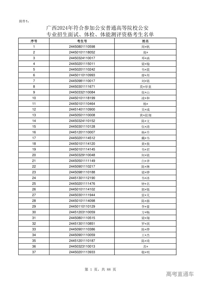
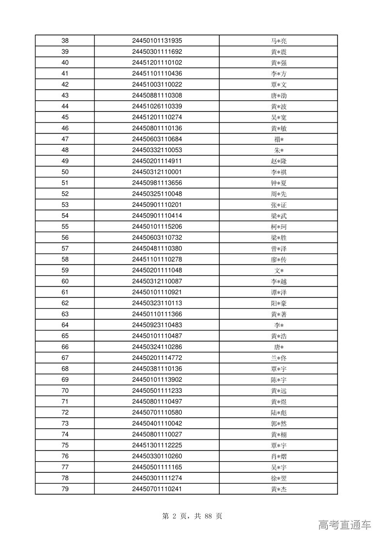
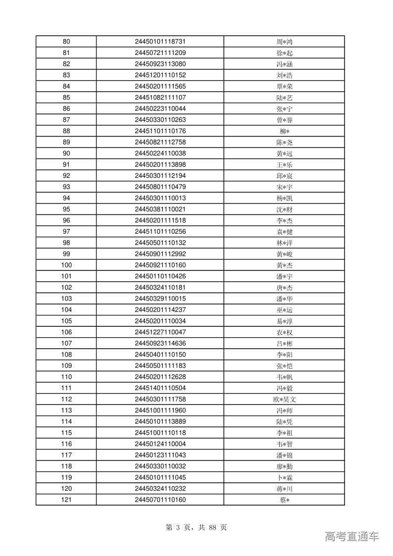
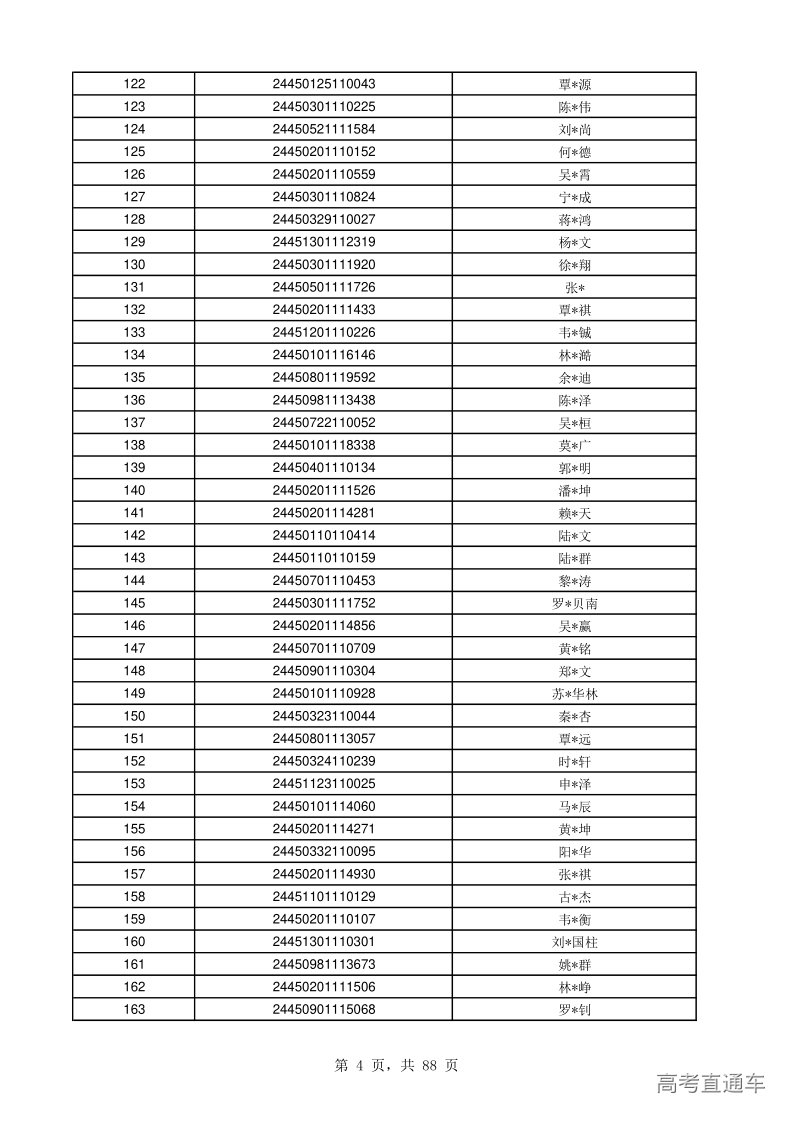
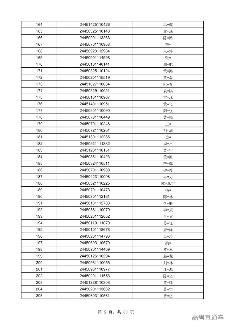
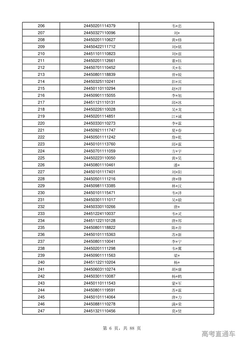
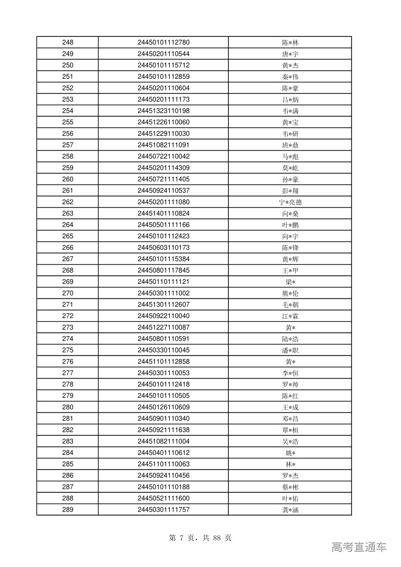
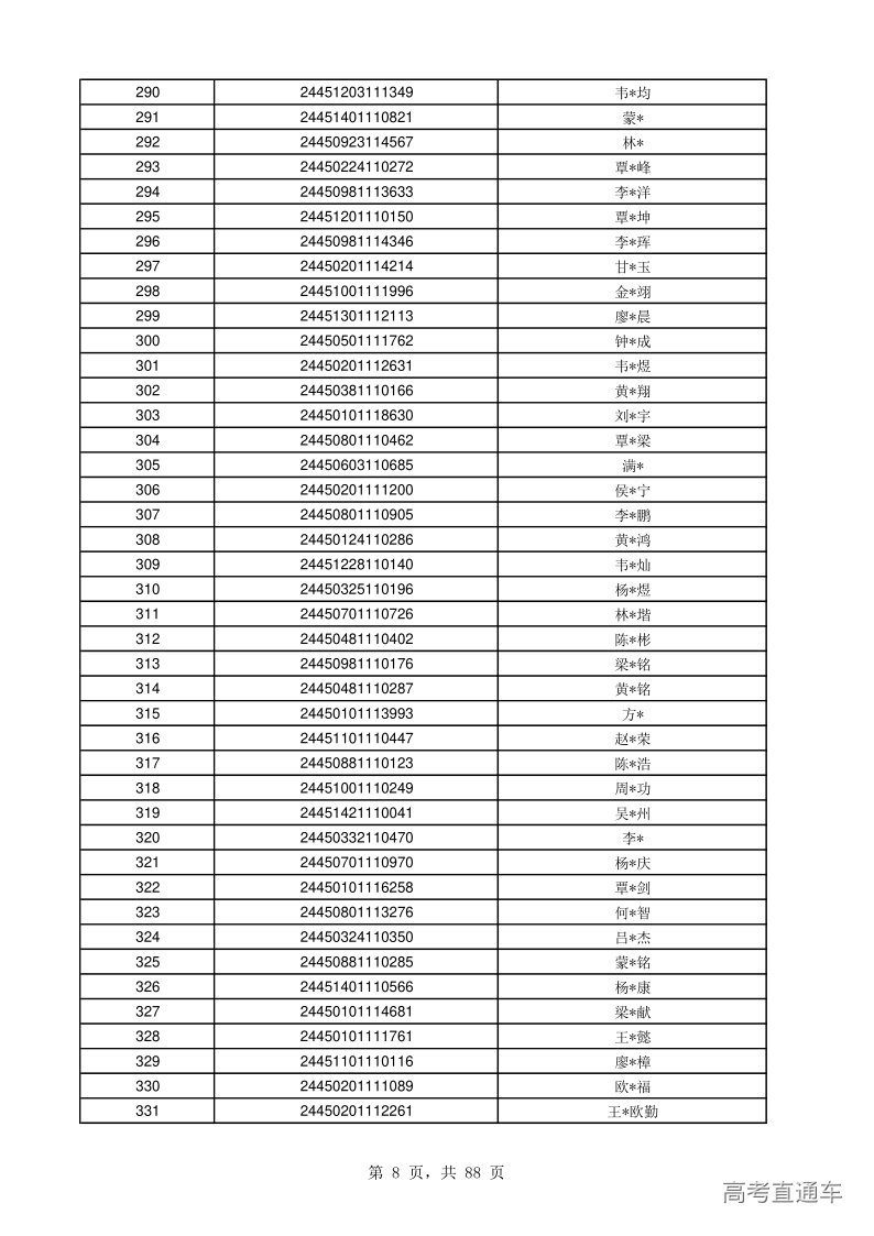
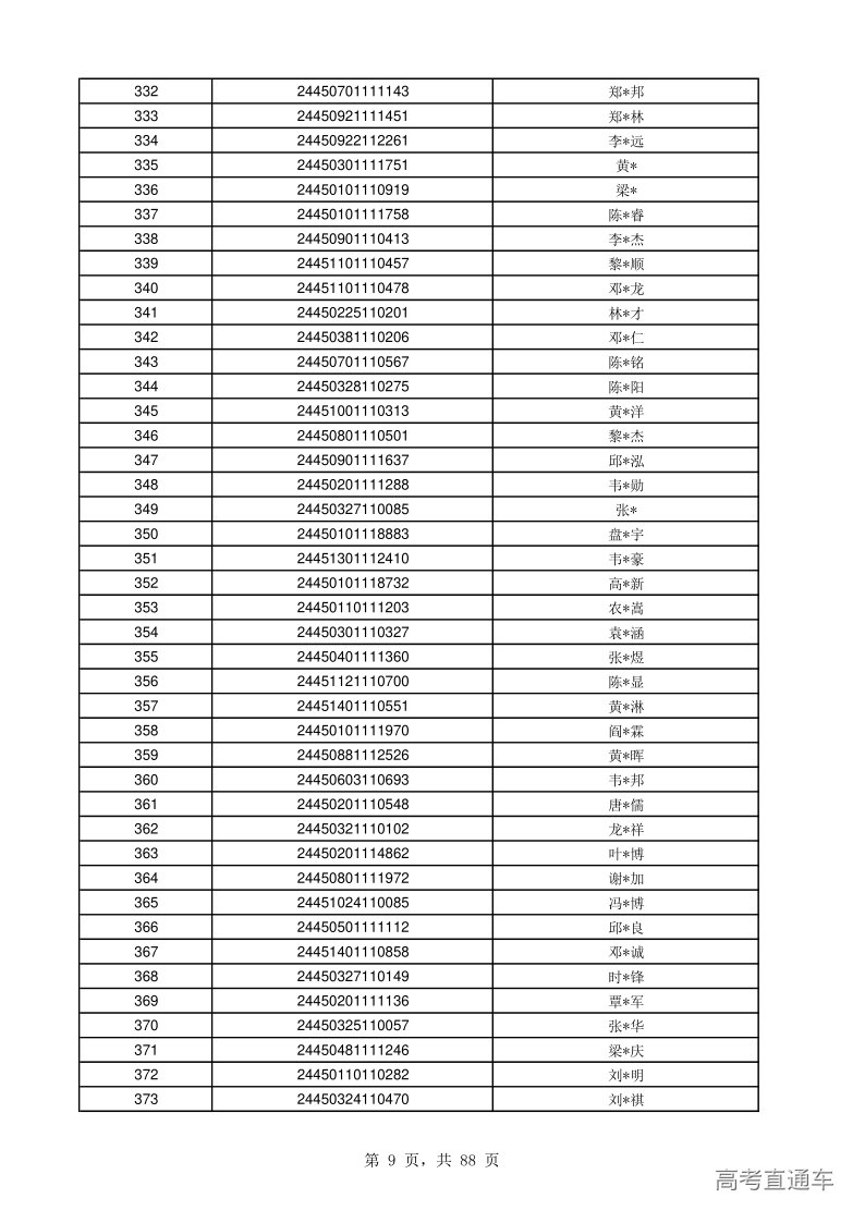
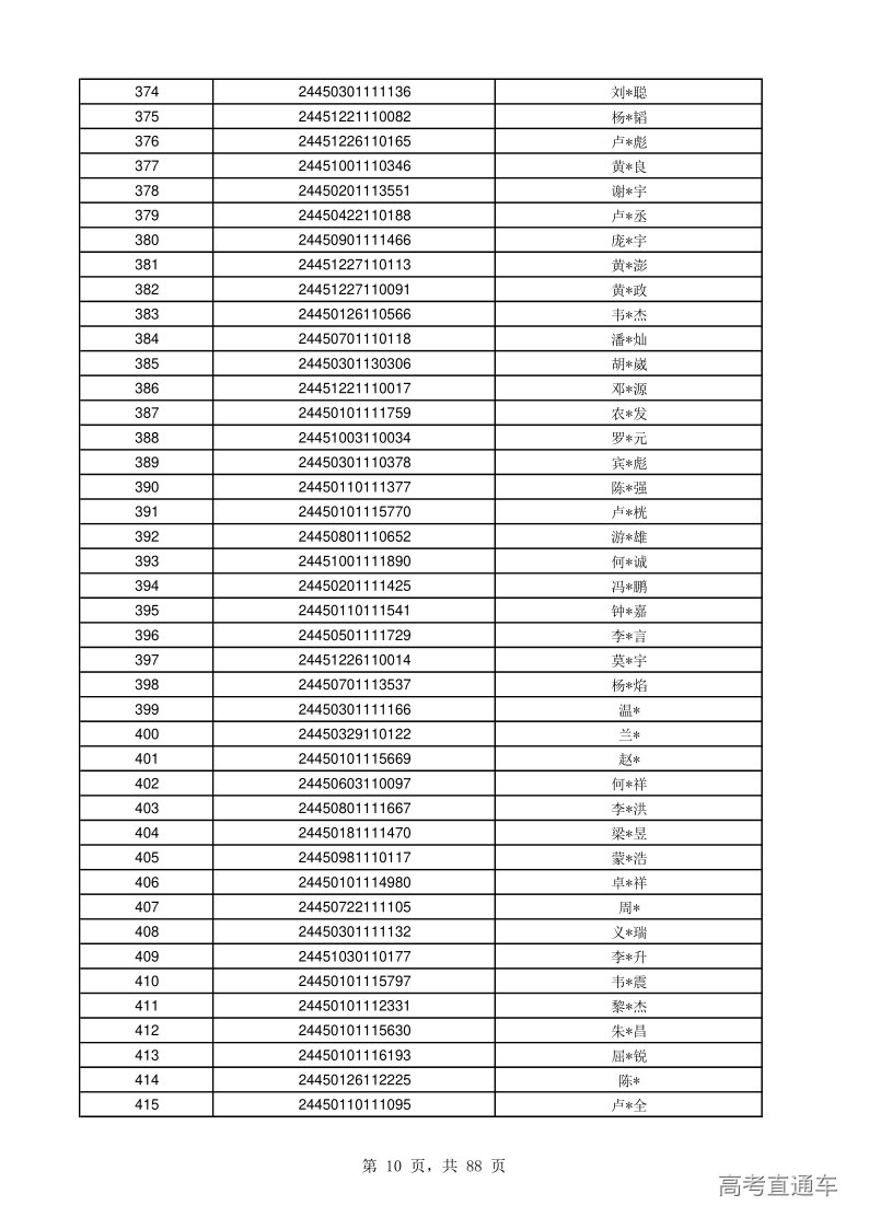
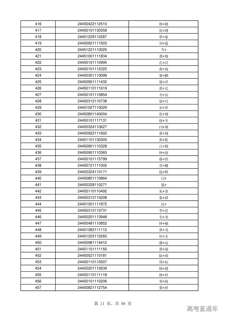
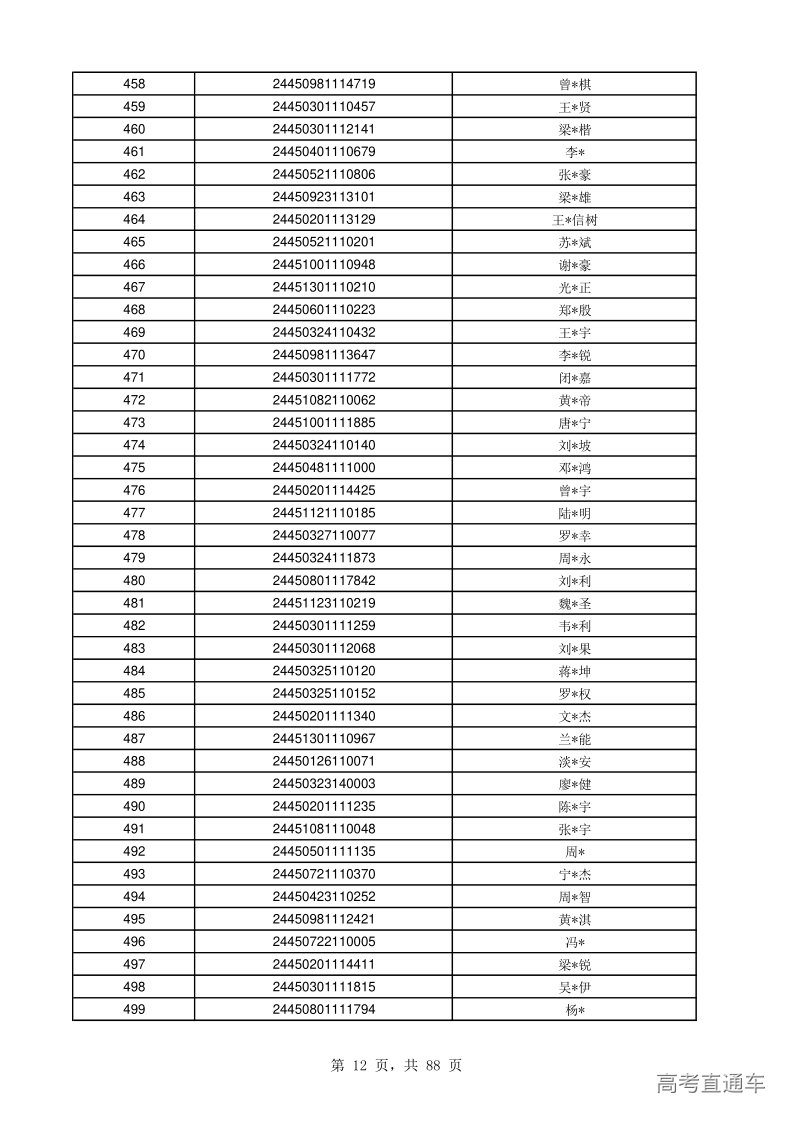
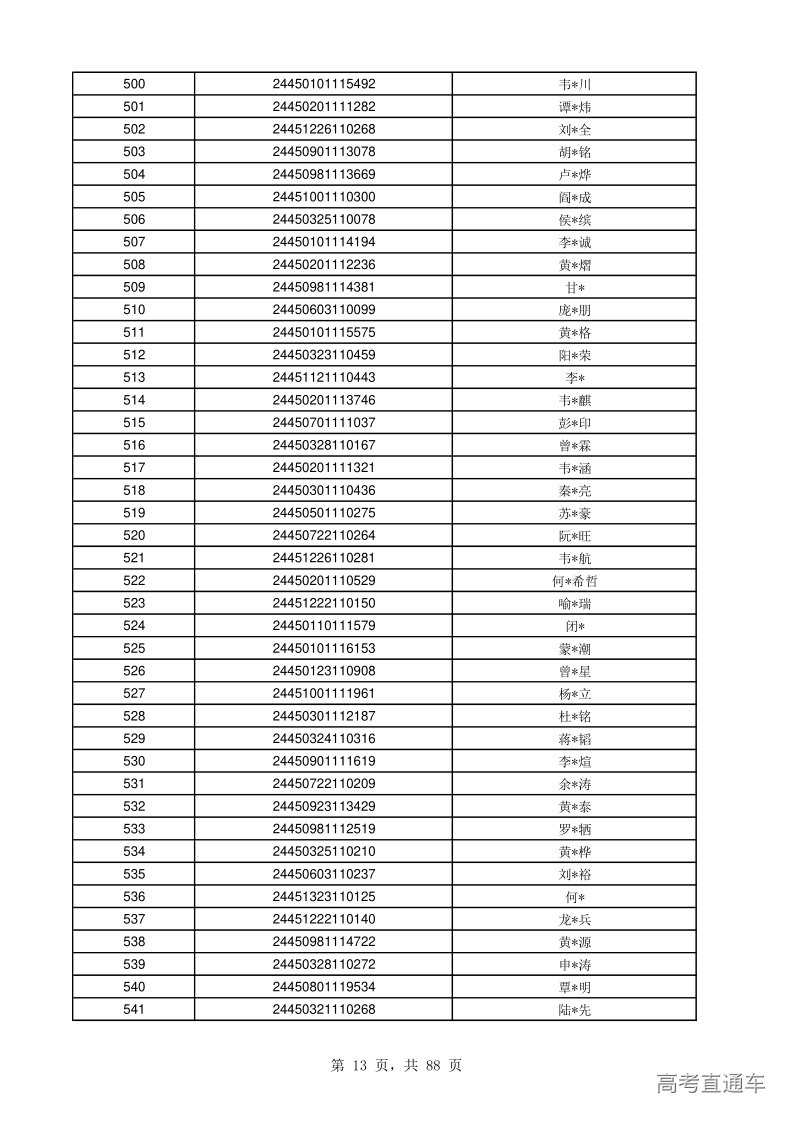
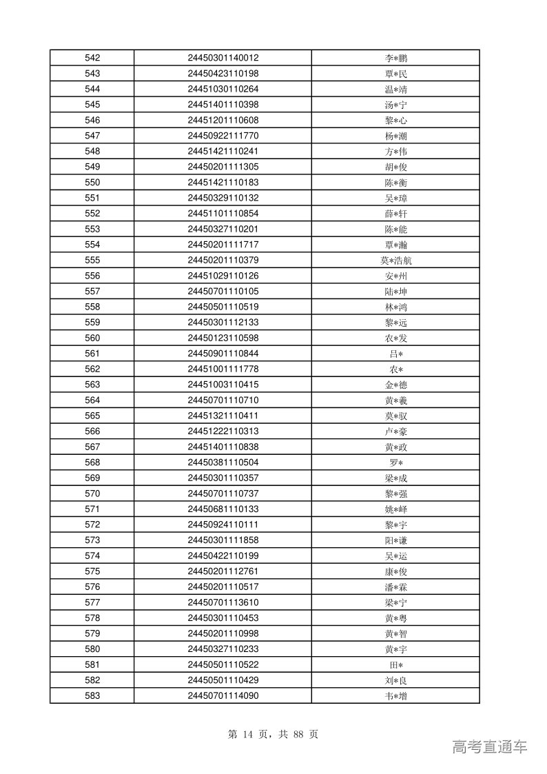
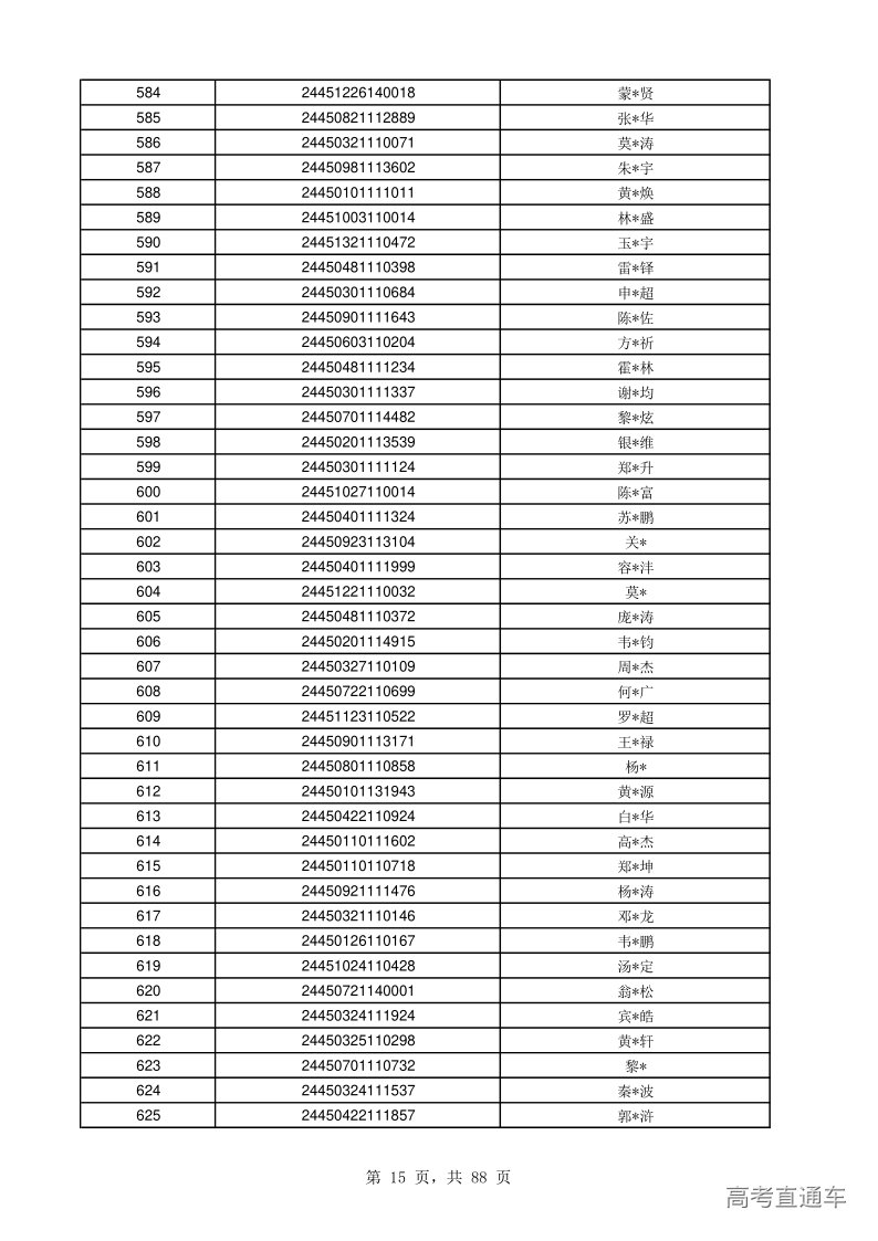
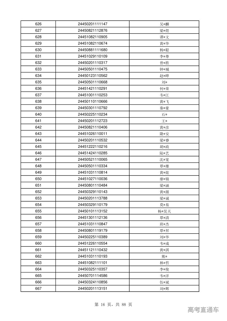
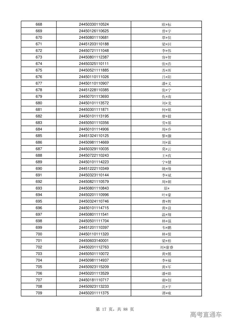
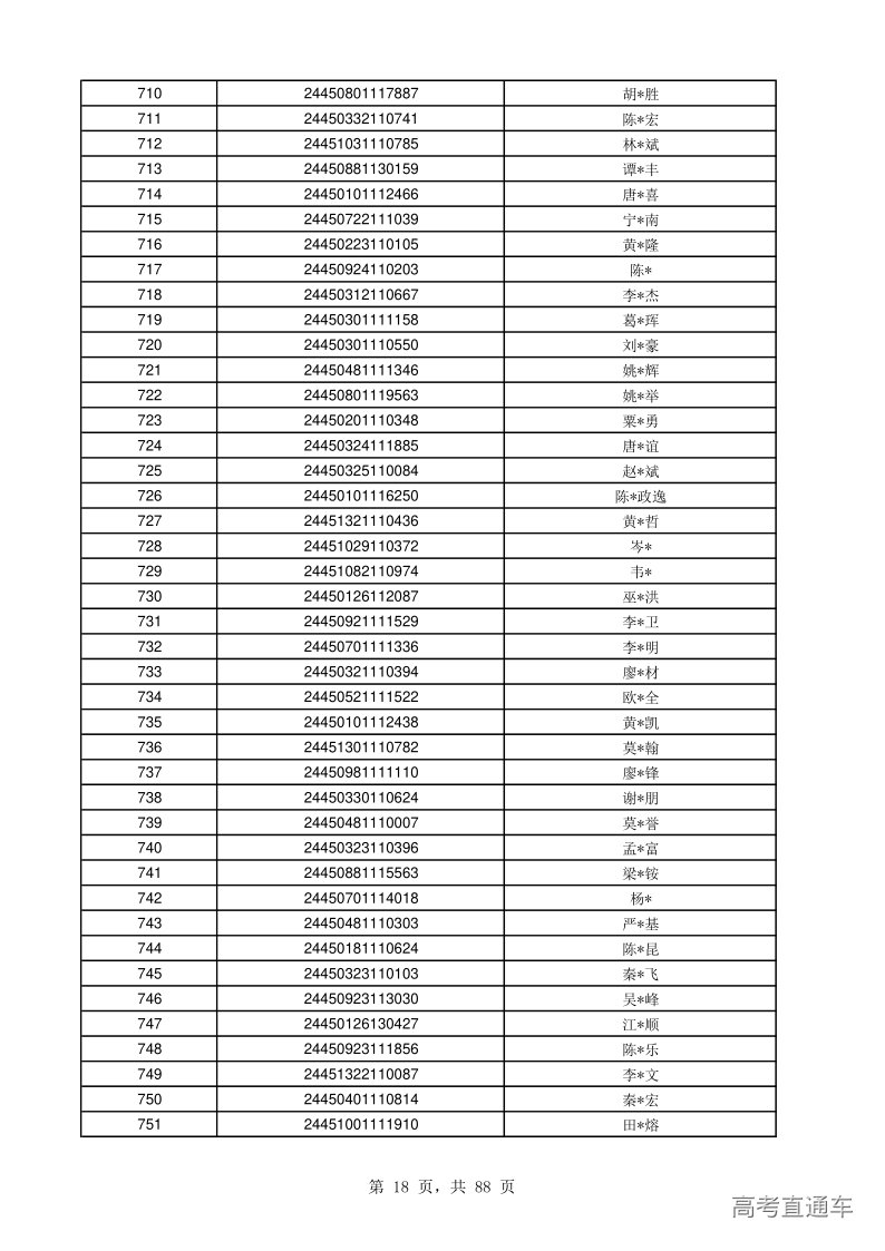
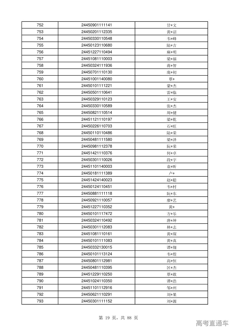
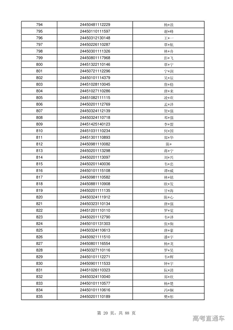
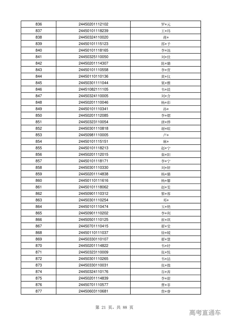
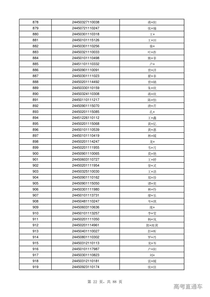
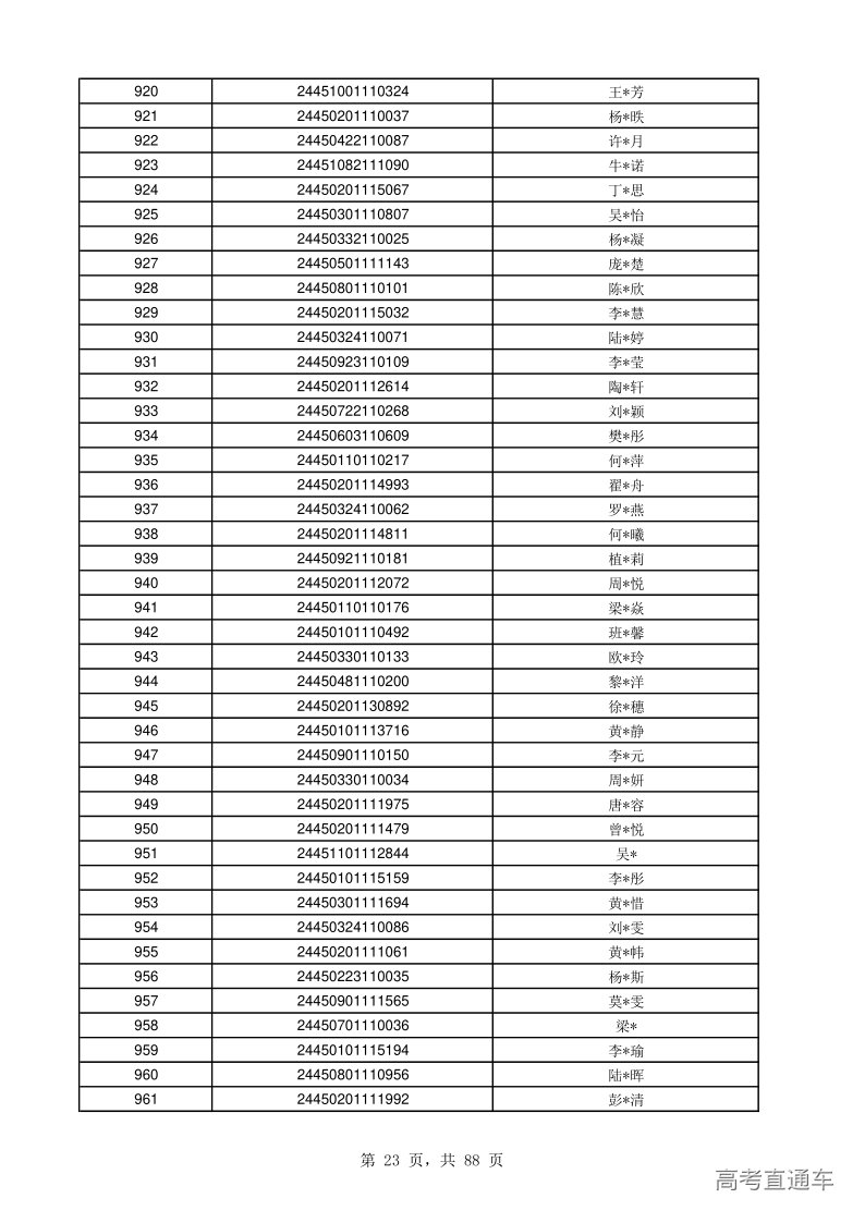
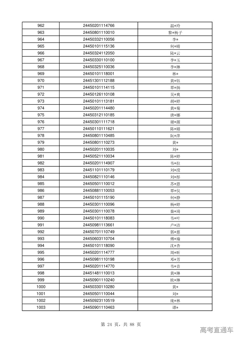
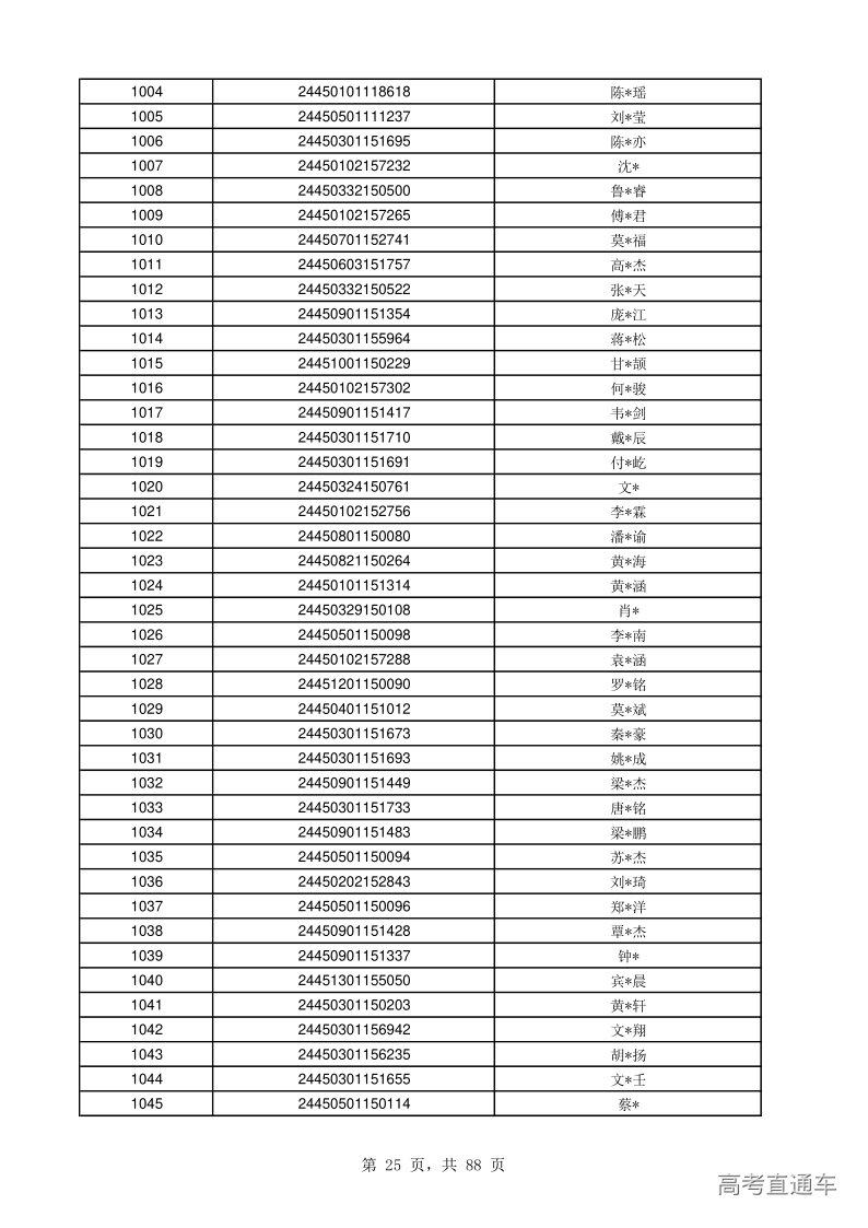
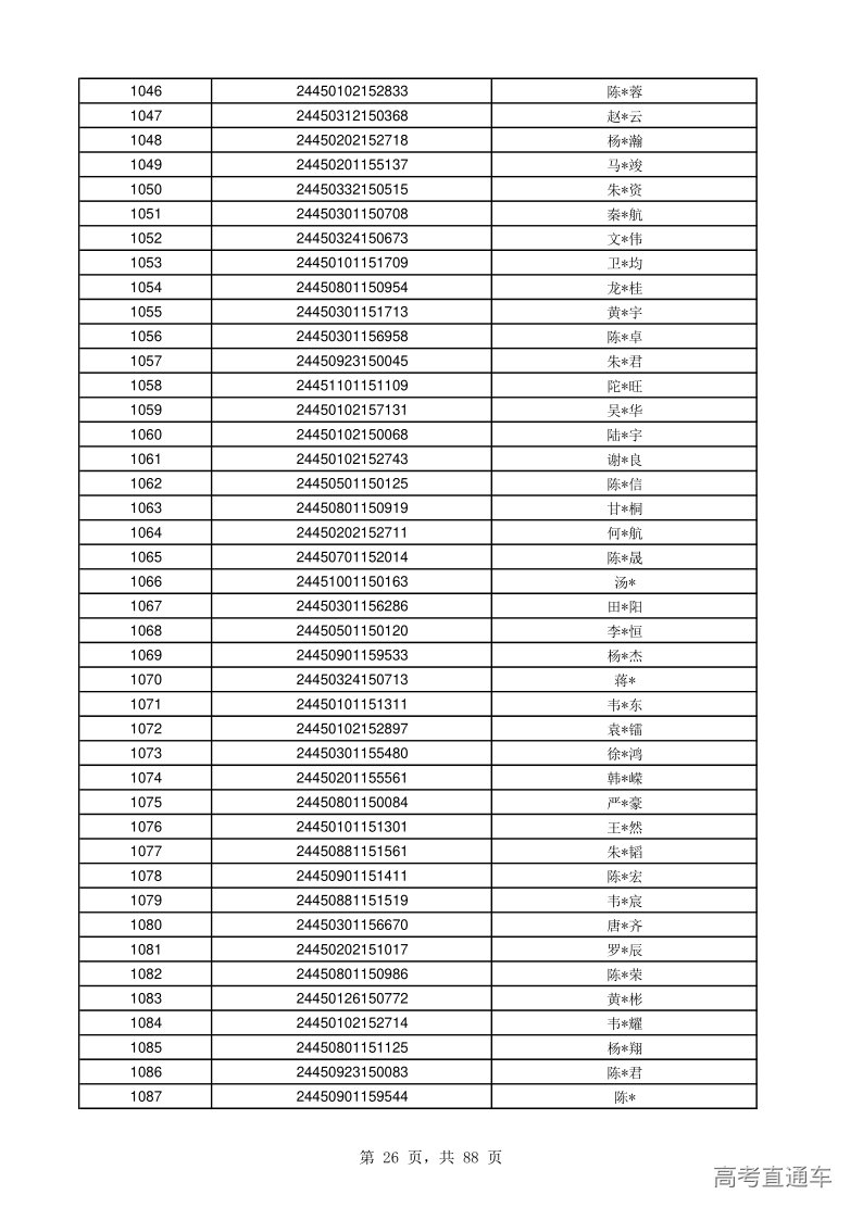
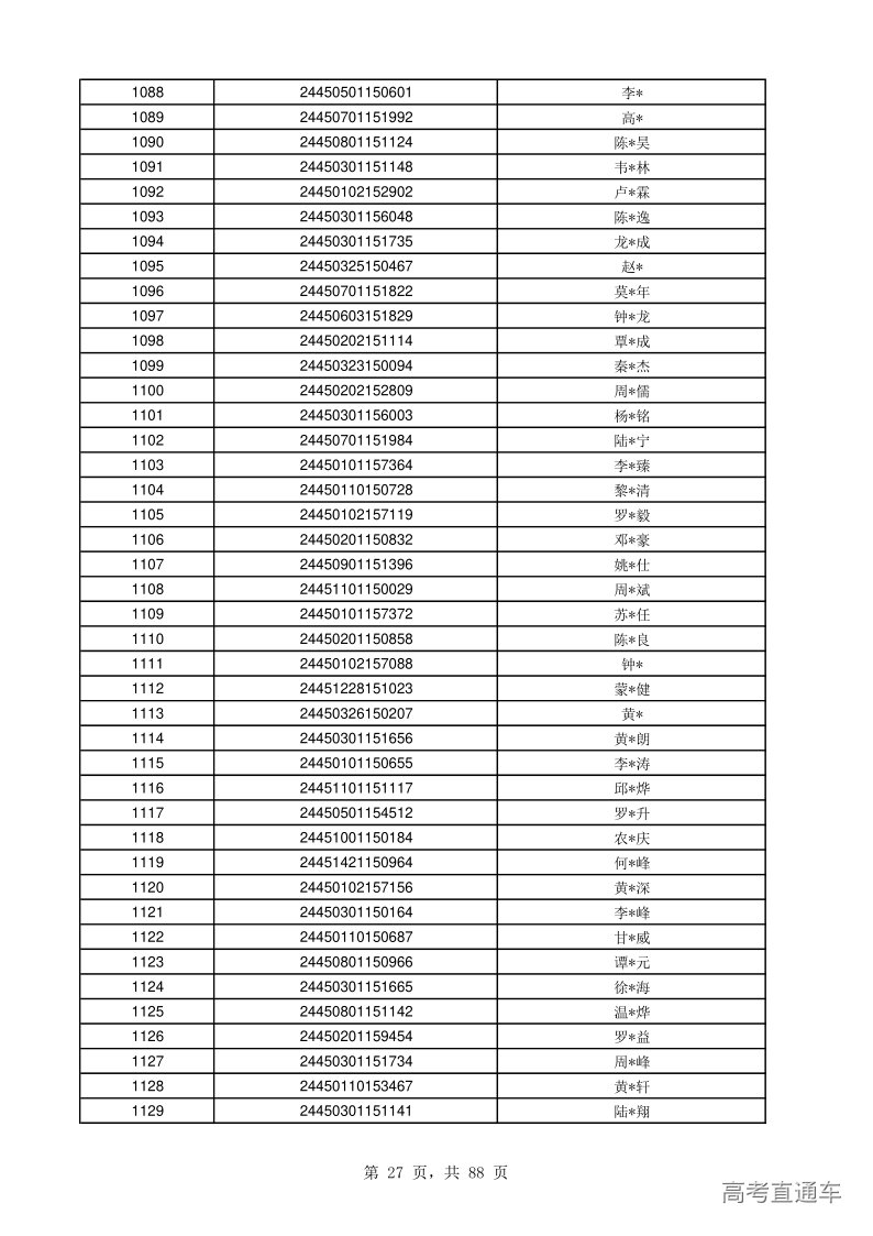
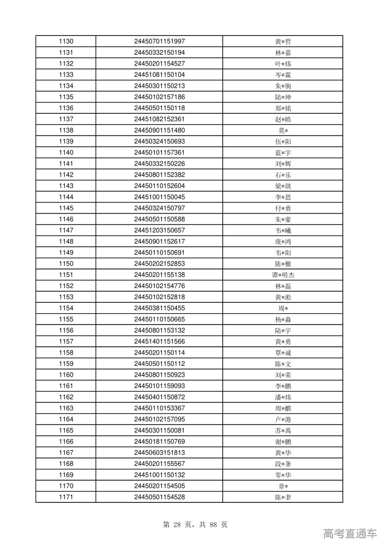
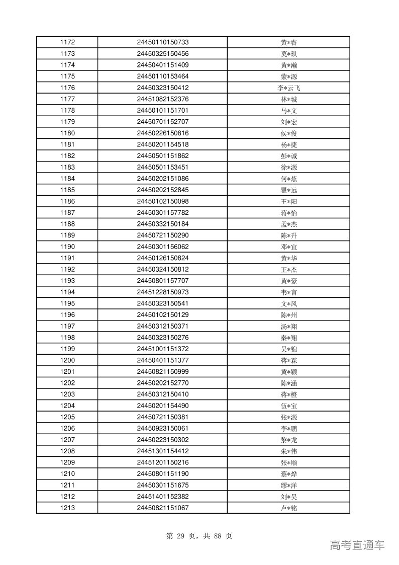
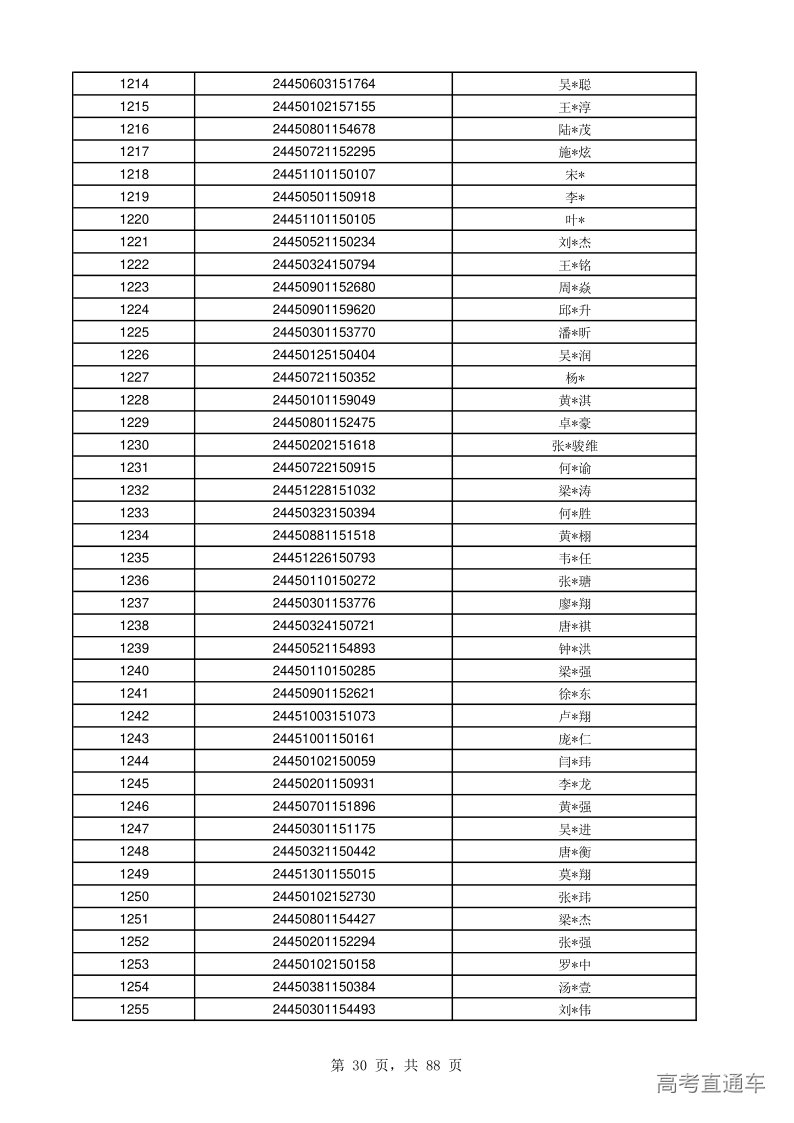
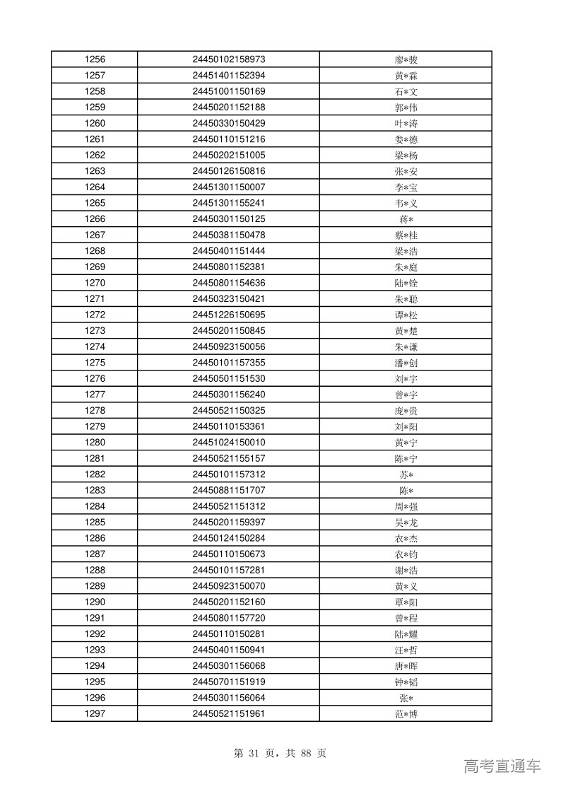
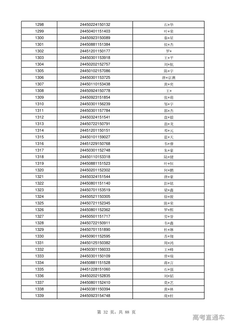
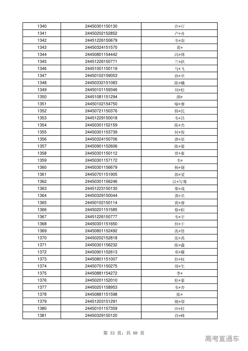
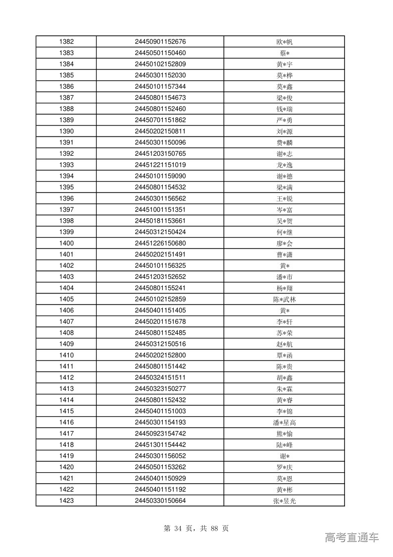
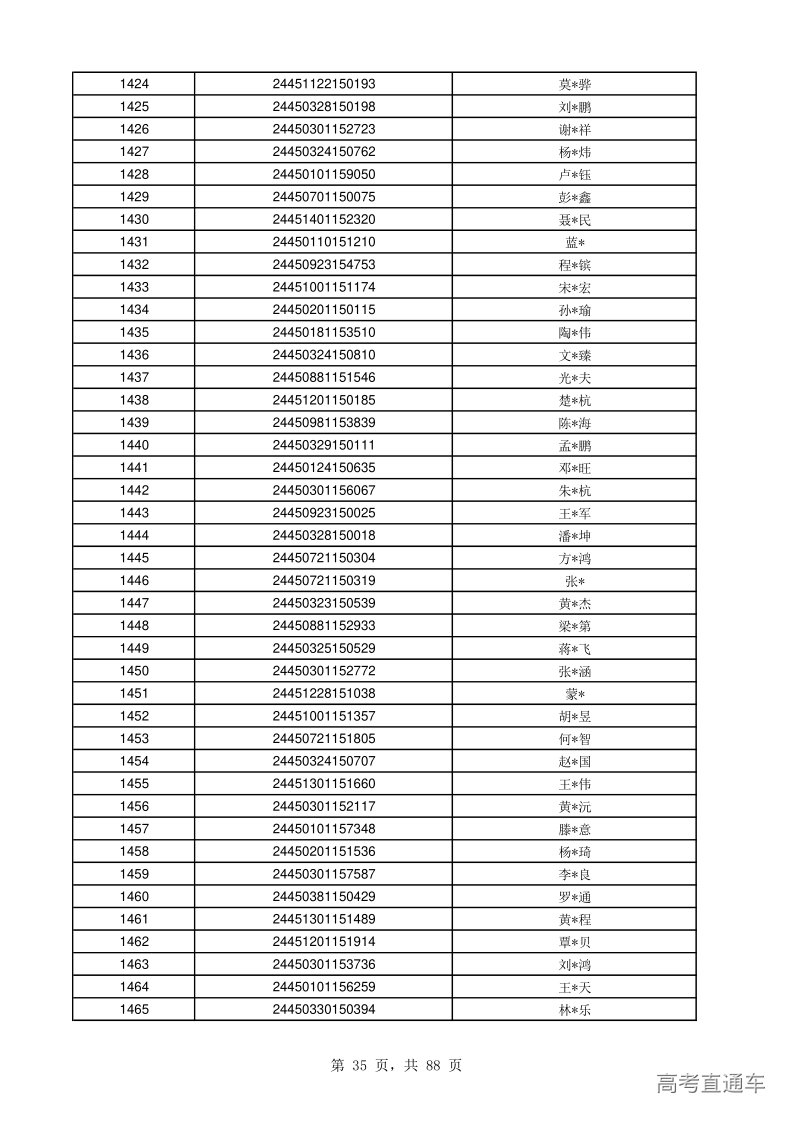
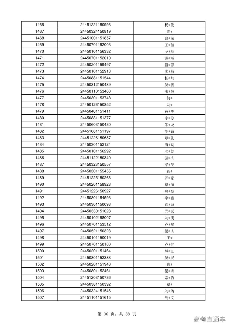
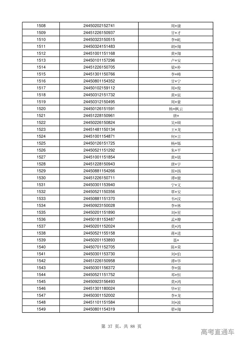
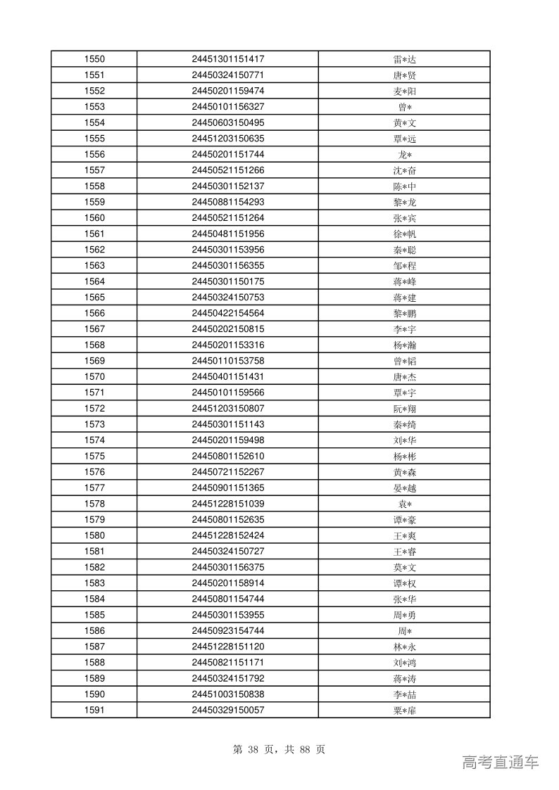
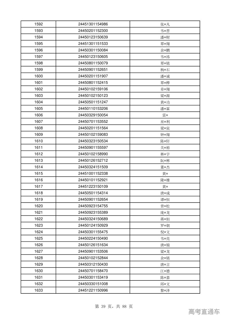
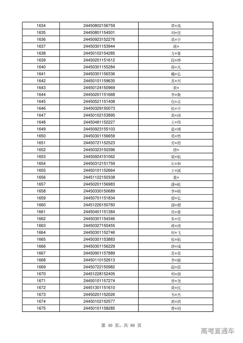
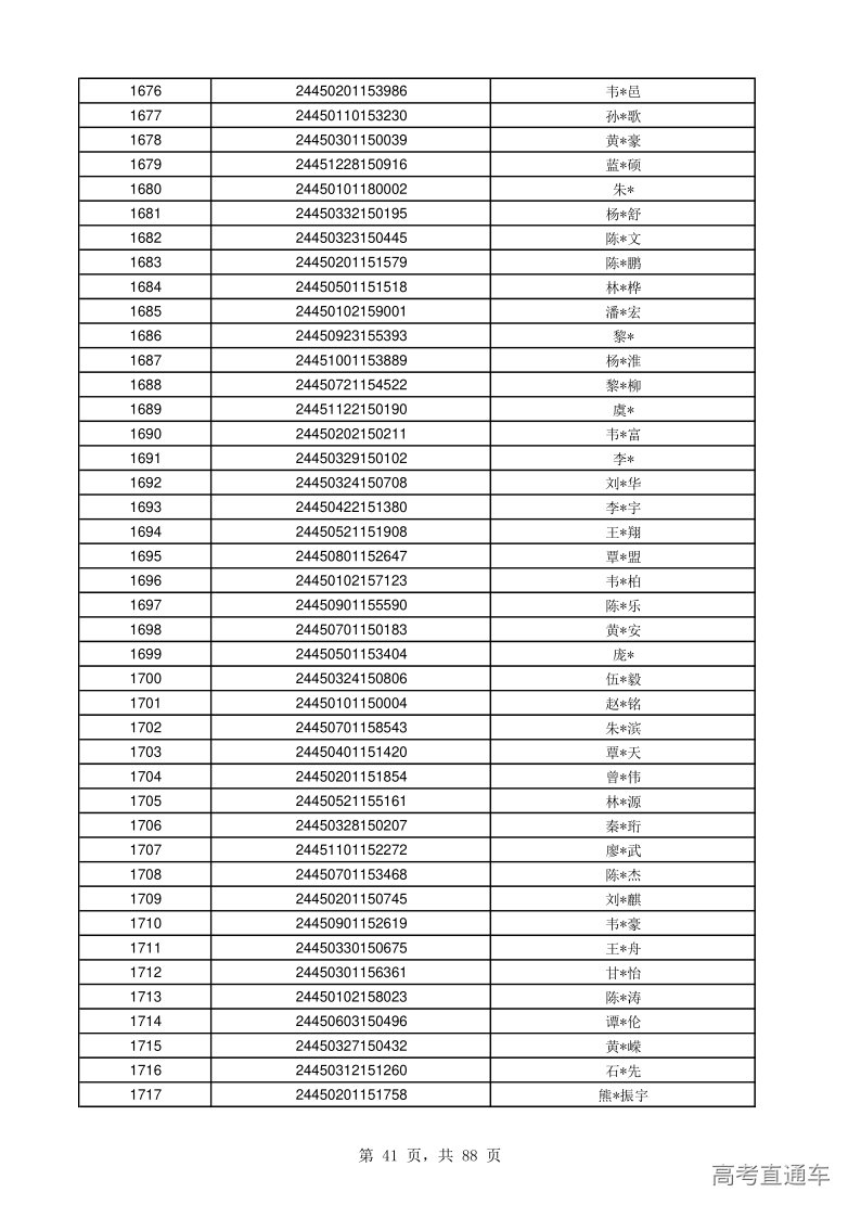
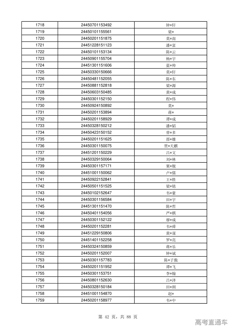
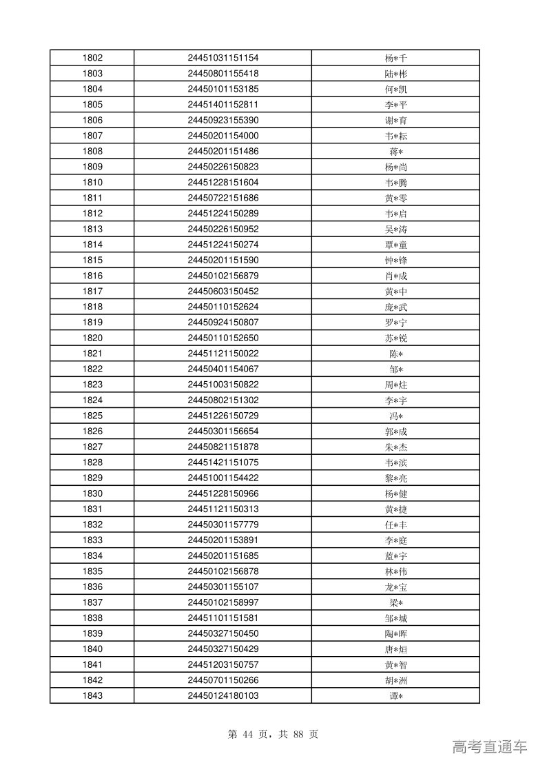
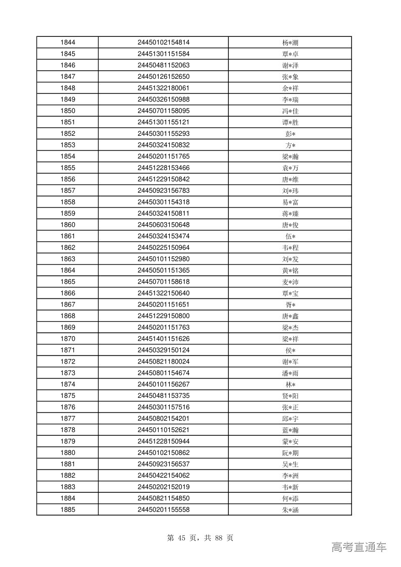
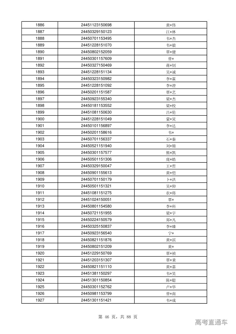
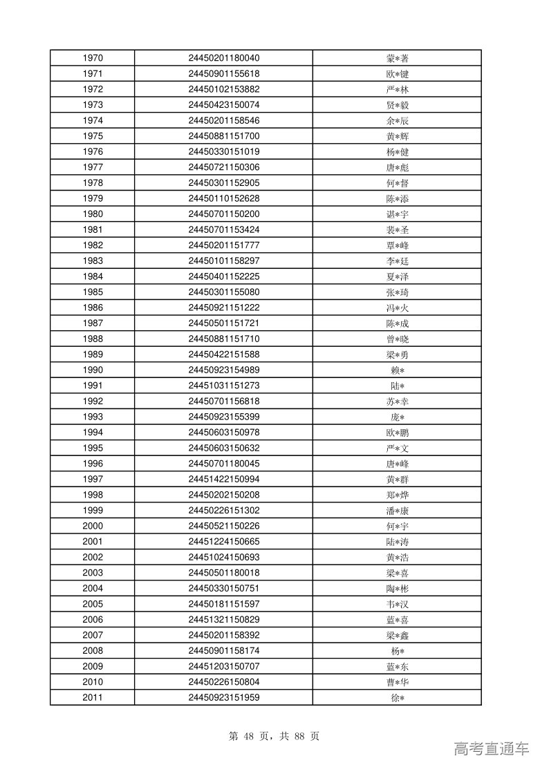
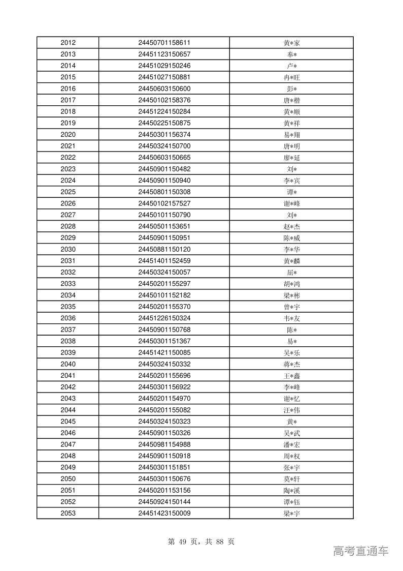
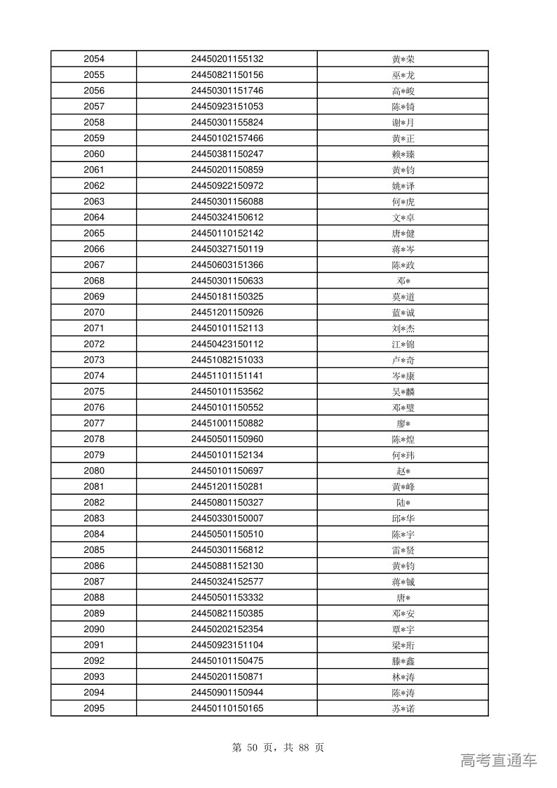
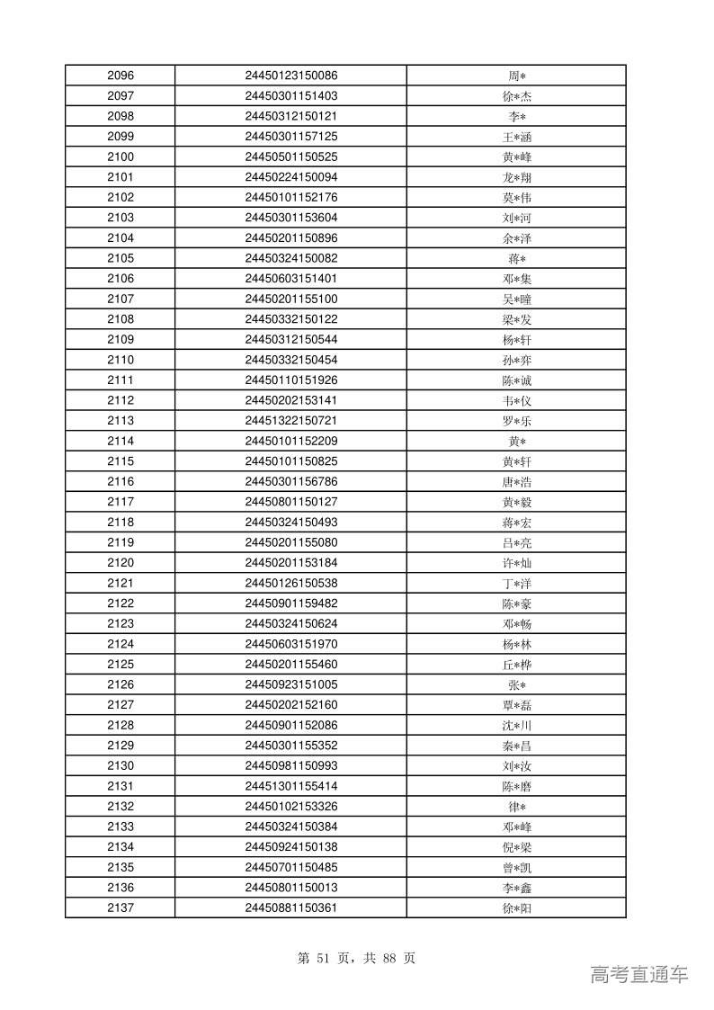
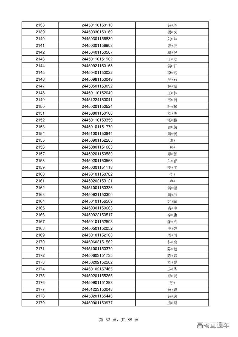
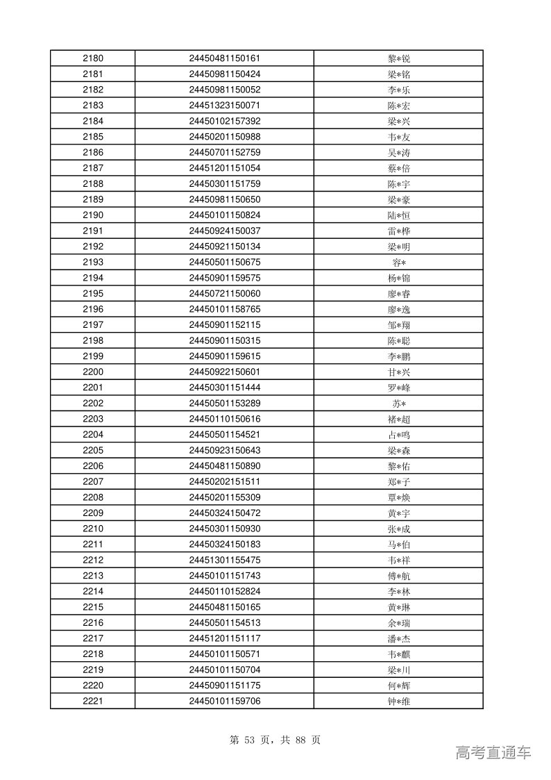
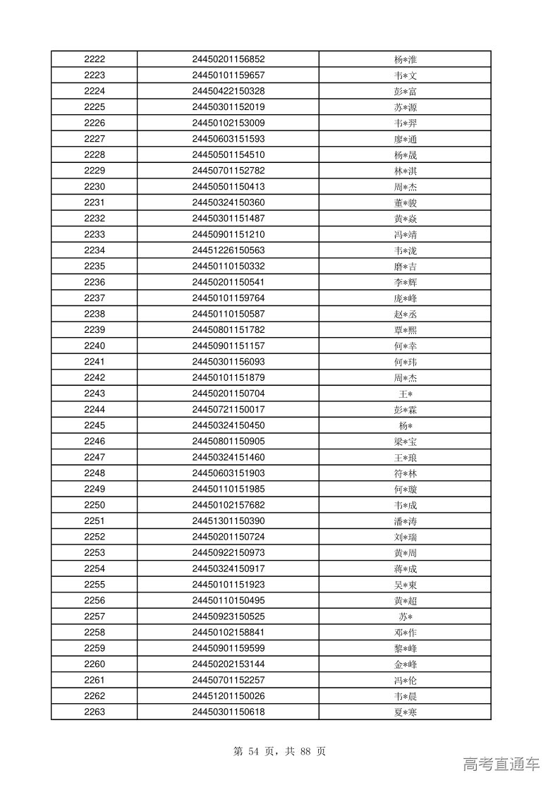
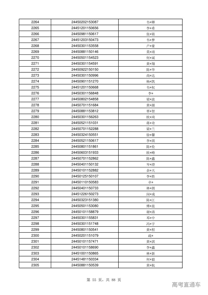
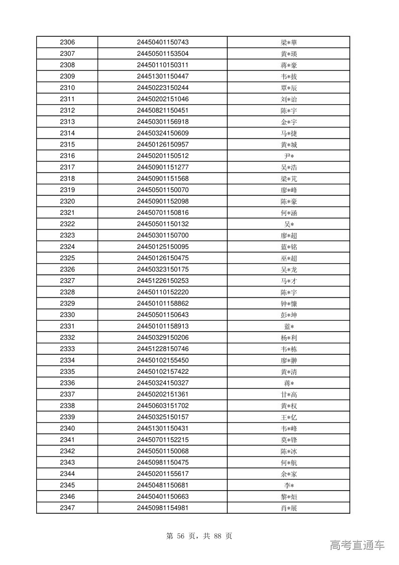
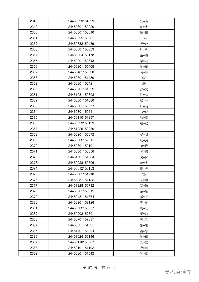
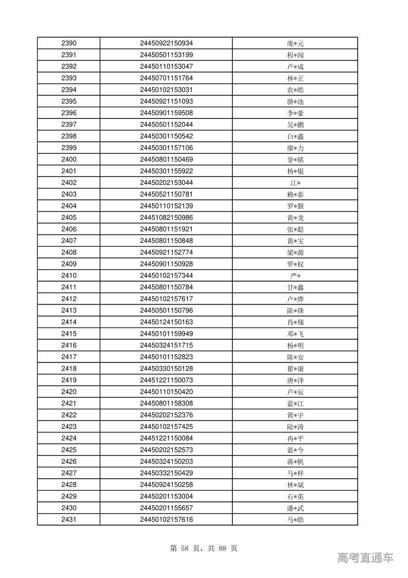
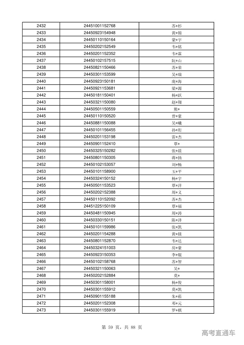
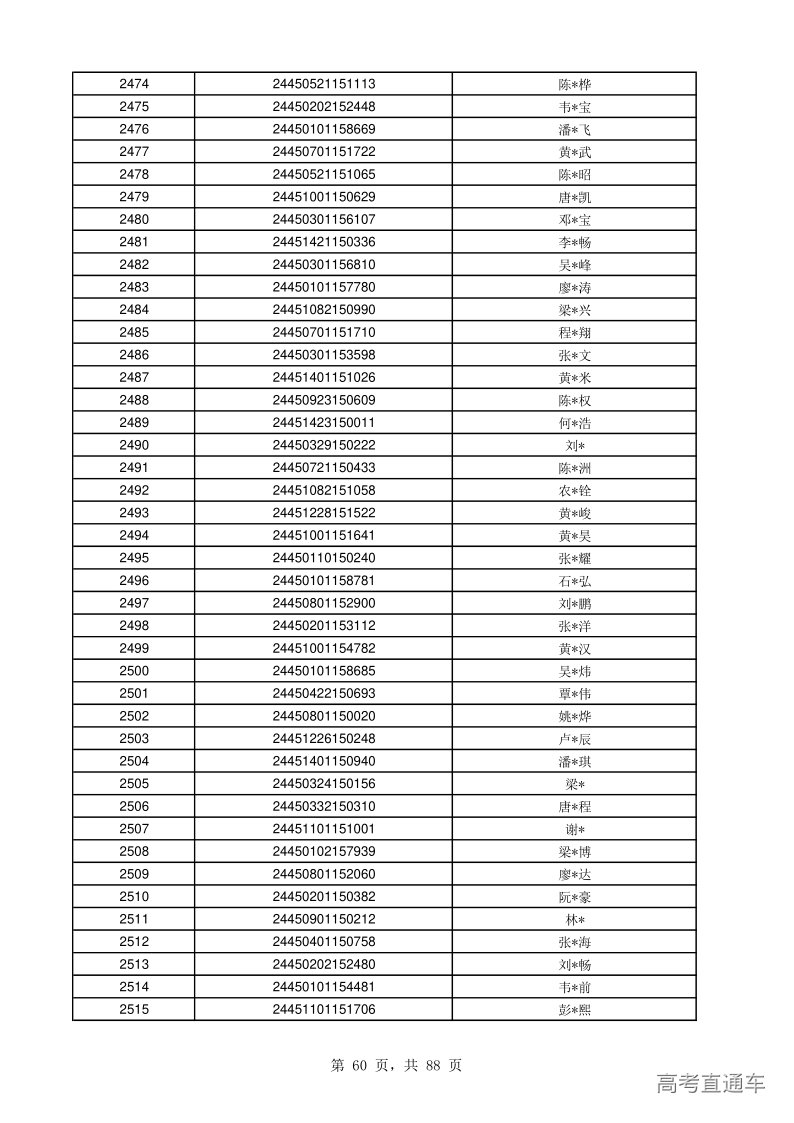
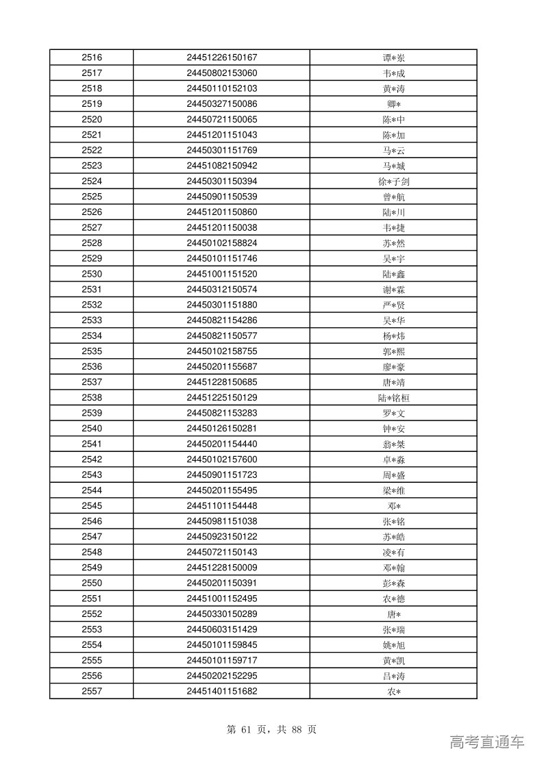
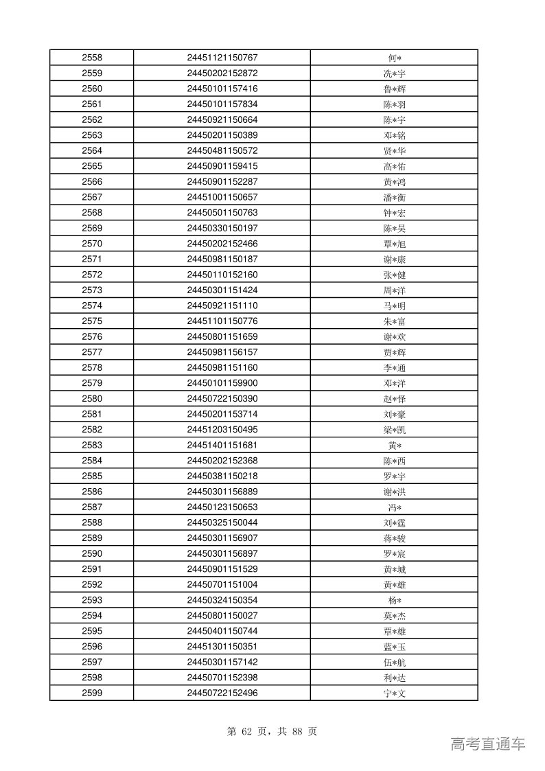
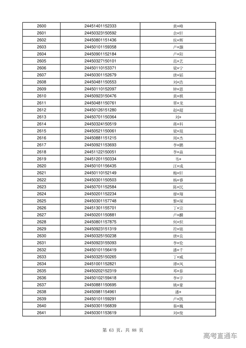
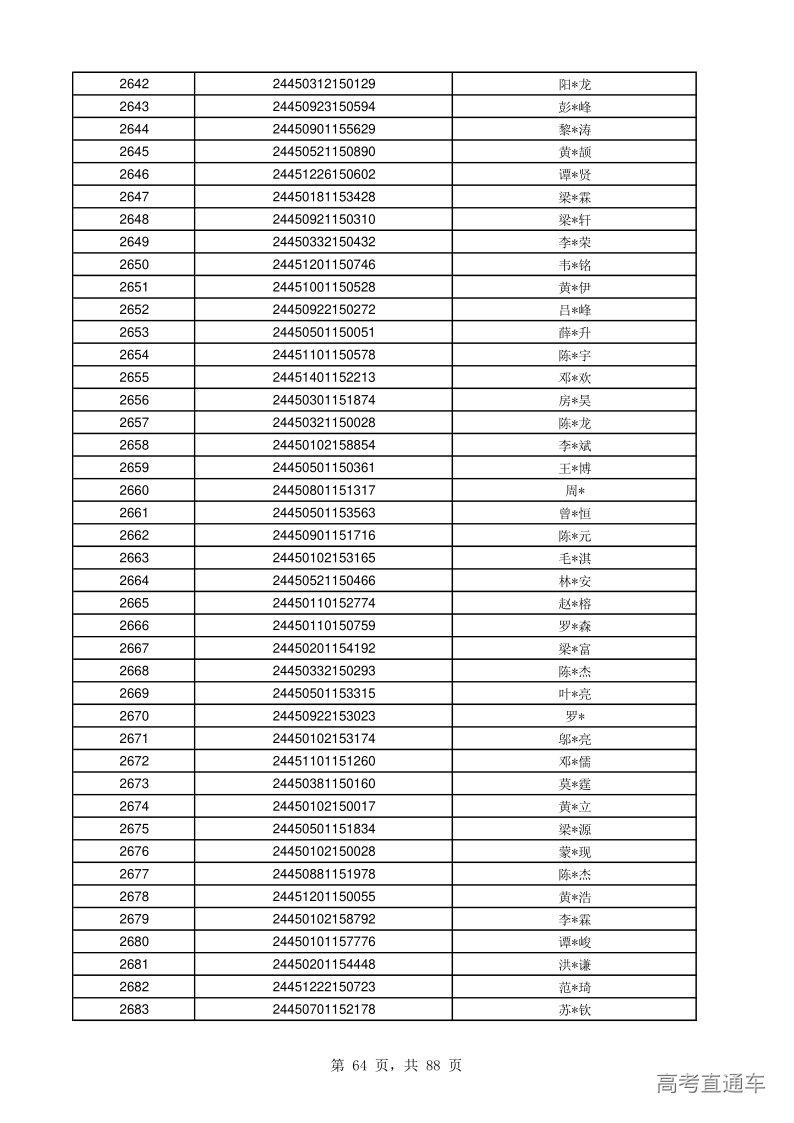
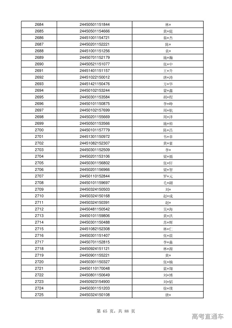
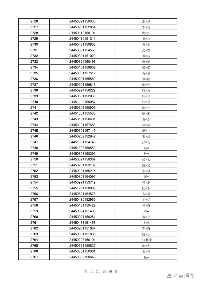
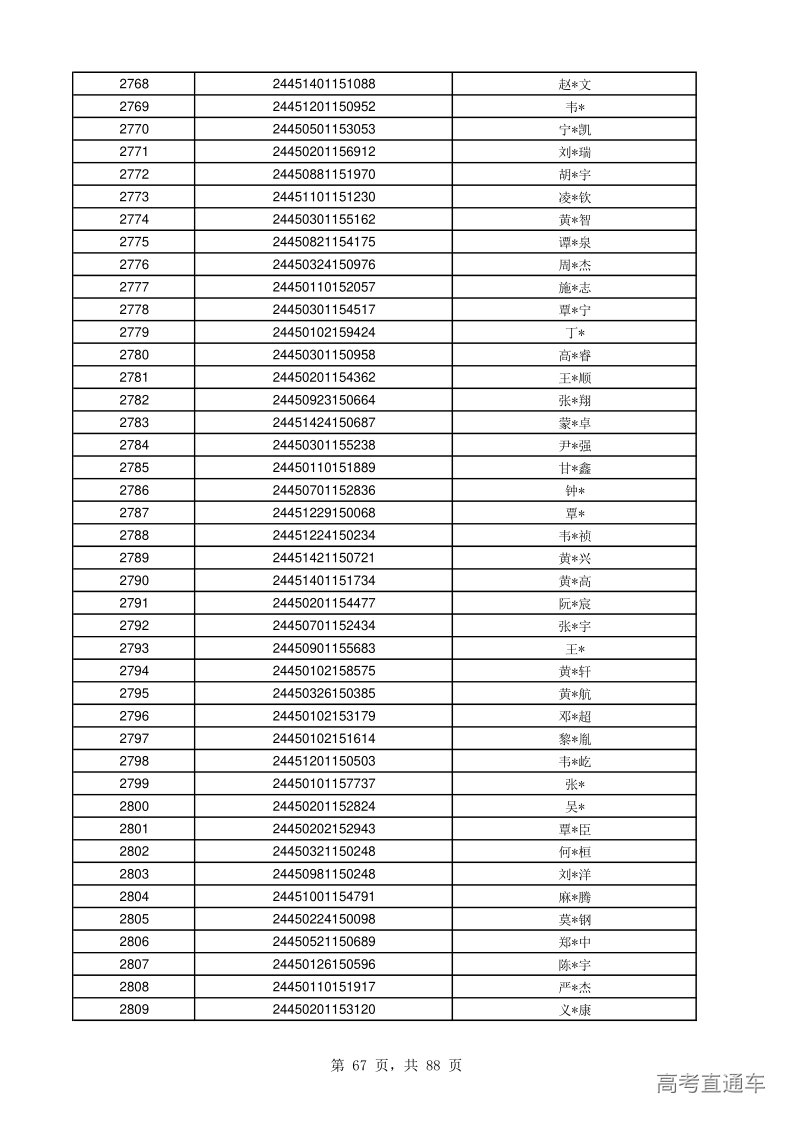
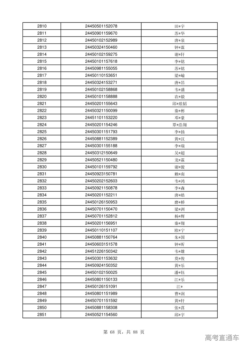
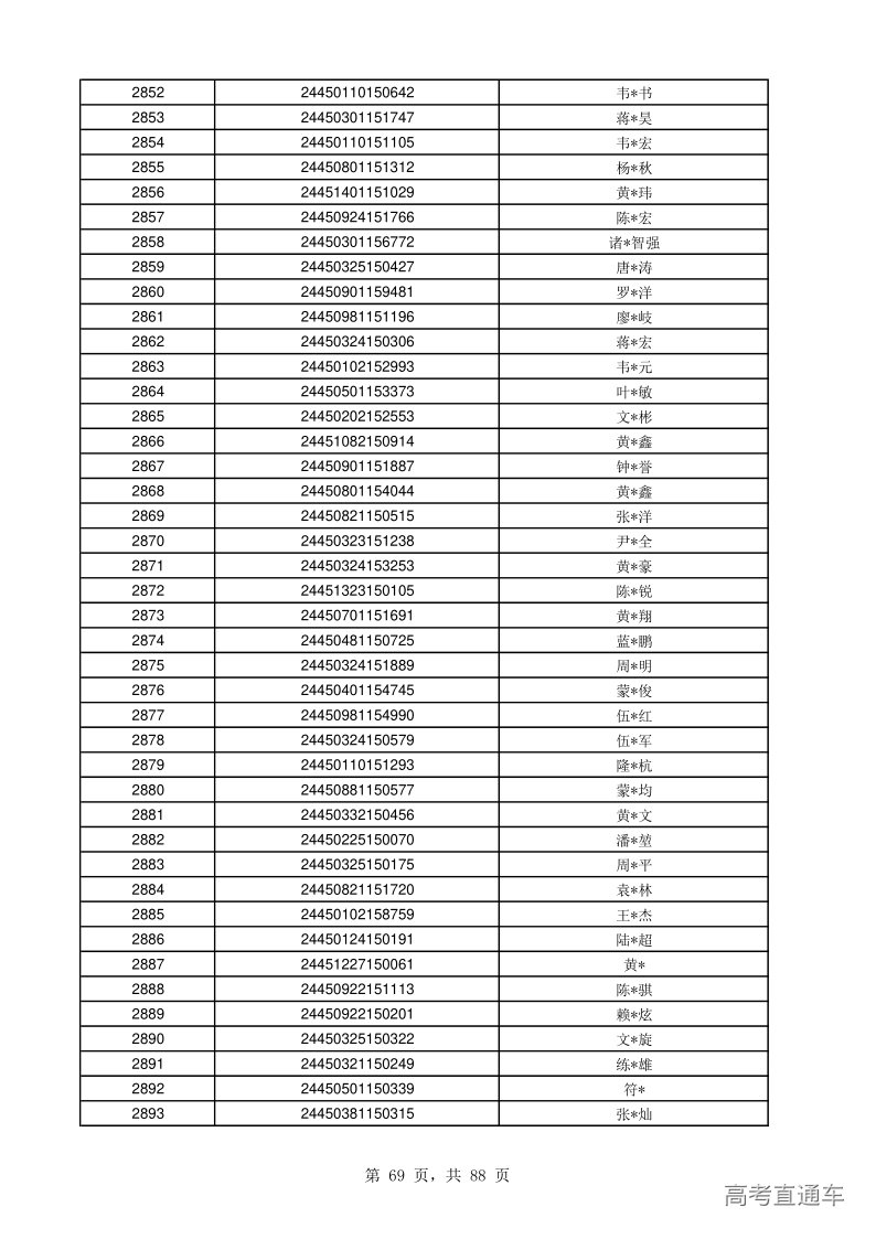
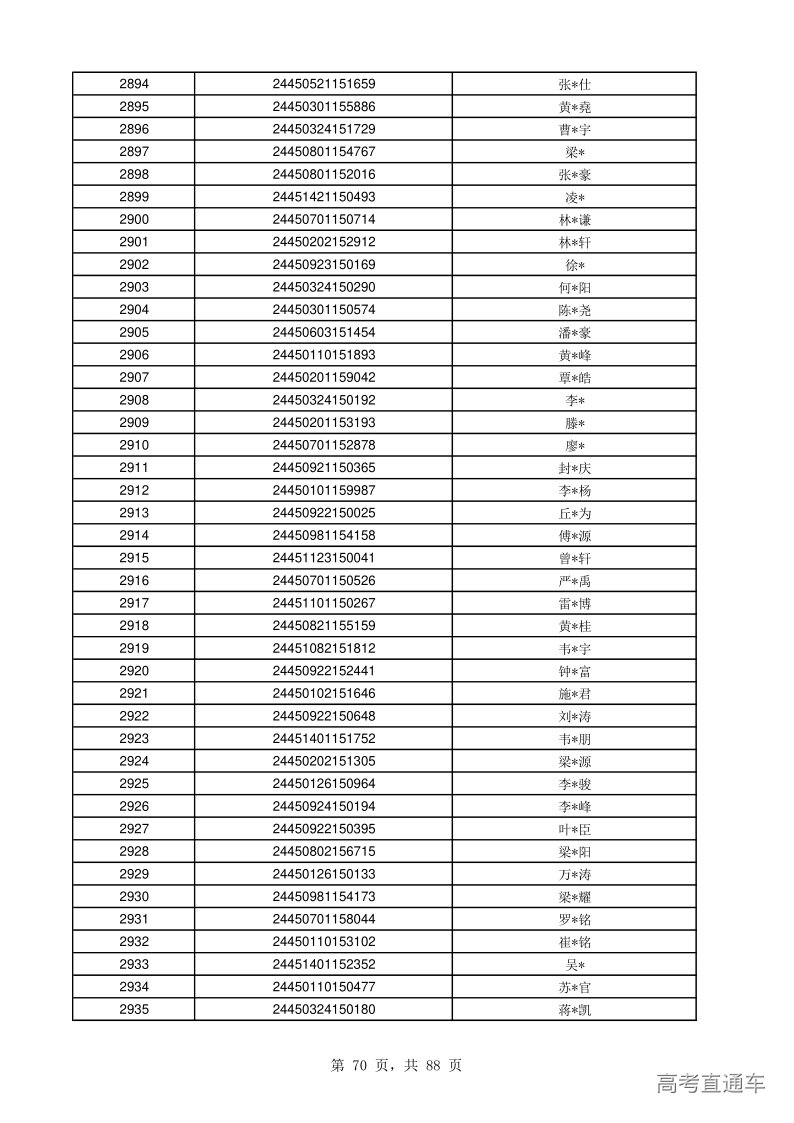
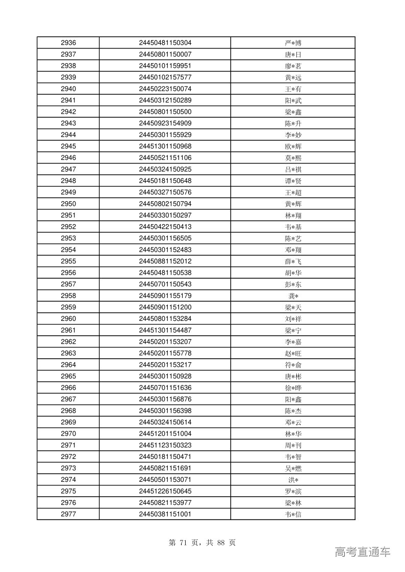
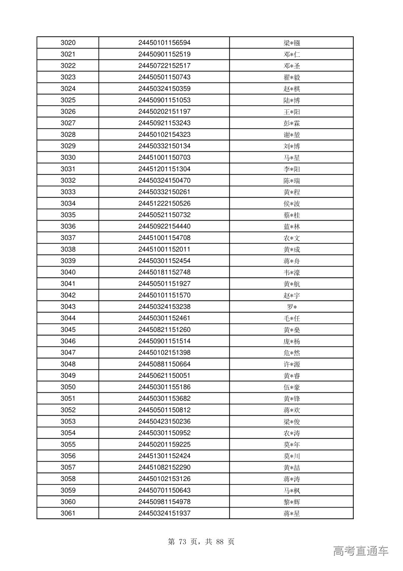
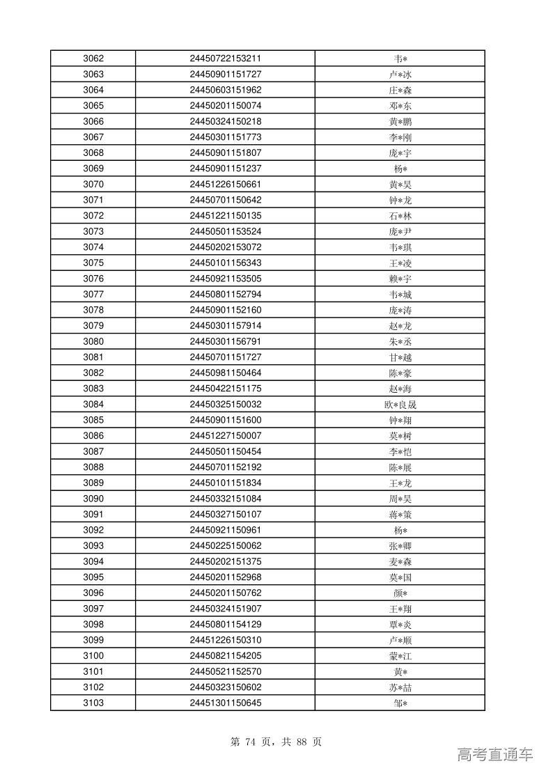
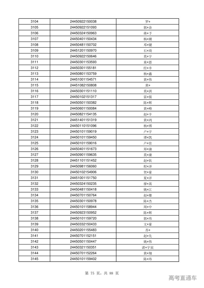
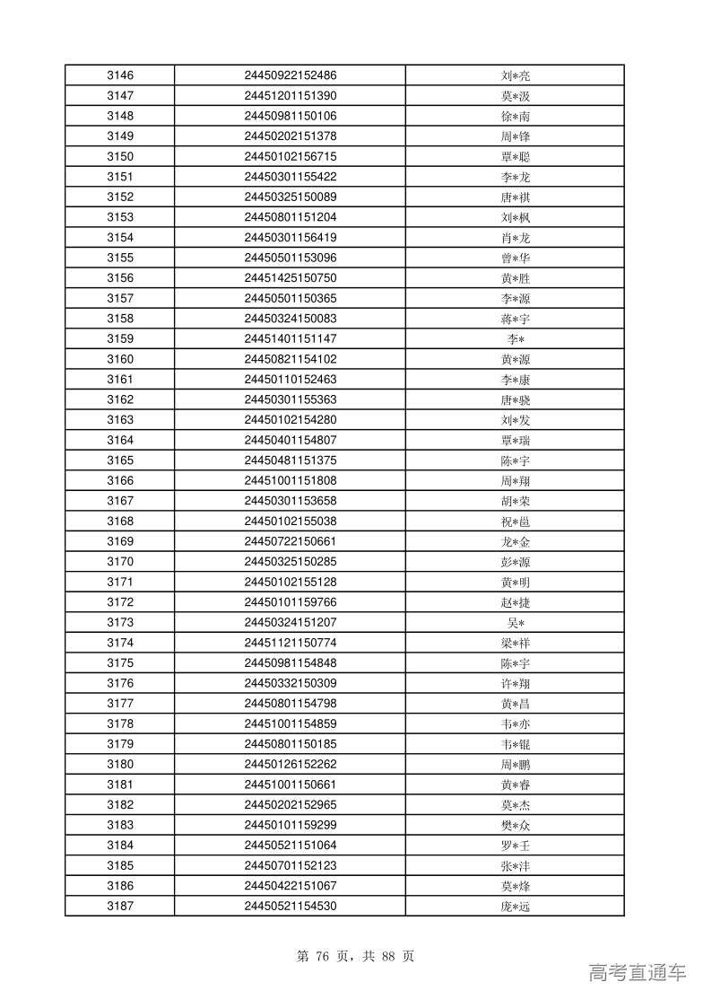
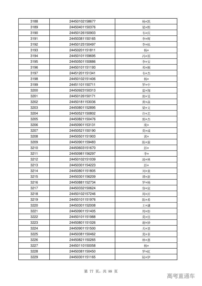
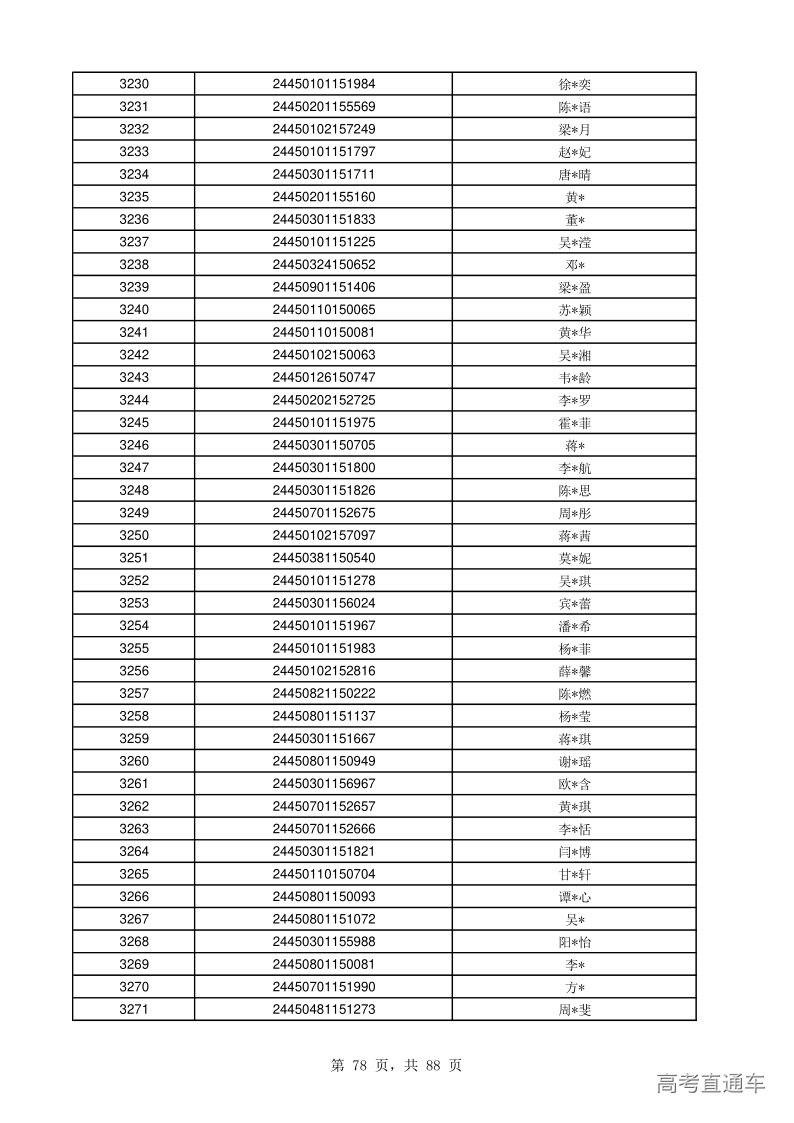
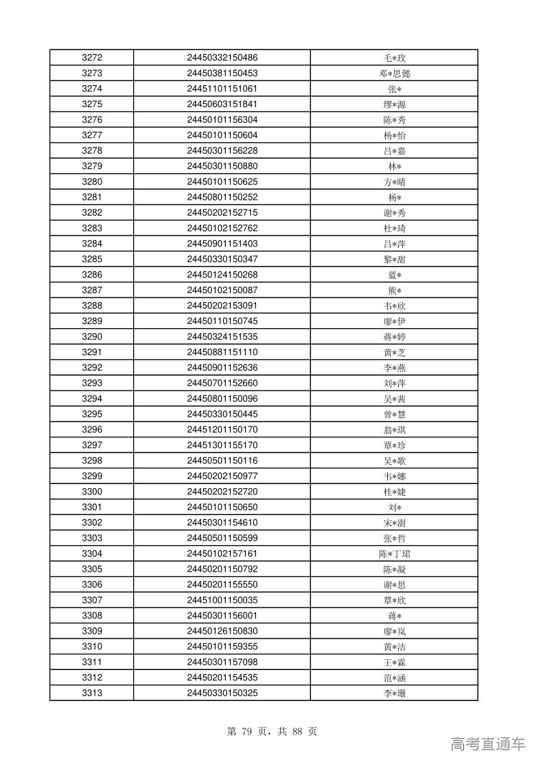
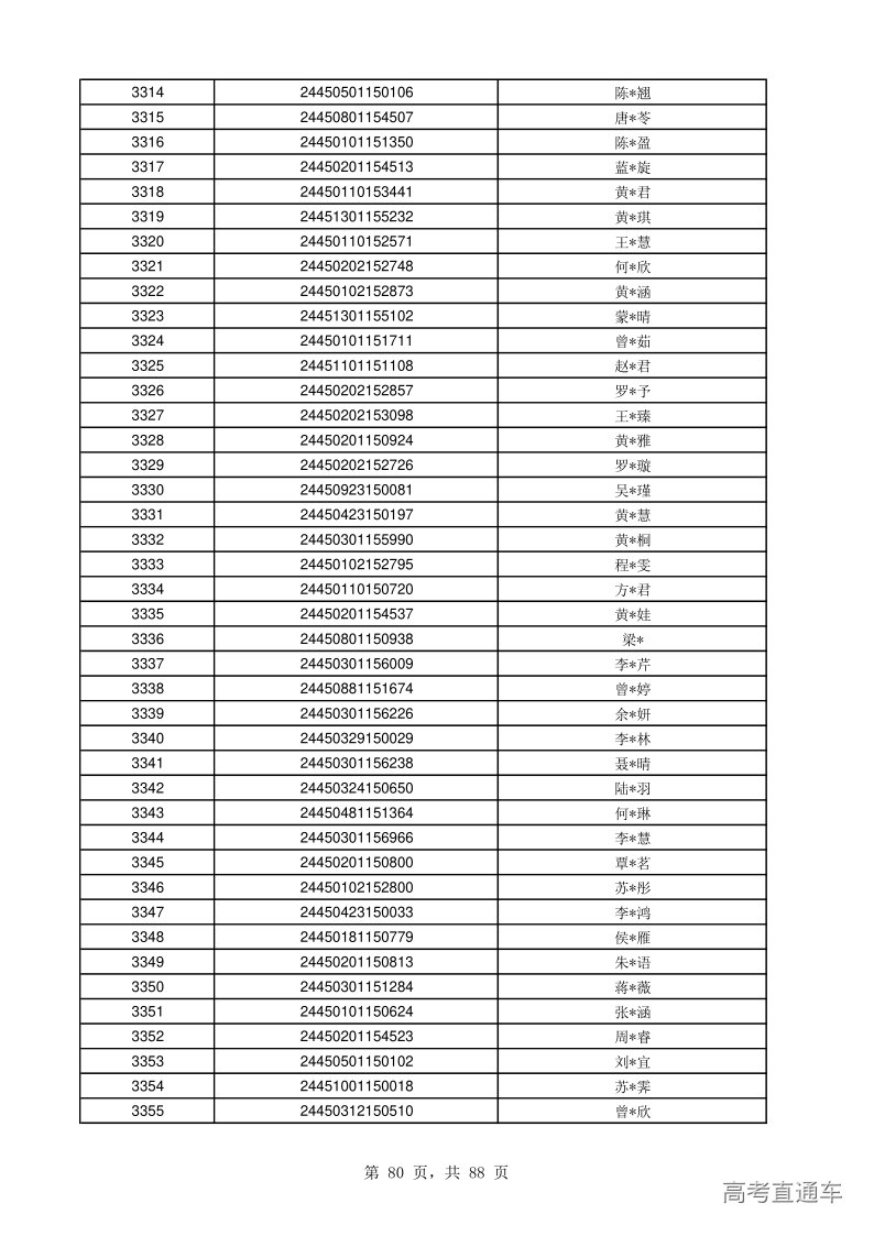
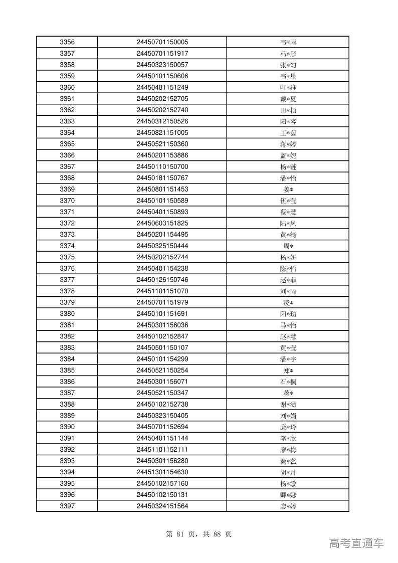
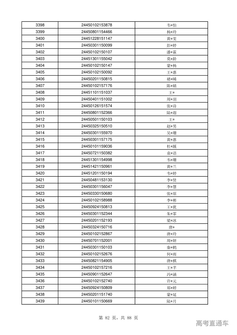
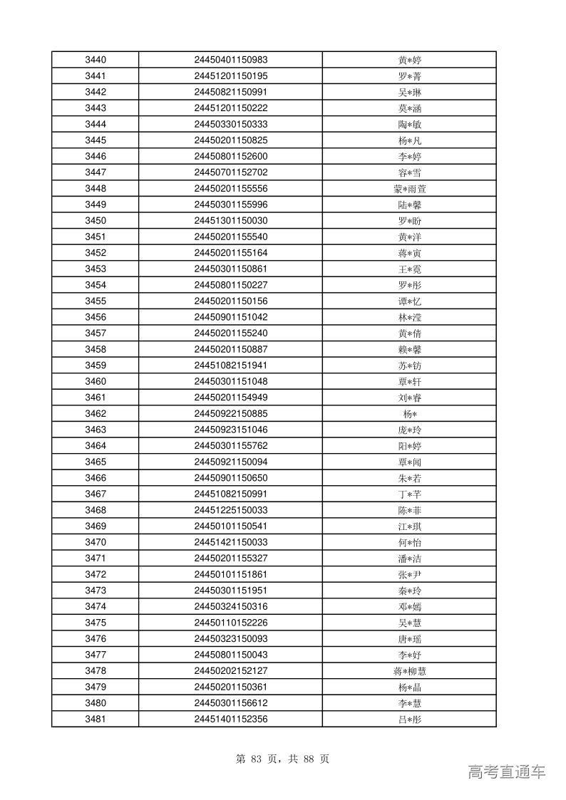
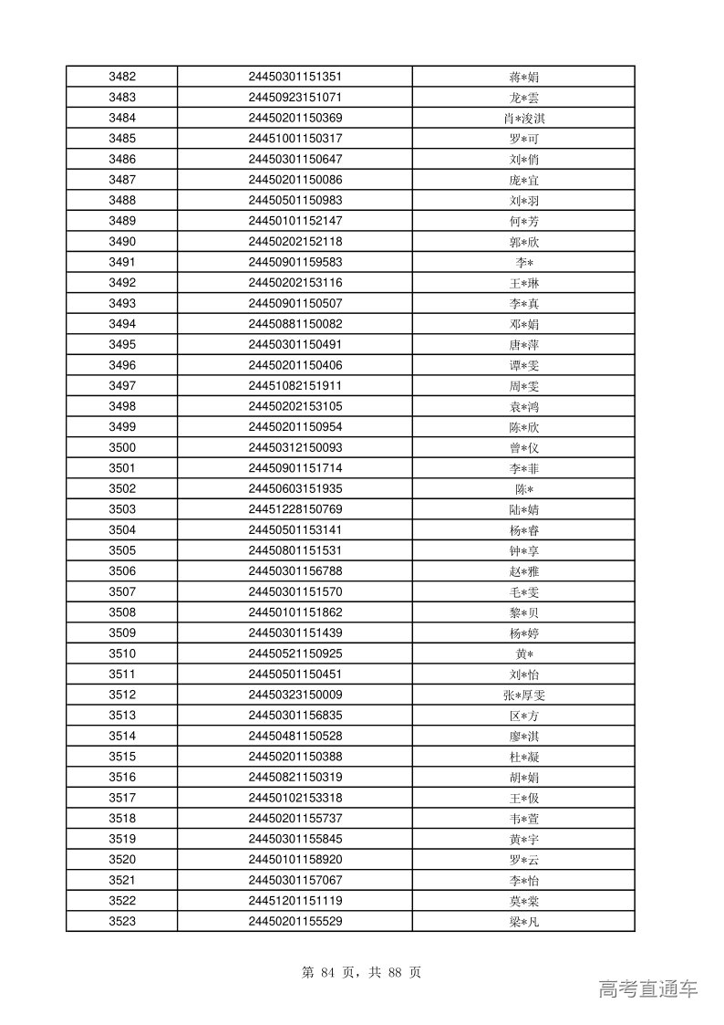
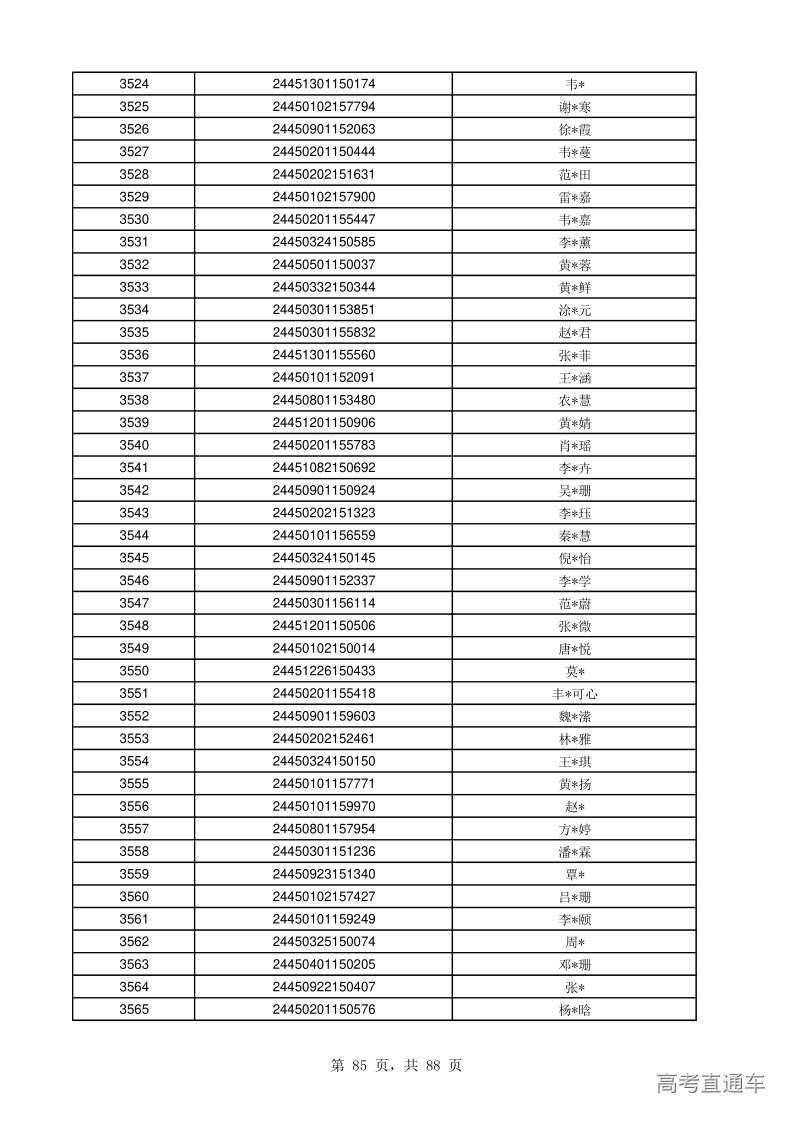
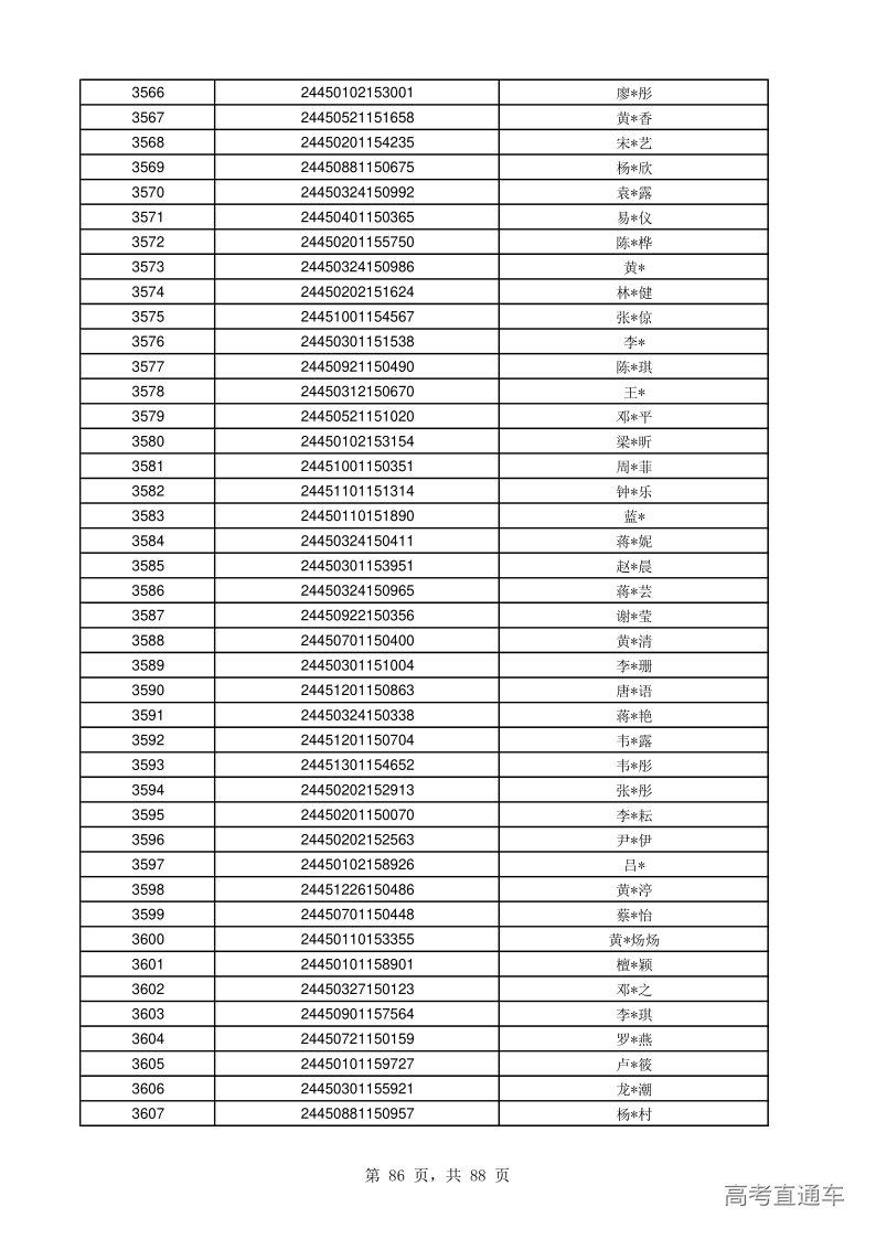
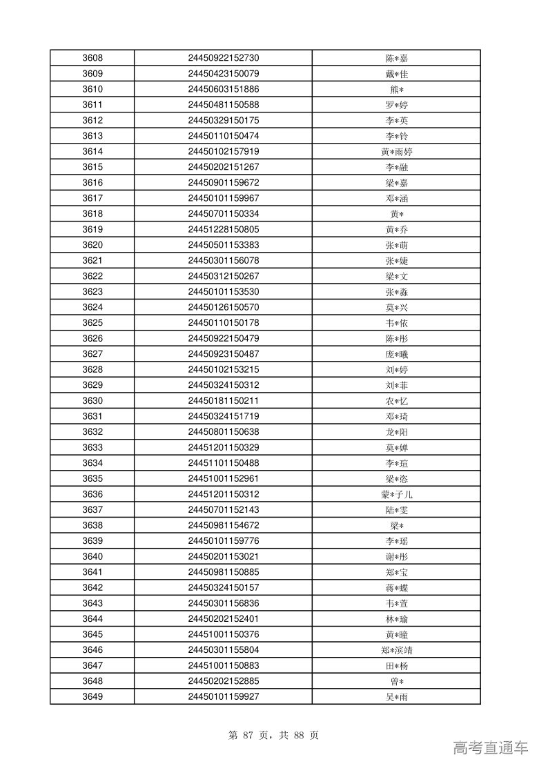
根据《广西壮族自治区2024年公安普通高等院校公安专业招生工作公告》要求及有关规定,广西壮族自治区公安厅政治部会同广西招生考试院根据考生志愿、选科要求和高考成绩(含政策性加分)从高到低的顺序,原则上按照不低于招生计划3倍的比例确定入围广西2024年公安普通高等院校公安专业招生面试、体检、体能测评(上述3项简称“现场测评”)名单,不足此比例的院校专业组,符合报考公安院校基本条件的考生均可参检。现将名单予以公告(名单详见附件,请在电脑端下载查看)。 现场测评于2024年7月2日至7月5日在广西警察学院仙葫校区(南宁市青秀区军堂路6号)开展,每天报到时间为上午7:45-10:00,下午14:30-16:30。 请入围考生于2024年6月30日至7月1日,登录“广西公安普通高等院校公安专业招生考试报名管理系统”(https://gazsks.gat.gxzf.gov.cn,下称“报名管理系统”)进入系统“现场测评预约”页面预约现场测评时间,下载预约凭证,并将凭证带至现场参加测评。报名管理系统采取梯次放号的方式放号,请考生及时关注、尽早预约,以免错过现场测评。确因特殊原因,6月30日至7月1日未完成预约的,后续也可于7月5日16:30前登录本系统网上填报信息、预约和参加现场测评。已入围现场测评考生未在7月2日至7月5日参加现场测评的,视为自动放弃考试资格。 如遇恶劣天气等情况影响正常测评开展的,广西公安厅政治部将另行公告视情延长现场测评时间。 附件:1.广西2024年符合参加公安普通高等院校公安专业招生面试、体检、体能测评资格考生名单 附件1: 附件2: 考生现场测评注意事项 一、面试、体检和体能测评有关要求,请查阅“广西招生考试院”网站(https://www.gxeea.cn/)发布的《广西壮族自治区2024年公安普通高等院校公安专业招生工作公告》(下称“《公告》”)。 二、请考生于预约时间前15分钟到达广西警察学院仙葫校区北门(南宁市青秀区军堂路6号)等候进入考场,测评期间,广西警察学院校园实行封闭管理,考生家长等陪考人员及车辆一律不得进入校园。招生测评现场设置警戒区域,考生和考试工作人员需凭有效证件才能进入指定区域。为避免道路拥堵,请送考人员不要在学校门口聚集等候,送考车辆请按现场交警指引停放或及时驶离;考生及送考人员应提前了解考场周边住宿、交通情况,合理作出安排。 三、考生报到时,需出示本人身份证、户口本、高考准考证、高中毕业证(以上证件均需原件,如因特殊原因未获得高中毕业证的,应提供学校开具并盖章的考生已获得高中毕业资格的证明原件)、考生承诺书、公安院校公安专业本专科招生考生患病经历申报表(详见《公告》附件2、3)、预约凭证(可在广西公安普通高等院校公安专业招生考试报名管理系统预约后下载,如未入围则不能预约和参加现场测评)和近期一寸免冠彩色照片3张。 四、工作人员将通过“人脸识别”系统等对考生进行现场核查比对。建议考生运动服(或者便于运动的服装)、运动鞋(立定跳远项目不得穿钉鞋、皮鞋、塑料凉鞋参加),携带适量饮用水、黑色签字笔和适量补充体能的饮品或食品;严禁携带贵重物品,如有丢失、损毁等情况后果自负。考生需提前在手机、手环、手表等电子设备贴上标签并标注本人名字,参加现场测评期间,考生需将手机等电子设备调至飞行模式或关机状态,并交引导员保管。现场测评没有需要空腹的项目,考试当日早上可以进食。考生进入考场后,在现场测评结束前,未经批准不得擅自离开考场;严禁考生私自查阅测评表格。 五、每名考生只能参加1次公安普通高等院校公安专业招生现场测评,考生在现场测评工作区域不得使用手机及其他通讯设备,如考生违反规定,妨碍测评秩序的,一经发现,将按程序取消考生公安普通高等院校公安专业招生现场测评成绩。 广西壮族自治区公安厅政治部 2024年6月30日
查看完整试题
登录查看完整试题答案
阅读数:1.9 k
特别声明:
1. 本站注明稿件来源为其他媒体的文/图等稿件均为转载稿,本站转载出于非商业性的教育和科研之目的,并不意味着赞同其观点或证实其内容的真实性。如转载稿涉及版权等问题,请作者在两周内速来电或来函联系,本站根据实际情况会进行下架处理。
2. 任何媒体、网站或个人未经本网协议授权不得转载、链接、转贴或以其他方式复制发表,违者本站将依法追究责任。
1. 本站注明稿件来源为其他媒体的文/图等稿件均为转载稿,本站转载出于非商业性的教育和科研之目的,并不意味着赞同其观点或证实其内容的真实性。如转载稿涉及版权等问题,请作者在两周内速来电或来函联系,本站根据实际情况会进行下架处理。
2. 任何媒体、网站或个人未经本网协议授权不得转载、链接、转贴或以其他方式复制发表,违者本站将依法追究责任。























































































