根据国家招生规定,经我校录取的普通高考新生,按学校有关要求在新生报到日起两周内到校报到并办理入学手续。因故不能按期入学的,应与学校联系,办理请假、休学或保留入学资格等手续,未办理以上相关手续的,视为放弃入学资格,学校将对放弃入学资格的新生进行电子档案注销。
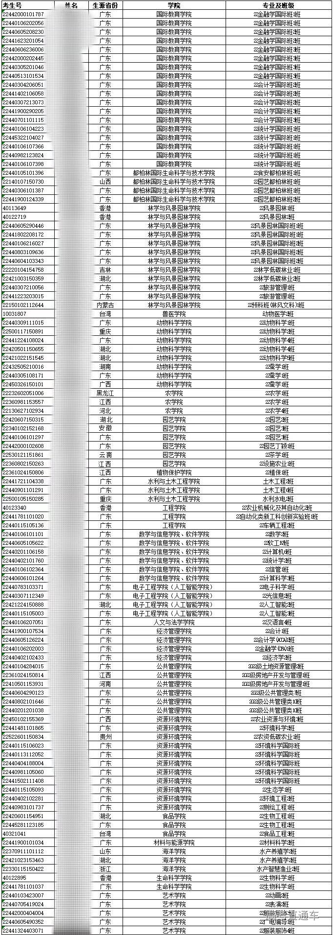
截至2022年10月10日,我校2022年普通高考录取新生,有以下同学在新生报到日起两周内未到校报到并办理入学手续,且未办理请假、休学或保留入学资格等相关手续,我校将视为自愿放弃入学资格。
现对自愿放弃入学资格的新生名单进行公示,公示无异议后,我校将对放弃入学资格的新生进行电子档案注销。
2022年普通高考招生录取未报到新生取消入学资格名单公示
根据我校全日制本科学生学籍管理规定,新生因参军入伍、创业或在新生入学后复查中发现身心状况不适宜在校学习的,可以申请保留入学资格。2022年普通高考招生的新生中,有1名新生因参军入伍,申请保留入学资格,经相关部门审核,现对2022年普通高考招生录取保留入学资格的新生名单进行公示,公示无异议后,我校将保留入学资格。
2022年普通高考招生录取新生保留入学资格名单公示
公示日期:2022年10月10日——2022年10月20日,如有异议,请于公示期间,通过电话方式进行实名反映,向招生办公室反馈,逾期不再受理。
招生办电话:020-85283652
华南农业大学本科生院(招生办公室)
2022年10月10日

