尽管经过多年的改革,广东平行志愿的投档规则已最大程度降低考生落榜的风险,但每年还是会有同学遗憾落选,因种种原因与心仪的大学失之交臂,补录成为每年必会上演的环节,对很多考生来说也是一次宝贵的机会。
很多不过线,或者上线了担心退档、滑档的考生,想知道没被录取后怎么参加补录、有什么要求、什么时候补填志愿、会不会降分补录……
本文,我们根据已正式公布的政策及往年做法,给大家介绍广东高考补录的相关情况,希望大家有所准备,不要错过机会。


补录,也叫征集志愿。
通俗说,就是在录取结束后,针对有些高校没有招满人的情况,省招办公布补录的分数线(是否降分及降分幅度看缺额情况)、仍有缺额的院校/专业/具体人数等,供还未被录取、达到补录线和要求的考生,在规定的时间内,自愿选择是否重新填报志愿,重新参加录取的做法。
想参加补录的同学,先上网查看需要补录的学校、专业、人数、要求,然后在规定的时间内上网填报志愿,完成志愿确认,等待录取。


根据省考试院公布的录取日程安排,今年提前批军检和非军检院校补录在7月14-15日进行,本科批次补录在7月25-31日进行,专科批次补录在8月8-14日进行。滑动浏览下图了解各批次录取时间👇
省招办会在每个批次录取结束完,公布补录的分数线以及需要补录的学校和专业计划,高考直通车也会及时跟进,第一时间向大家介绍各批次的补录安排,可扫码进补录群了解最新情况👇


1.参加提前批本科补录的条件:没被提前批本科录取+上了补录线+符合条件(比如军检类院校必须是原来已考核通过的学生)。
2.参加本科批次补录的条件:没被提前批本科+本科批次录取+上了本科补录线+符合相关条件(有的专业有身体或成绩要求,有的专业限地方专项资格考生等)。
3.参加专科批次补录的条件:还没被录取(包括还没被春季录取)+上了专科补录线+符合相关条件(有的专业有身高或成绩要求等)。
注:提前批专科在本科批次补录后、专科批次开始前进行,是否有补录请留意通知。

按照广东最新规定,已在2024年春季的依学考或高职自主招生中录取的同学,不能再被提前批专科卫生专项、专科批次录取,但可以参加提前批本科、本科批次、提前批专科定向培养军士的录取和补录。
不过要注意,这些考生一旦被本科、定向培养军士录取,则自动取消春季的录取结果。


关于今年补录会不会降分,还得看官方公布。但可以确定的是,补录前是不会降分的。没到本科线但想读本科的同学,在补录前是没有机会被本科层次学校录取的。也就是说,不到线也不需要在这个时间点填报本科志愿。没到专科线但想读专科的同学,也是一样的道理。
补录降分一般是在补录后仍没有招满的情况下执行。这里说的降分是指降低填报志愿的省控线,譬如本科线是400分,补录时会降至390分,那原来在本科线下10分的考生就有机会填报本科补录志愿了。
而具体到各高校是否降分,降多少分,取决于实际填报及录取情况,往年不少高校在补录时的投档线比第一次投档更高,以广东2023年本科普通类为例:
物理类:补录排位超过正投5万个位次的专业组有10个,主要集中在公办院校的专业组。排位涨幅最大的达到112930个位次,为北方民族大学(中外合作办学)206专业组;
历史类:补录排位超过正投1万个位次的专业组更是有足足20个,且民办院校的专业组涨势更猛。排位涨幅最大的达到42982个位次,为广东科技学院208专业组。
滑动浏览↓


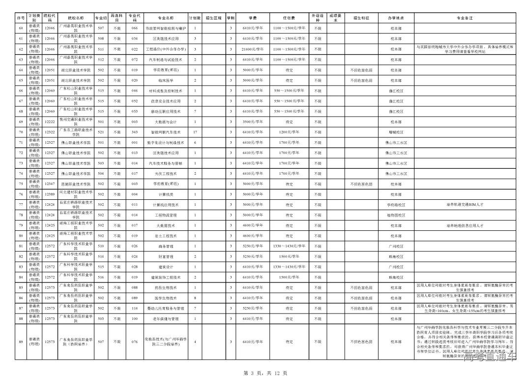
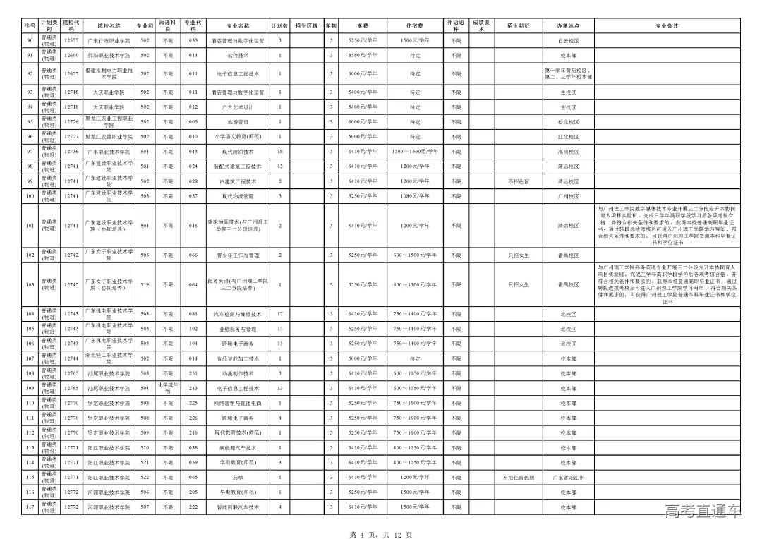
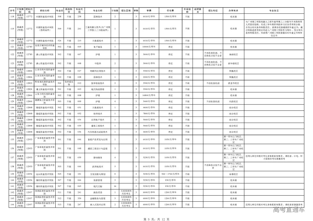
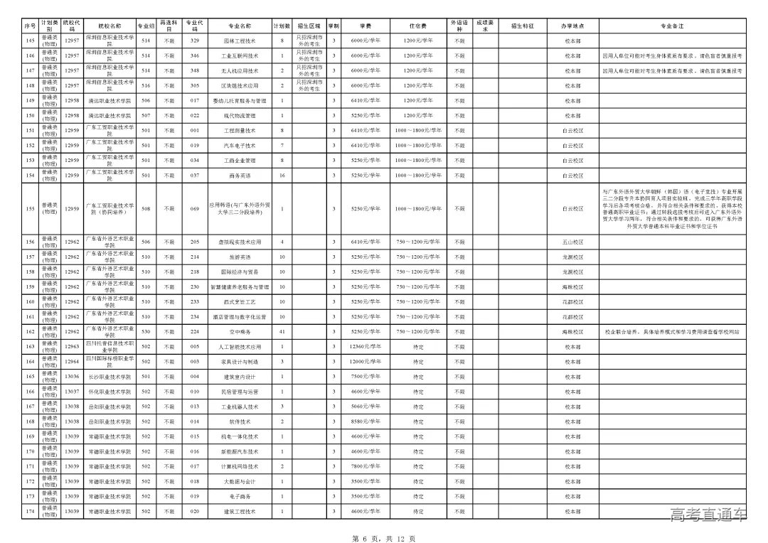
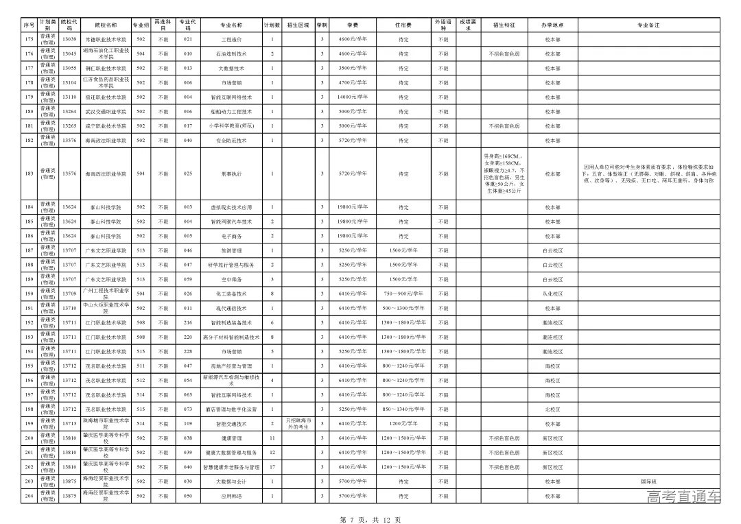
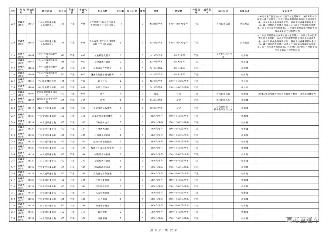
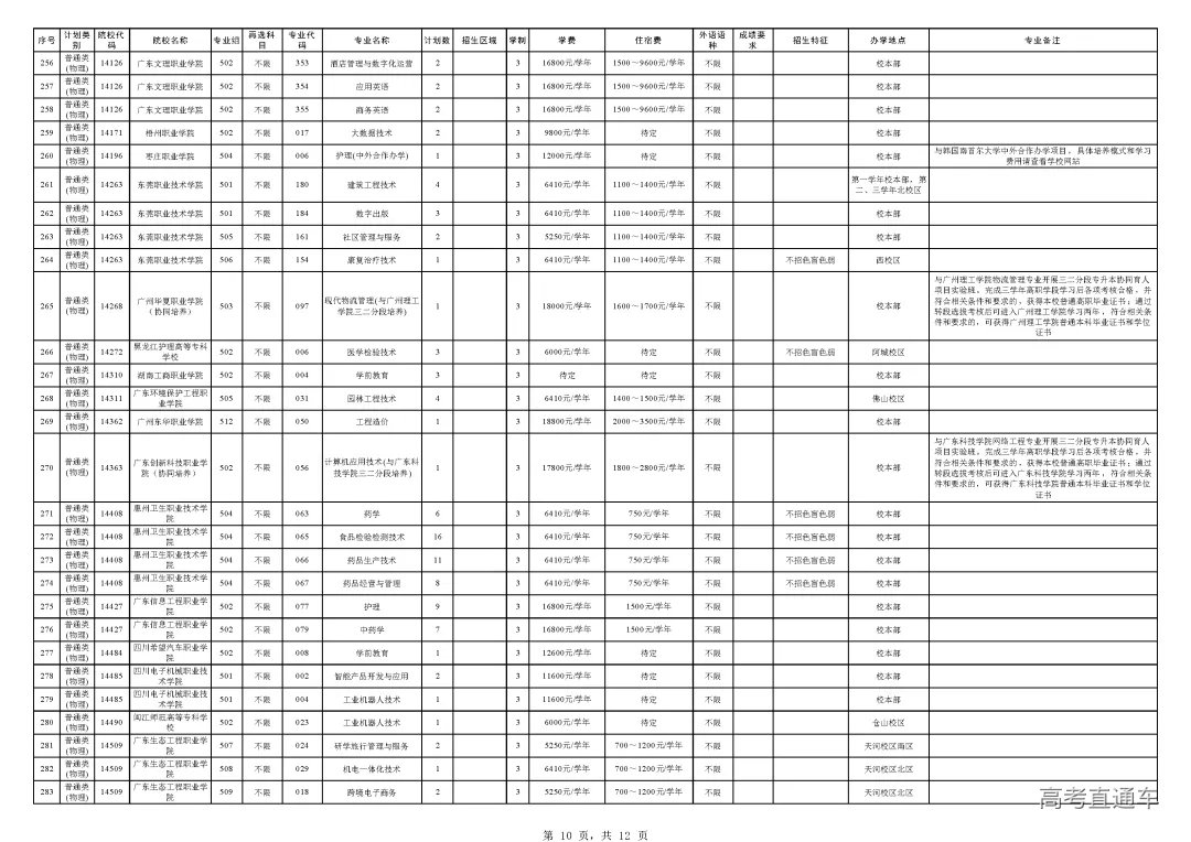
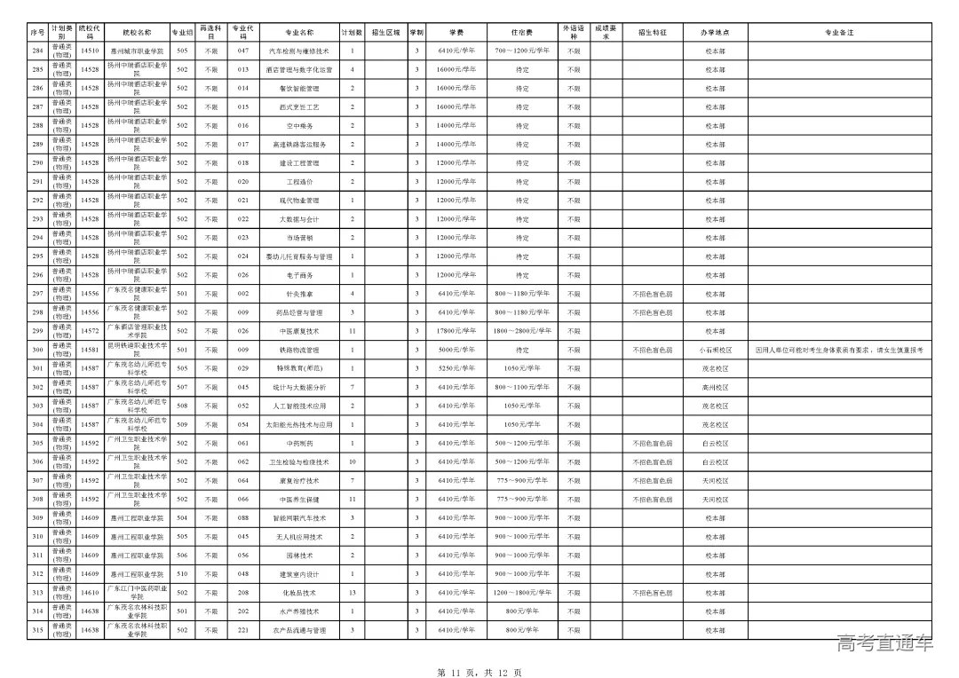
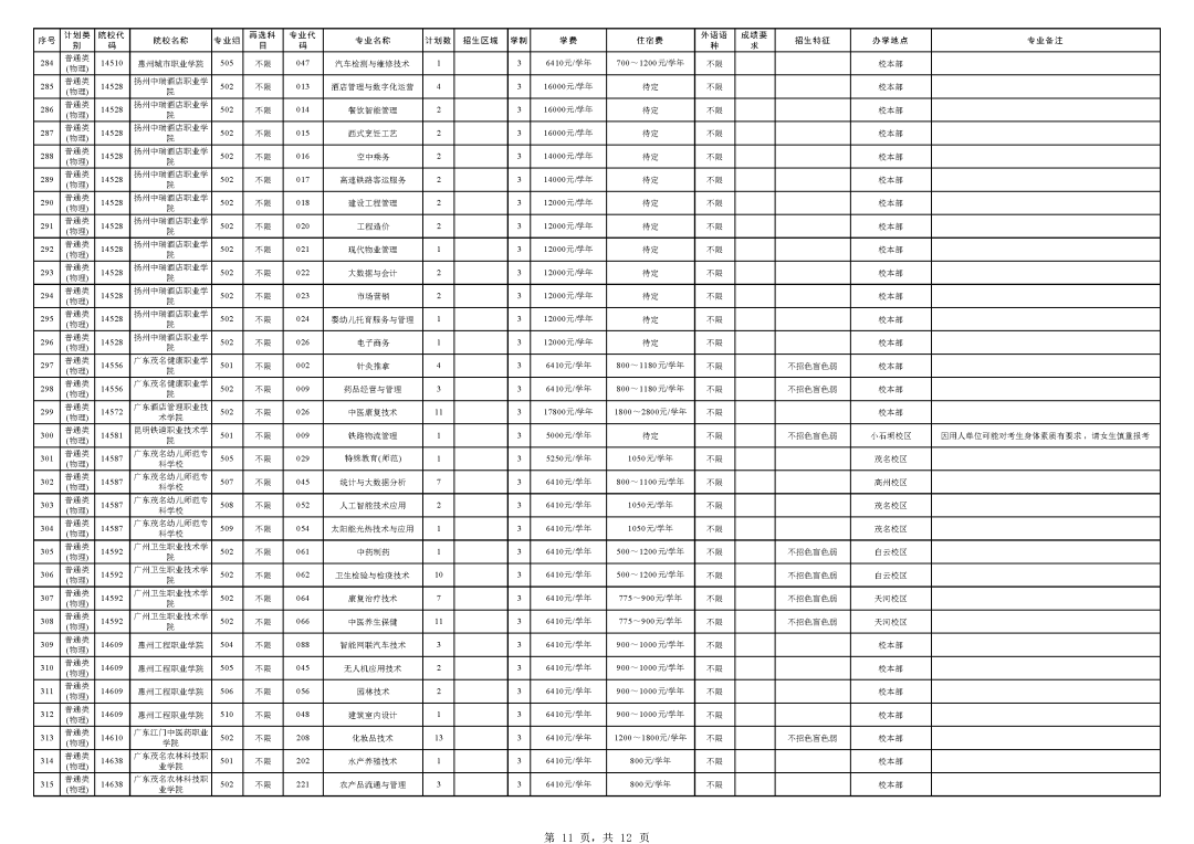
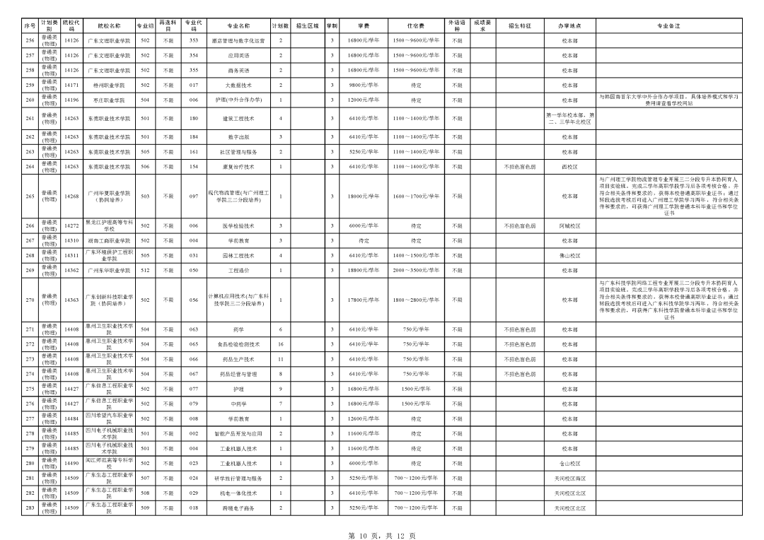
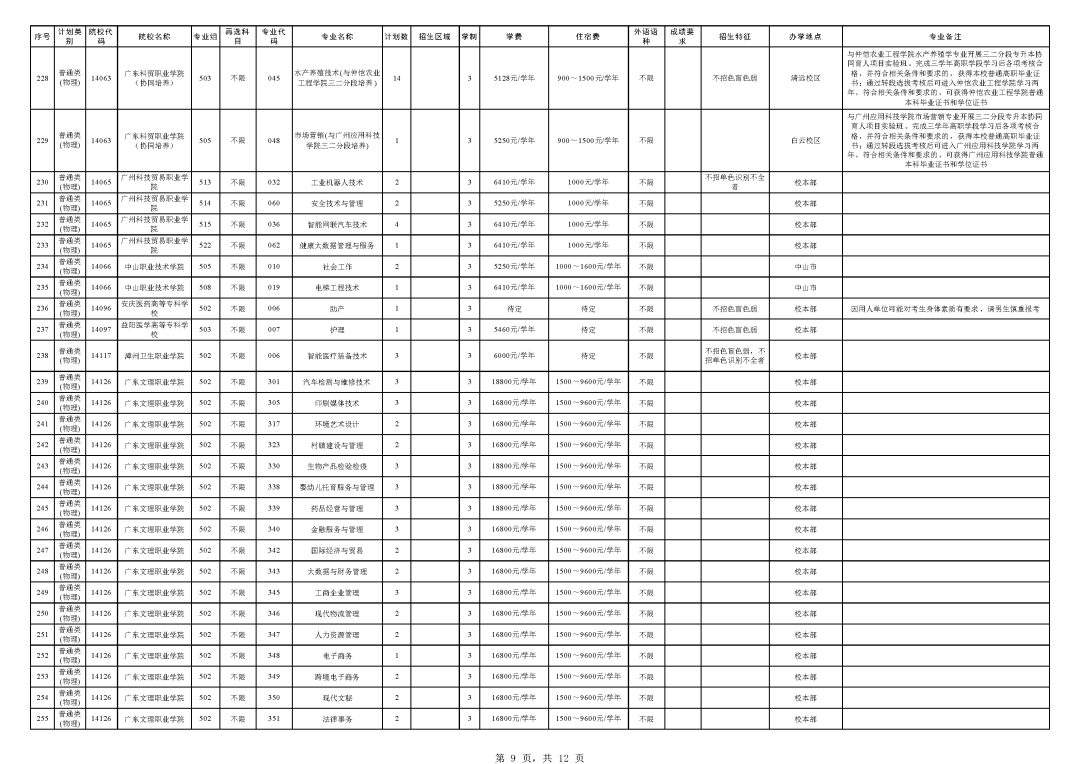
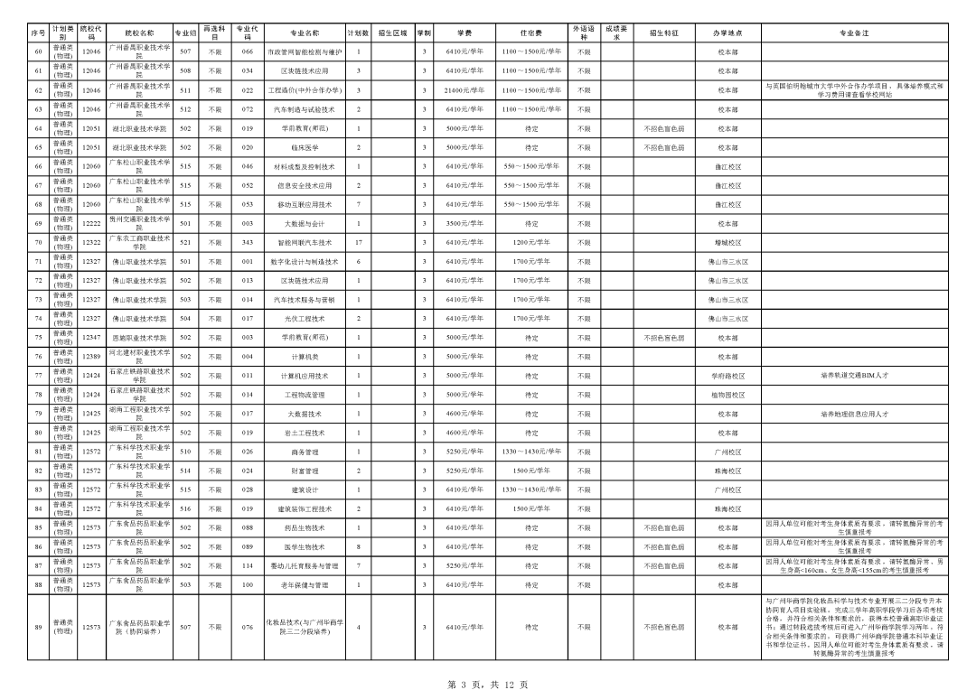
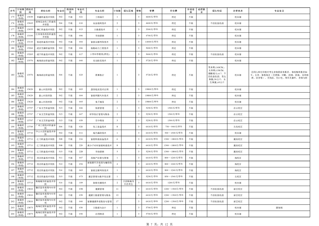
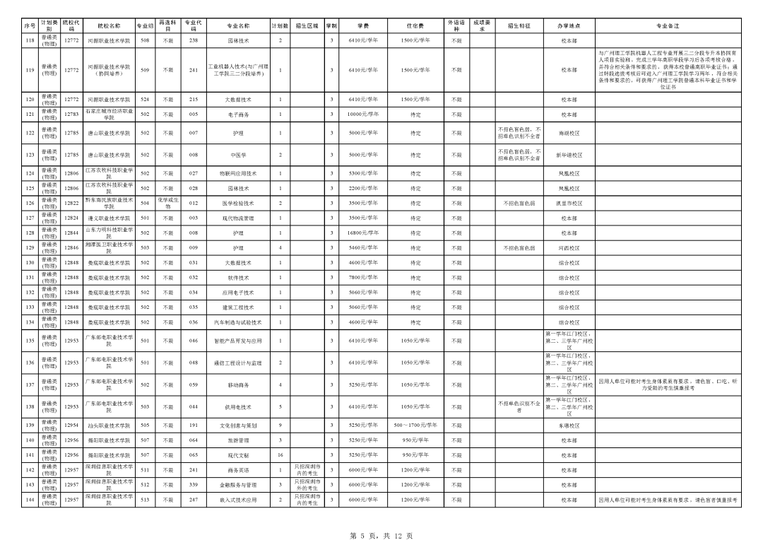
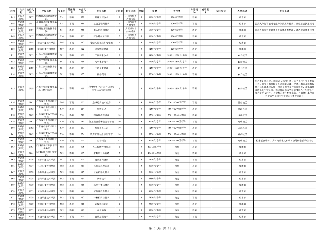
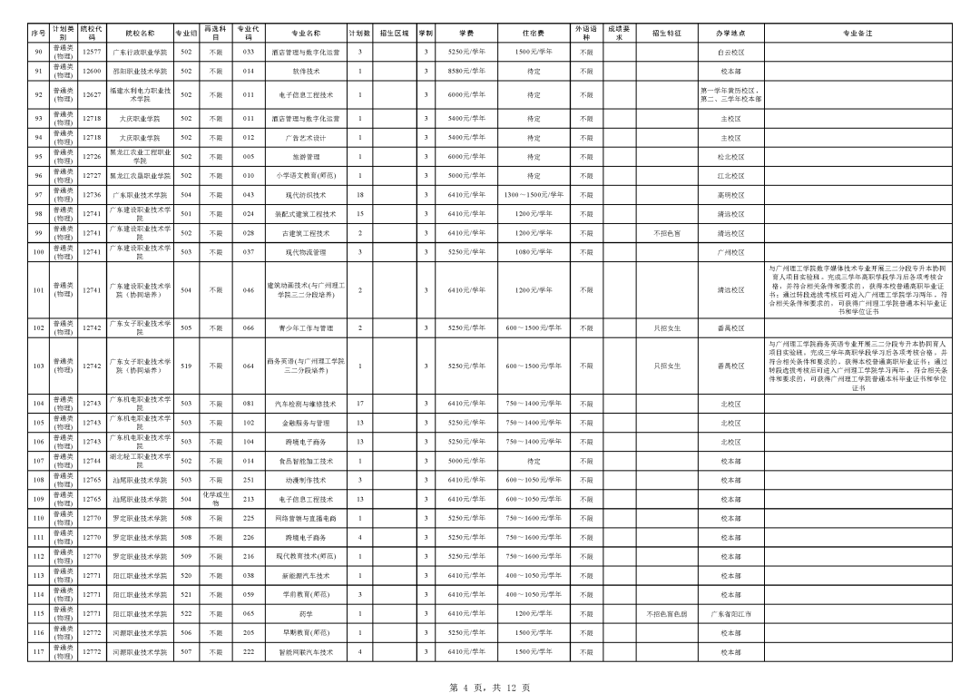
高考直通车整理了2023年广东各批次普通类补录计划及补录投档情况供大家参考(不含提前批及艺体类数据)。

普通类(物理)
第一次补录计划
第二次补录计划
第一次补录投档情况
第二次补录投档情况
普通类(历史)
第一次补录计划
第二次补录计划
第一次补录投档情况
第二次补录投档情况

普通类(物理)
补录计划
补录投档情况
普通类(历史)
补录计划
补录投档情况


如果补录不成功,不会影响下一批次的录取(即会按原来填好的志愿继续参加下一批次的录取)。如果补录成功,则不能参加后面批次的录取。

①A考生是本科分数,填了提前批本科 非军检类、本科、专科3个批次的志愿。按录取顺序,首先轮到提前批本科 非军检类的录取,没有录取成功,刚好该批次有学校没有录满,他参加了补录,很不巧也没有录取成功,不过他依旧可以参加后续本、专科批次的录取。
等到本科批次的时候,他又是没有录取成功,于是继续参加了本科补录,最终补录成功(这个时候,专科批次的志愿也作废了)。
②B考生是专科分数,本科补录降分时他达到分数线了,便去补填志愿。如果补录成功,则不再参加专科录取。如果没有成功,则按原来填好的专科志愿继续参加专科的录取。
当然
补录是下下策
祝每位考生都能一次上岸
过一个完美安心的假期
















































