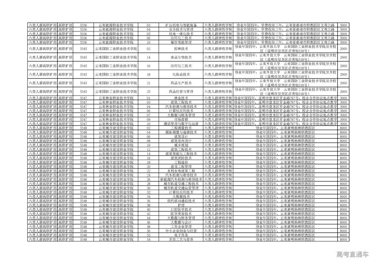
附件(点击查看或下载):高职扩招专业目录
































