近日,教育部组织完成了2022年高等职业教育专科专业设置备案和审批相关工作。经省级教育行政部门备案并在教育部汇总的2022年拟招生专业点共63383个,备案结果可在全国职业院校专业设置管理与公共信息服务平台(网址:zyyxzy.moe.edu.cn)查询,专业名称、代码及修业年限以平台公布的为准。
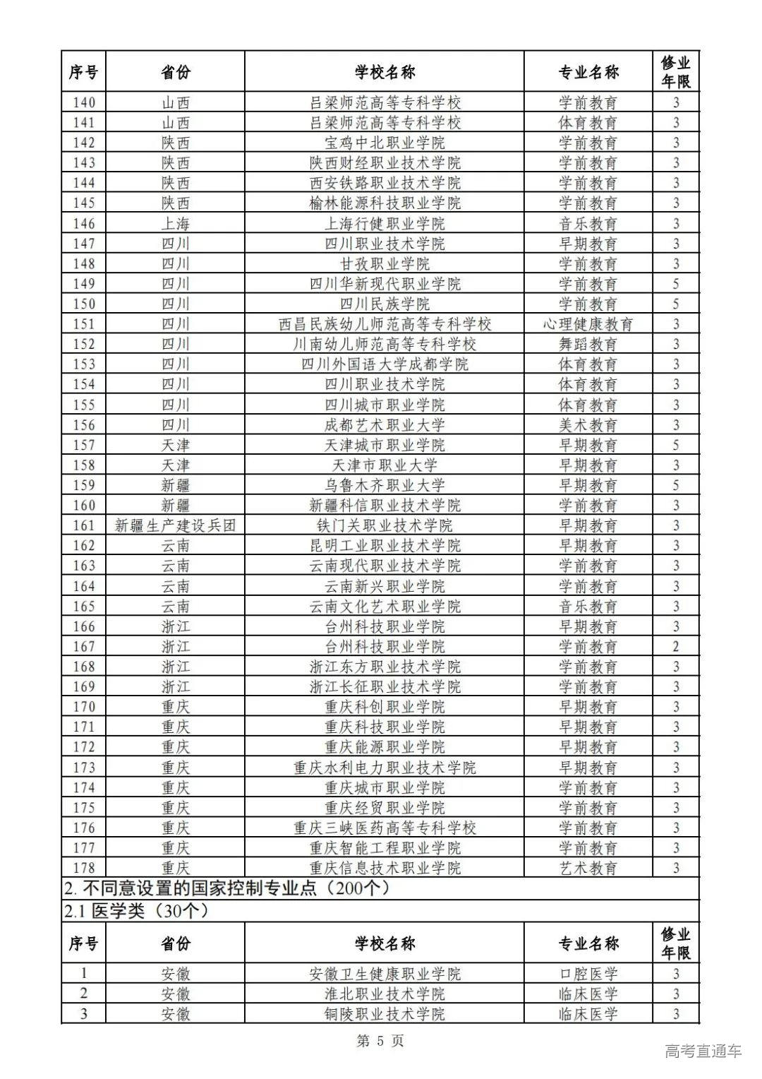
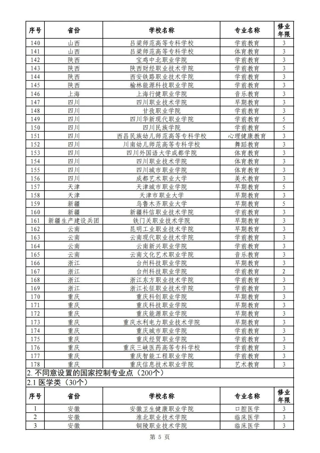
教育部共受理2022年拟新设国控专业点申请409个,经会同公安部、国家卫生健康委、国家中医药管理局等行业主管部门审核,同意设置209个,不同意设置200个,四川新设11个。
一起来看四川新设的有哪些👇
审批结果可在教育部政务服务管理平台(网址:gz.moe.gov.cn)查询。审批同意设置的国控专业将由教育部导入全国职业院校专业设置管理与公共信息服务平台,自2022年起可以招生。
一起来看2022年新设高职专科国控专业审批结果↓↓↓
专业设置备案和审批结果已与全国普通高校招生来源计划网上管理系统相衔接,各有关单位不得将未经备案或审批的专业点添加到招生来源计划管理系统并安排招生。各地要加强对专业办学的监督和指导,特别是医学类和中医类国控专业设置当年招生规模原则上不超过50人。各地要规范工作程序,加强工作协同,严格按照本通知公布的结果指导开展招生录取等相关工作。










