按时登录省招办指定网址填报征集志愿
征集志愿统一在省招办网报系统(湖北高考招生综合信息服务平台,网址http://zspt.hubzs.com.cn)填报,本次征集志愿时间为8月8日上午8:00至下午17:00。考生在规定时间内登录网报系统,填报相应批次志愿。
另外,填报高职高专提前批、艺术、体育类高职高专批征集志愿的考生还可以根据自己的高考文化成绩,在8月8日上午8:00至8月11日下午17:00参加第二次集中填报志愿,填报高职高专普通批院校专业组志愿。
按省招办公布的征集志愿信息填报征集志愿
考生填报征集志愿要按照省招办本次公布的征集志愿计划信息,认真阅读招生院校招生章程,准确填报院校专业组代号(与《湖北招生考试》杂志上公布的院校专业组代号一致),征集志愿只填报院校专业组志愿,不填专业志愿。填报了征集志愿的院校专业组志愿,须服从该院校专业组内专业调剂。
注意自身条件和特殊招生要求
有些院校专业组或所剩专业有身高、视力或分数等要求,达不到的不要填报;艺术、体育考生填报艺术、体育类志愿时,只能填报自己达到专业合格标准的院校专业组。
征集志愿计划中,“备注”栏没有备注内容的并非没有招生要求,备注了部分内容的并非全部招生要求,考生填报征集志愿时,一定还要查看《湖北招生考试》杂志上招生计划有关内容和拟报高校的招生章程,考生条件达不到的就不要填报,以免投档后被高校退档,影响自己录取。
积极填报征集志愿
本次征集志愿均为20个院校专业组平行志愿,建议符合条件的考生积极填报,争取更多录取机会。
一、高职高专提前批征集志愿
填报定向培养军士征集志愿的考生,须通过省征兵办组织的体格检查、政治考察且合格,未合格考生填报无效,同时,还要注意招生院校的其他身体条件。
填报武汉警官职业学院的院校专业组或其他院校航海类专业组的考生,身体条件等须达到学校招生章程公布的相关要求。
二、艺术高职高专批征集志愿
考生高考文化成绩和专业统考成绩均须达到我省划定的专科批次线,根据自己的专业统考类别填报征集志愿。
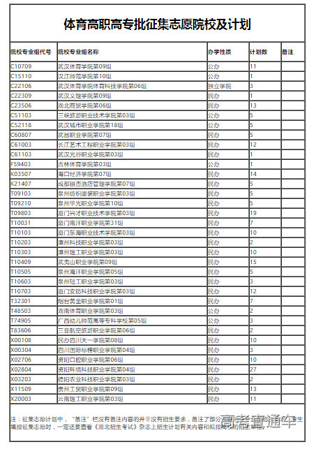
三、体育高职高批征集志愿
凡参加全省统一体育专业素质测试且专业素质测试成绩达到300分、文化成绩达到120分的考生,可以填报高职高专体育类征集志愿。
四、技能高考高职高专批征集志愿
文化综合分与专业技能分之和达到200分的考生可以填报征集志愿;考生应根据技能操作考试类别填报,跨类填报或综合成绩未达到分数线的填报无效。



