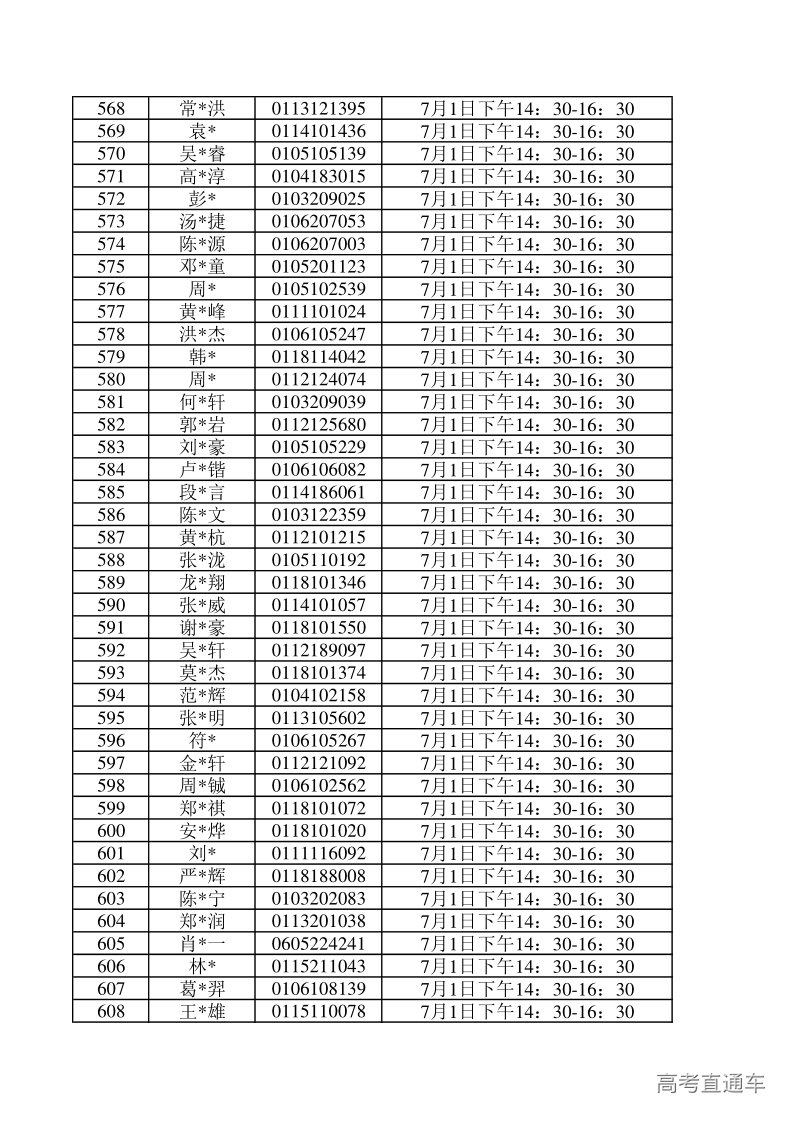
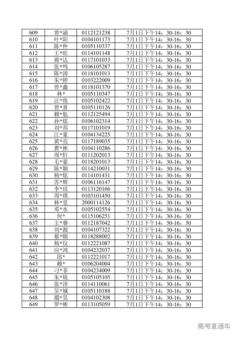
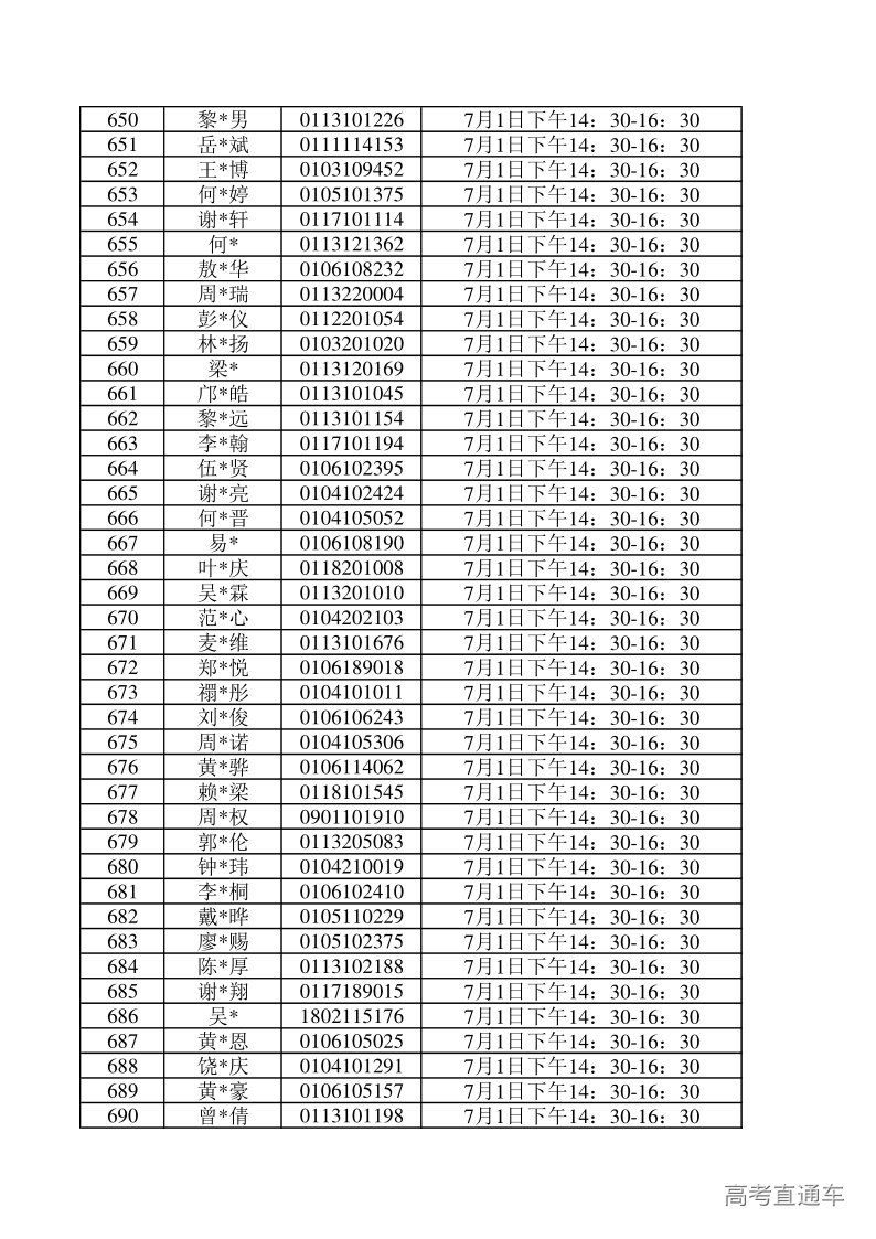
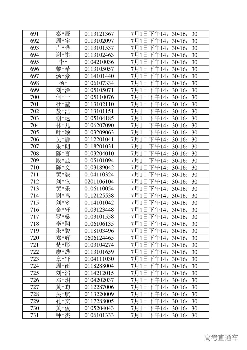
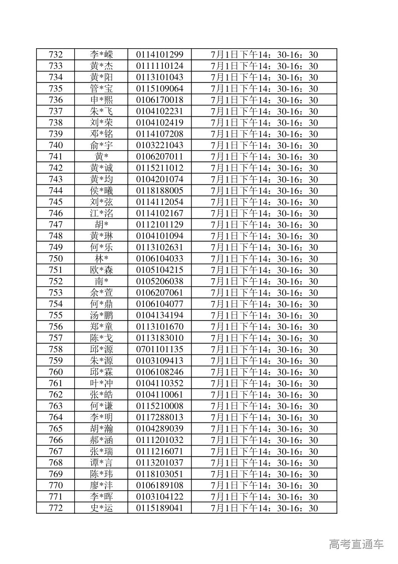
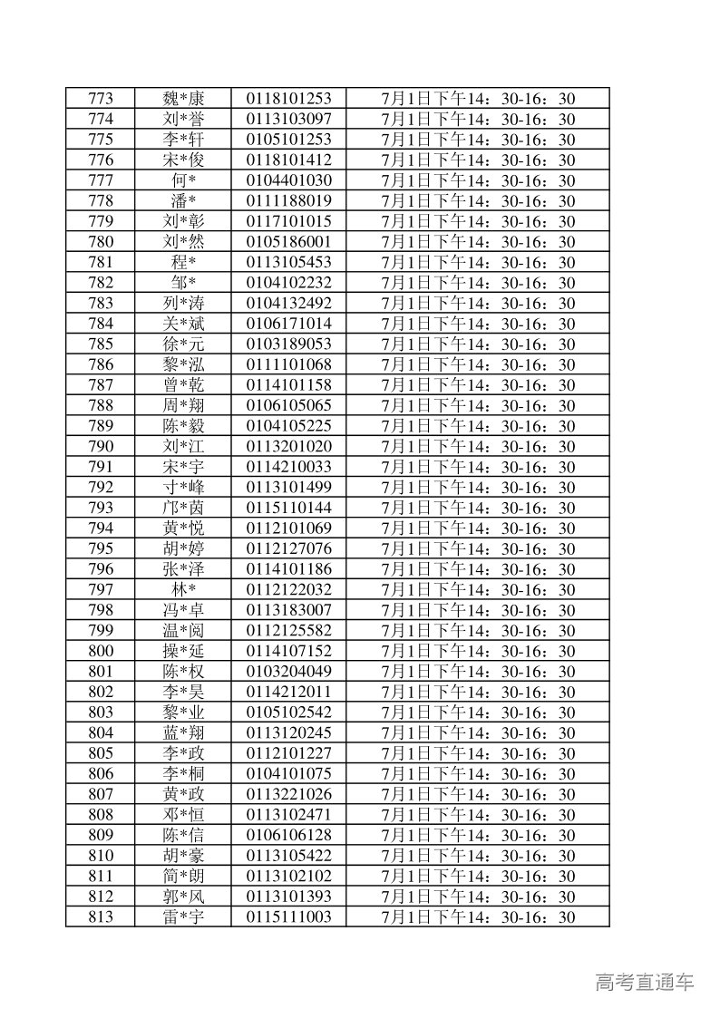
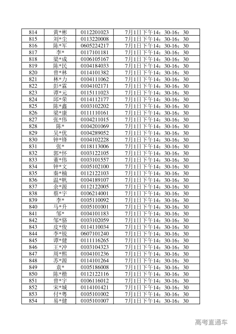
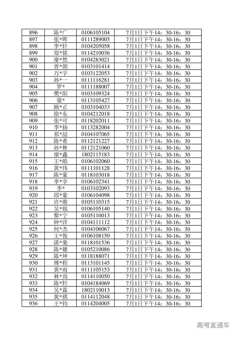
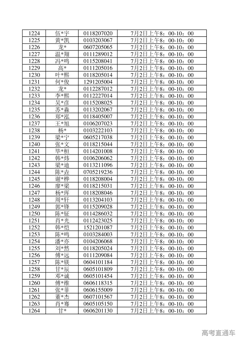
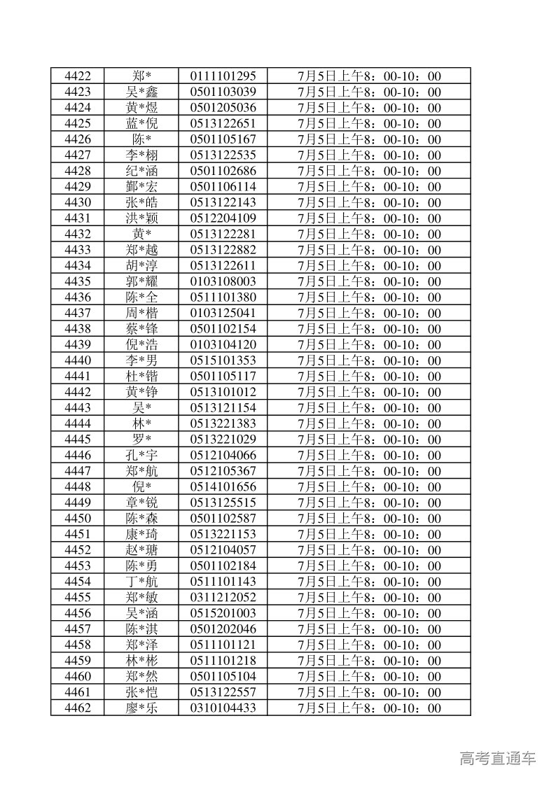
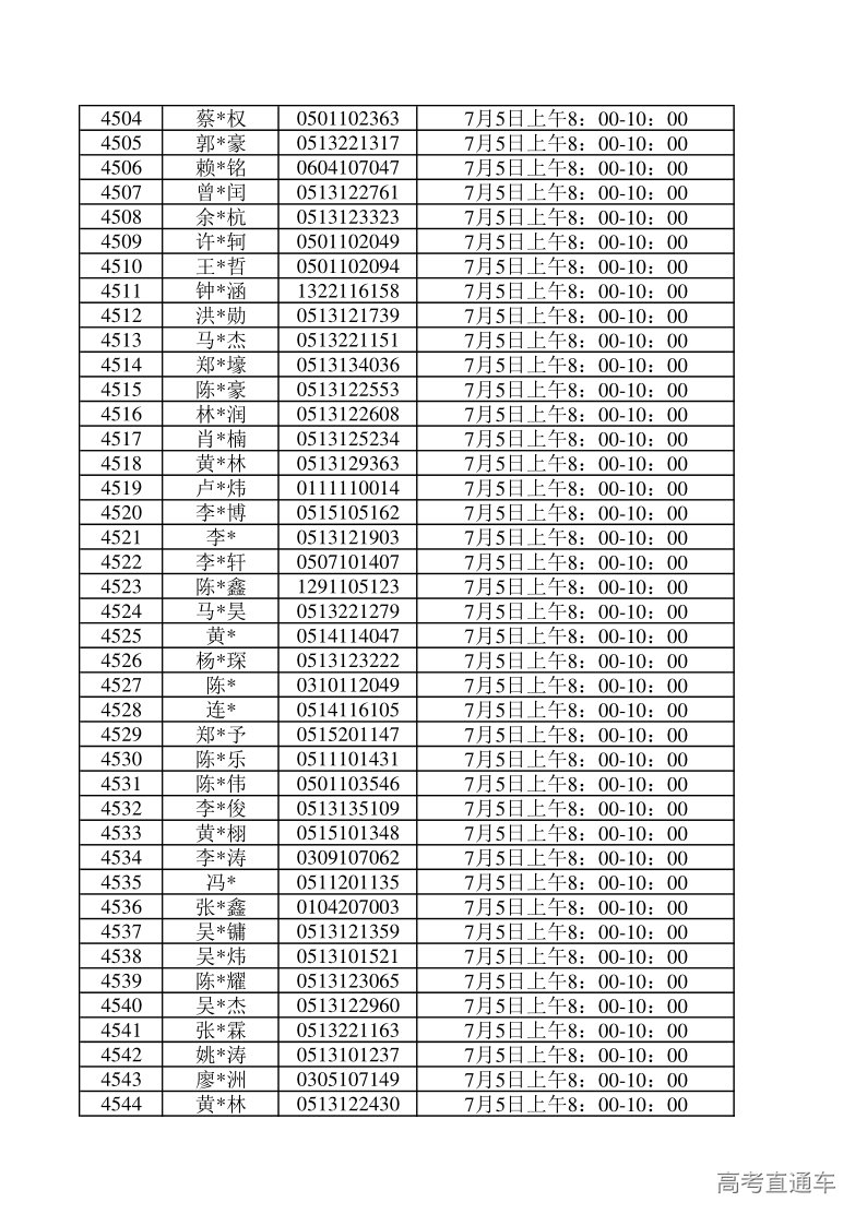
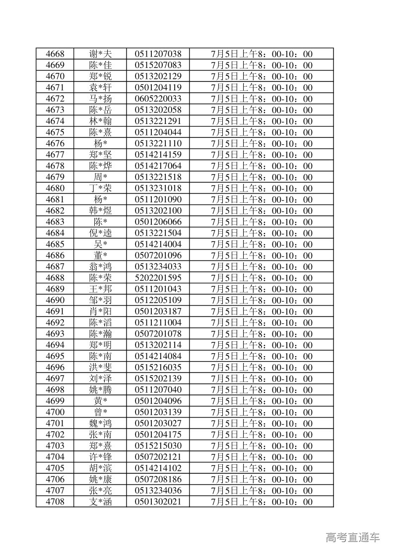
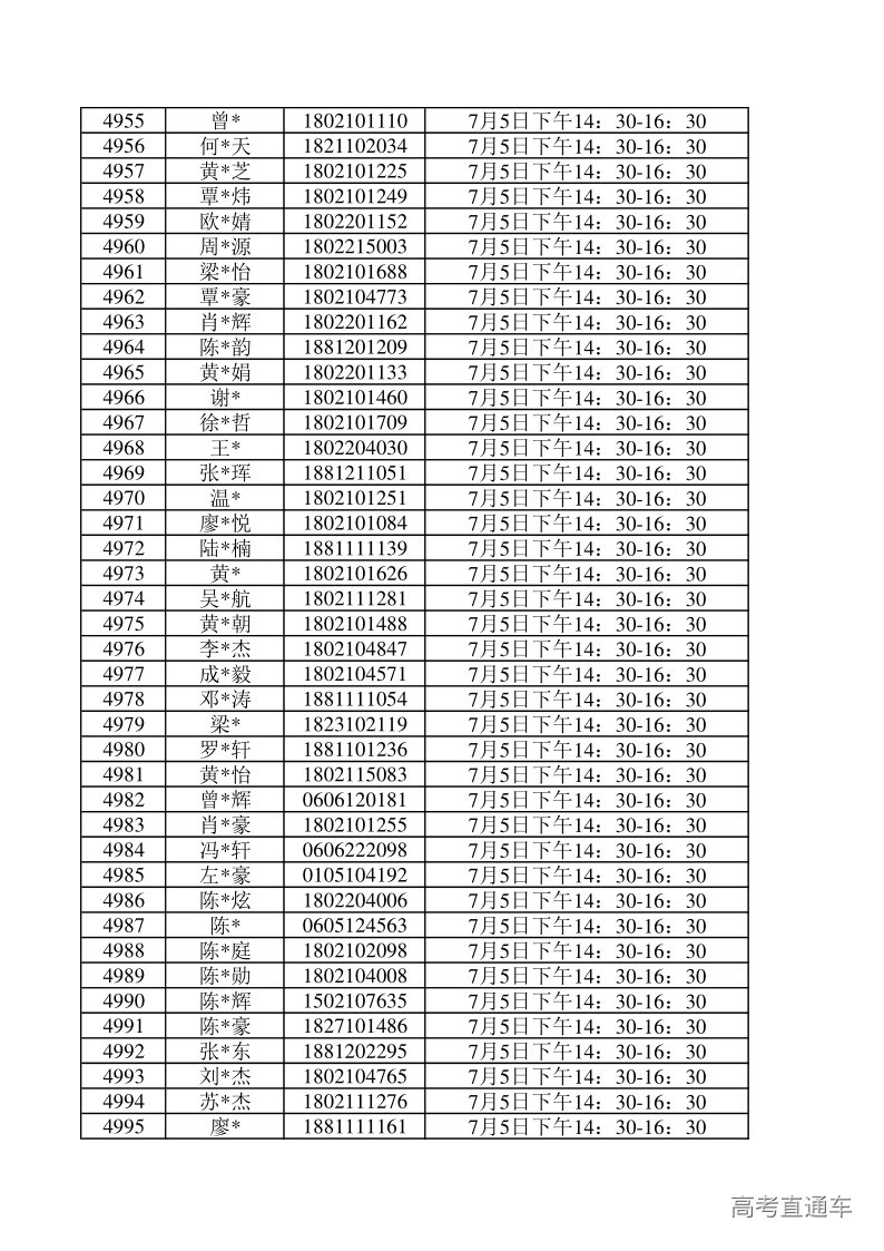
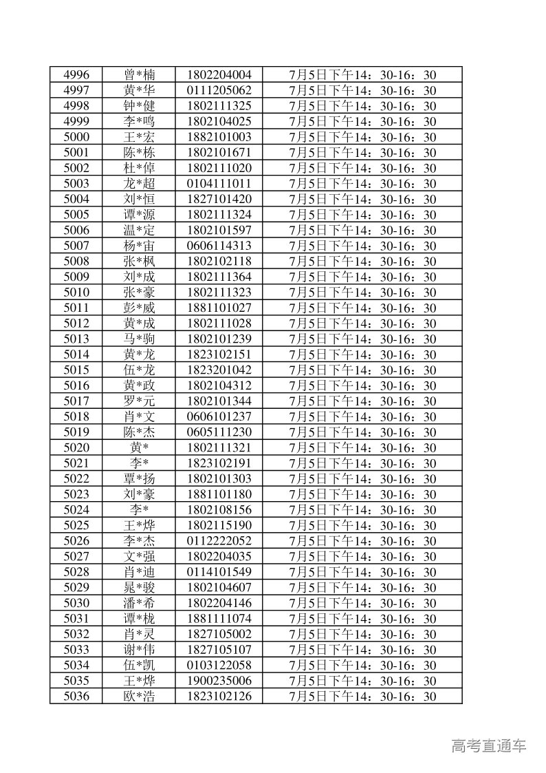
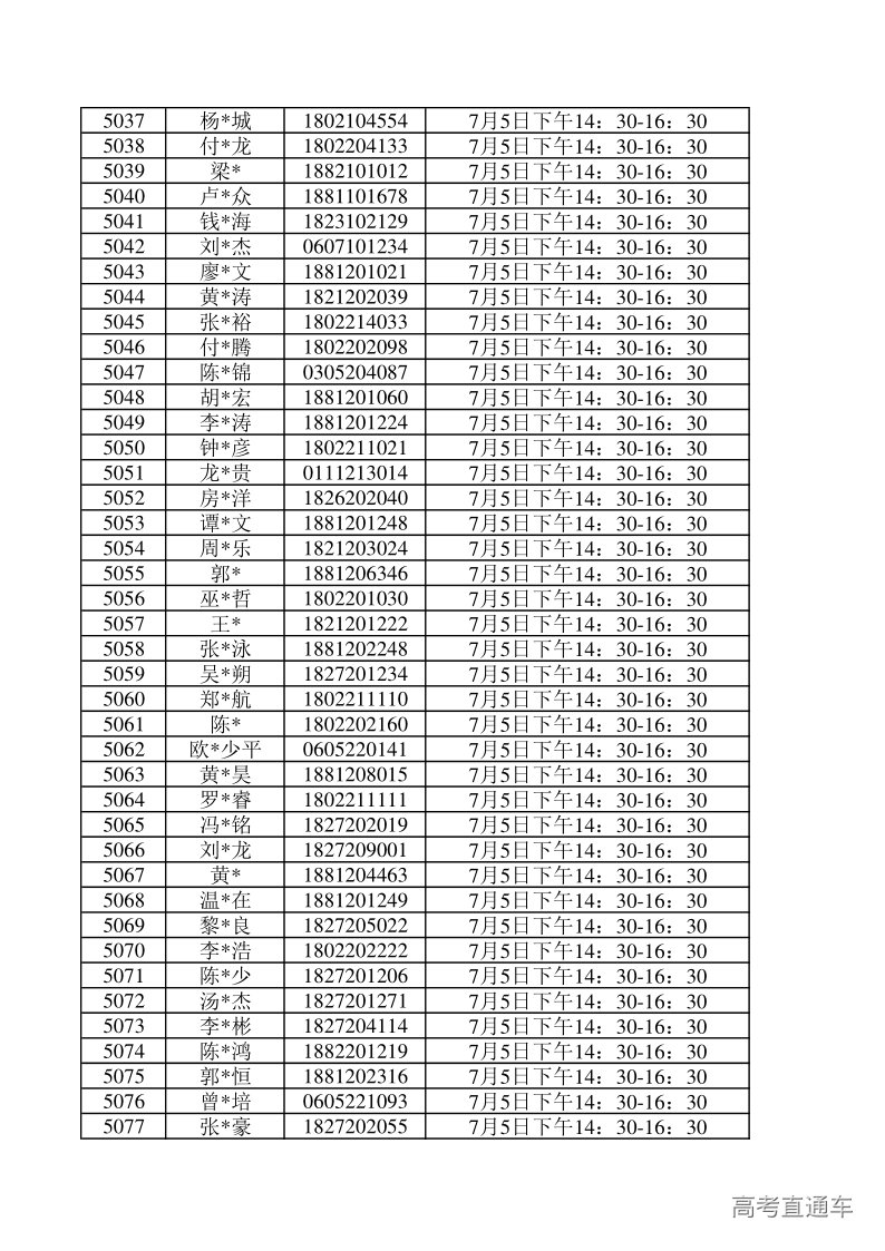
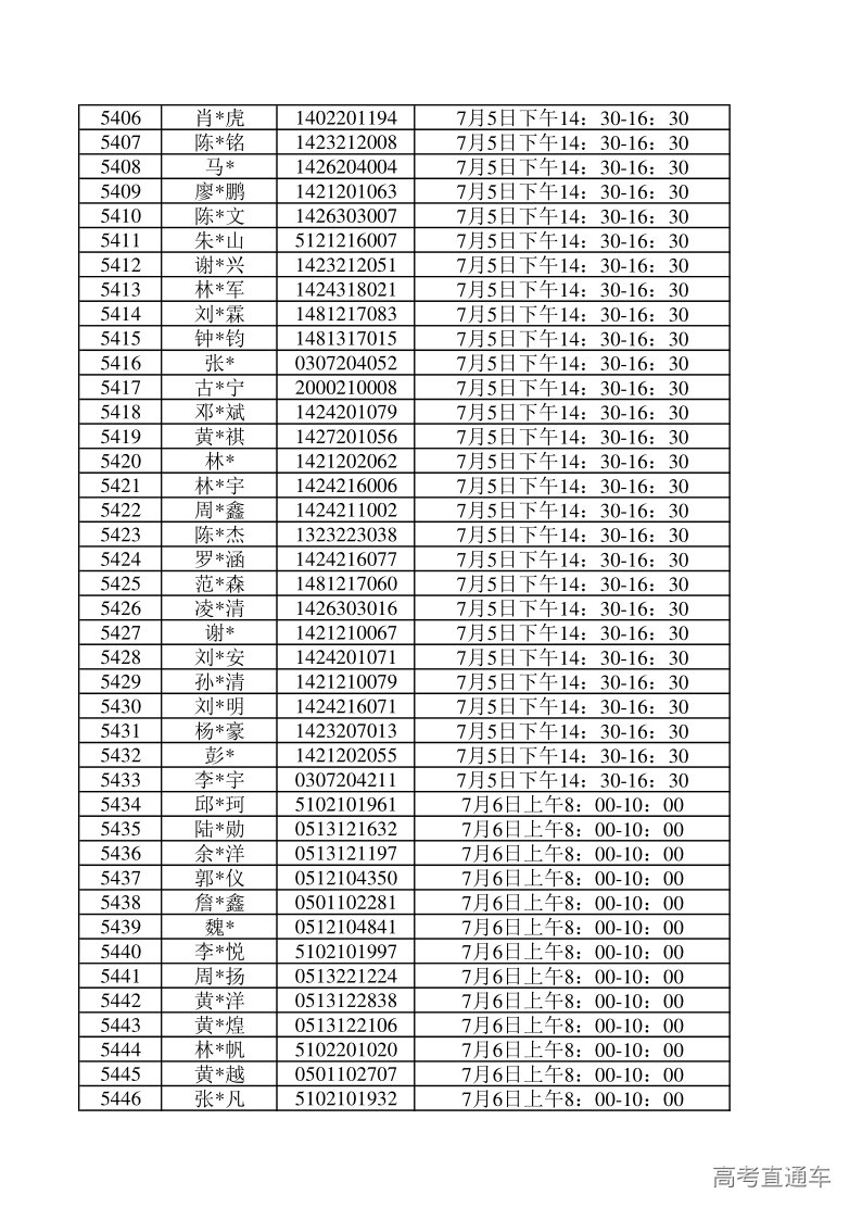
根据广东省公安厅、广东省招生委员会办公室《关于做好广东省2024年公安普通高等院校公安专业招生工作的通知》要求及有关规定,按照考生志愿及高考成绩顺序,经审核,程*淇等7668名考生(名单详见附件,请在电脑端下载查看)符合参加广东省2024年公安院校公安专业招生政治考察、体检、面试、体能测评资格条件,现予以公告。
体检、面试、体能测评定于7月1日至7月7日在广东警官学院嘉禾校区(广州市白云区东平文盛庄路118号)开展,每天报到时间为上午8:00至10:00,下午14:30至16:30。请入围考生按照本公告附件或短信通知中的具体时间安排前往考场报到。政治考察、体检、面试、体能测评有关要求,请查阅广东省公安厅官方政务网站(gdga.gd.gov.cn)和广东省教育考试院官方网站(eea.gd.gov.cn)发布的报考须知。报到考生统一从广东警官学院嘉禾校区南门进入考场,考场内不提供车位,送考车辆及人员严禁进入考区或在考场门口区域聚集等候,送考车辆请按现场交警指引停放或及时驶离,请提前了解考场周边住宿、交通情况,合理作出安排。考生报到时,需出示本人身份证(无身份证的携带户口本)、《公安院校公安专业本专科招生考生患病经历申报及体能测评健康承诺表》(原件,单面打印不装订)、高考体格检查材料(原件或复印件均可,单面打印不装订)以及通知参加测评的手机短信凭证,工作人员将现场通过人脸识别系统等进行身份查验。建议考生着运动服、运动裤、运动鞋袜参检参测;请携带适量补充体能的饮品或食品(体检前请勿饮用功能饮料等可能影响血压、心率的饮品);严禁携带贵重物品,如有丢失、损毁等情况后果自负。考生进入考场后,在测评结束前,未经批准,不得擅自离开考场;考生测评结束离场后,不得再次进入考场。考生因突发疾病、女生因生理期等身体原因无法按时参检参测的,可通过咨询电话或到招生工作现场申请调整参检参测时间,但仍需在7月7日前参检参测。未在规定时间内参加政治考察、体检、面试、体能测评的考生,取消公安院校公安专业录取资格。
广东省公安厅政治部根据考生政治考察、体检、面试、体能测评结果确定合格考生名单,于7月10日前报广东省招生委员会办公室和公安部人事训练局,并在广东省公安厅官方政务网站(gdga.gd.gov.cn)公布查询渠道,供考生查询本人政治考察、体检、面试、体能测评结果。
招生工作咨询电话:(020)34067093,工作时间为6月15日至7月10日(8:30-12:00,14:30-17:00);
招生智慧政审系统技术保障电话:19924222707,工作时间为6月24日至7月6日(9:00-12:00,15:00-18:00)。
附件:广东省2024年符合参加公安院校公安专业招生政治考察、体检、面试、体能测评资格条件考生名单和报到时间安排.xlsx
广东省2024年符合参加公安院校公安专业招生政治考察、体检、面试、体能测评资格条件考生名单和报到时间安排.xlsx
广东省2024年符合参加公安院校公安专业招生政治考察、体检、面试、体能测评资格条件考生名单和报到时间安排.pdf
广东省公安厅政治部
2024年6月30日



























































































































































































