为贯彻《深化新时代教育评价改革总体方案》精神,落实《教育部关于做好2022年普通高校招生工作的通知》(教学厅〔2022〕1号)有关要求,避免炒作高分段考生录取情况,积极引导考生树立兴趣选择的良好导向,营造平稳有序的录取环境,今年我市继续不公布普通类本科批次高分段院校专业组具体最低分,确定为“690分及以上”的院校专业组不公布。
2022年录取最低分数线达到690分及以上的,涉及清华大学、北京大学(含医学部)、北京航空航天大学、北京理工大学、复旦大学(含医学院)、南京大学、上海交通大学(含医学院)、四川大学、浙江大学(含医学院)、中国科学技术大学、中国人民大学等11所院校中的31个院校专业组。该部分院校专业组的录取情况,考生可向招生院校咨询。
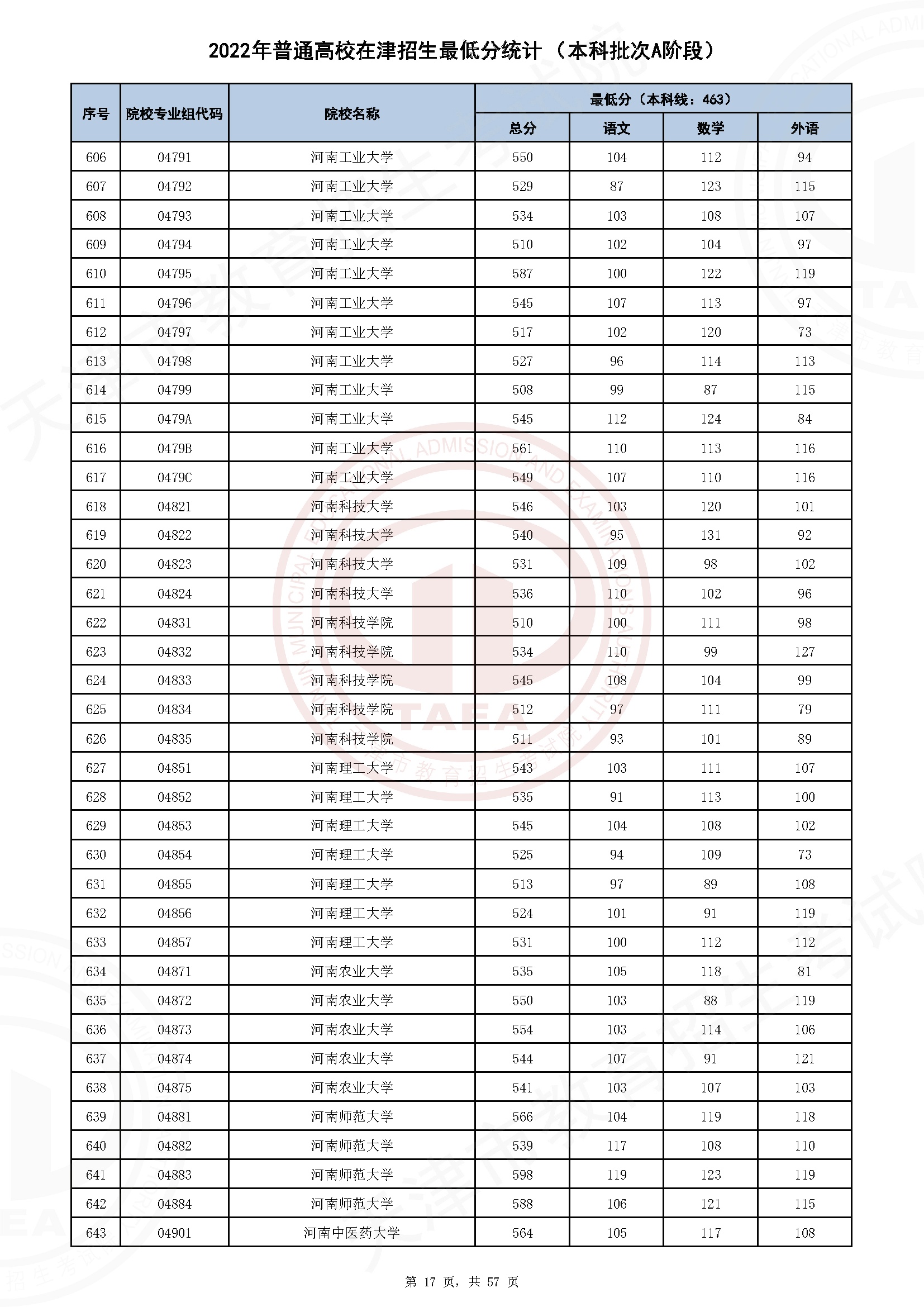
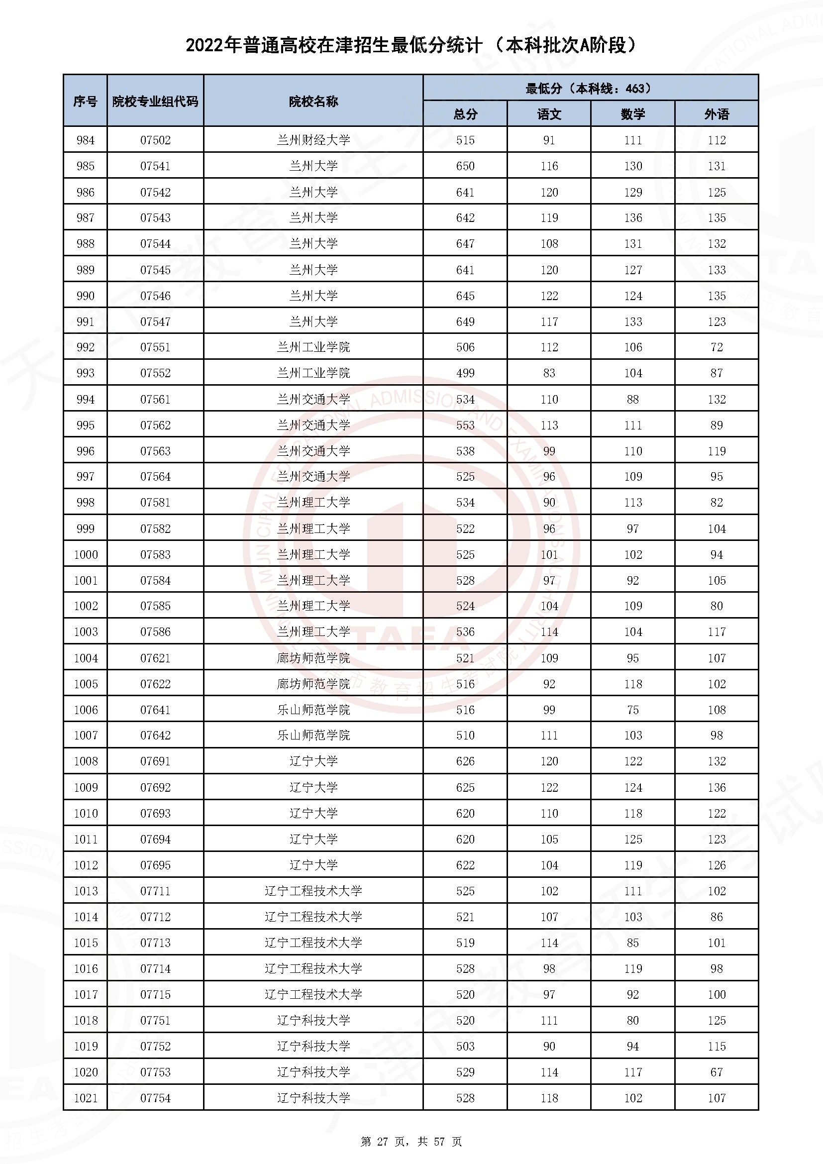
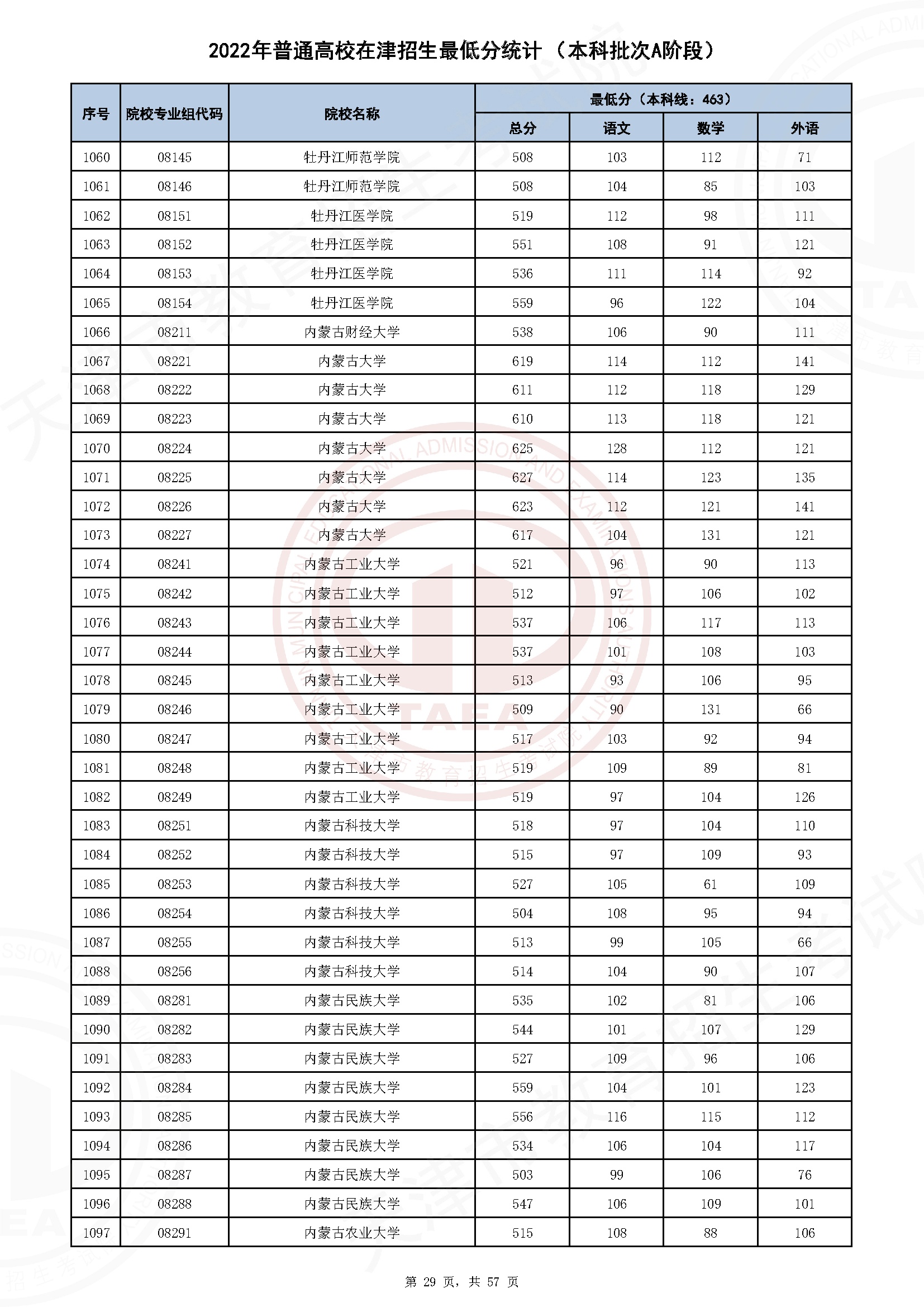
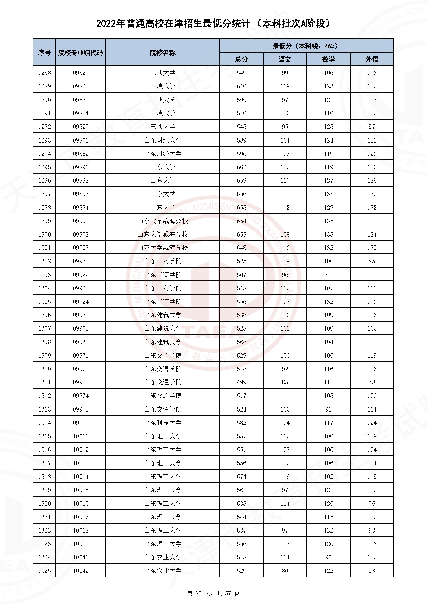
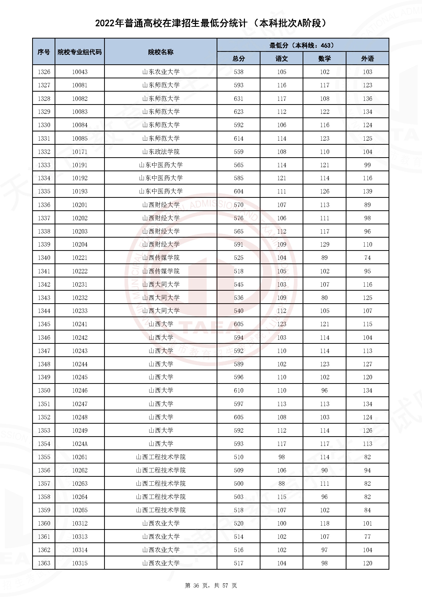
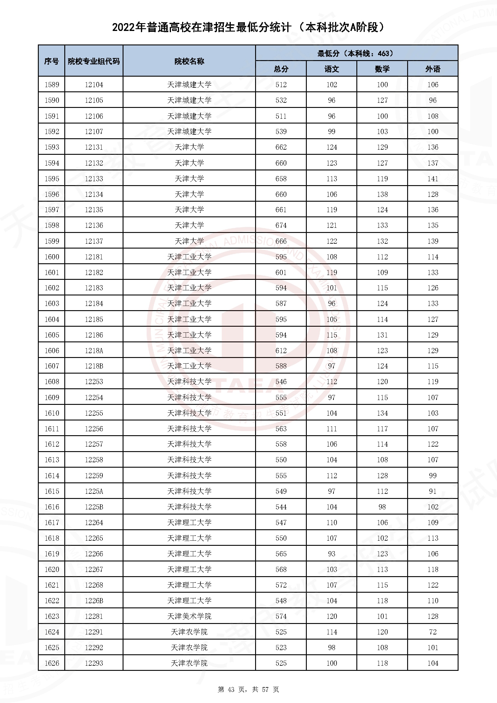
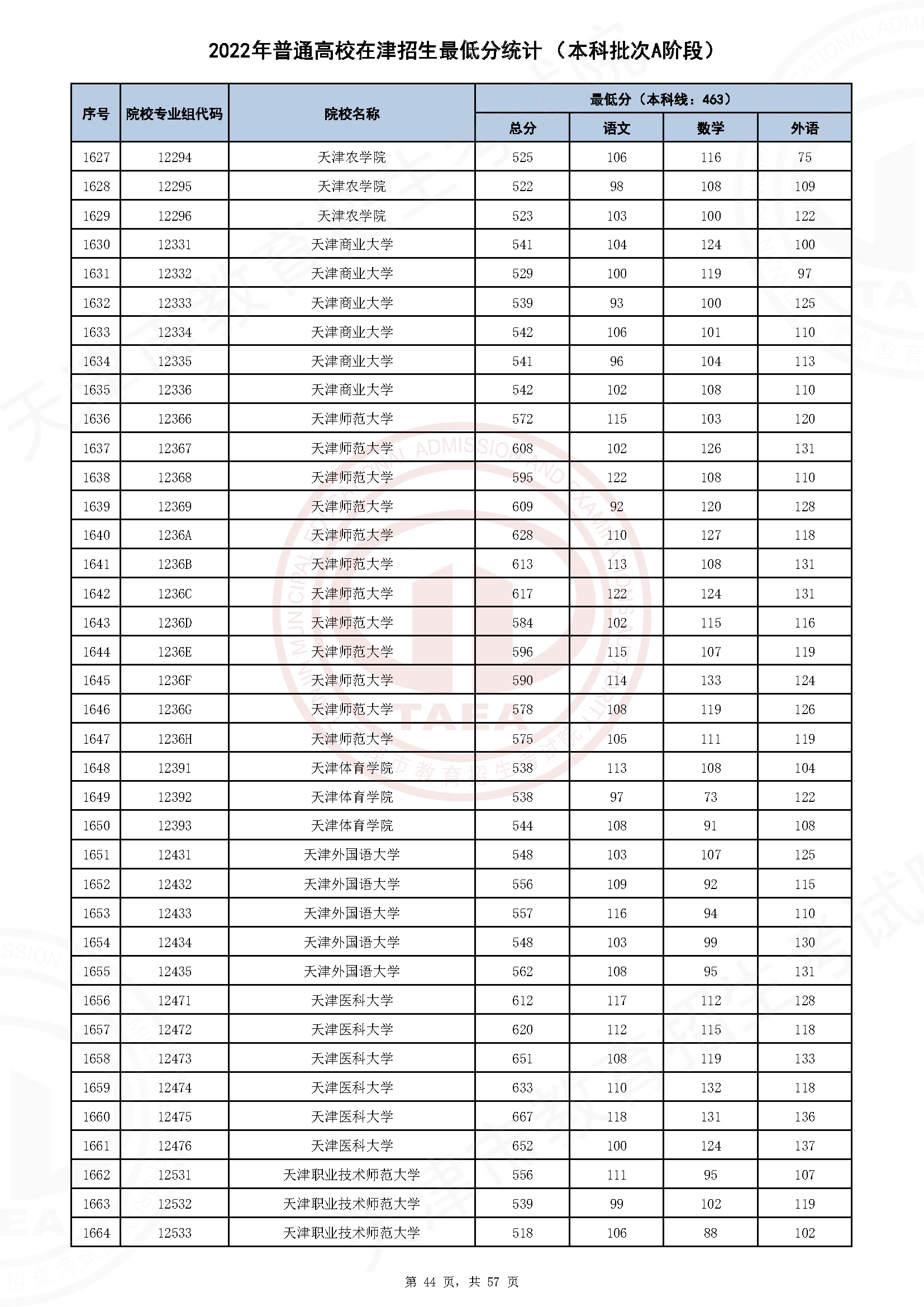
各院校专业组的最低分数线如下:
























































