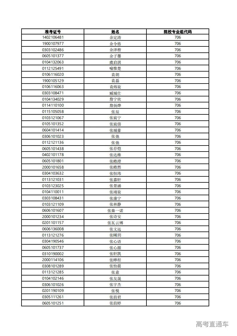
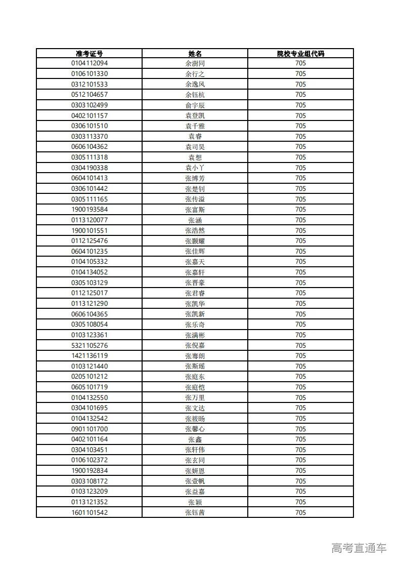
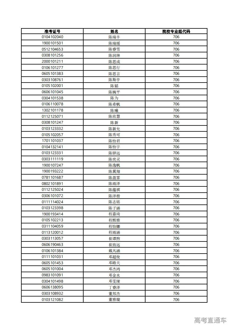
掌上高考整理了江苏、宁夏、甘肃、浙江、广东、广西等地区的最新消息,包含提前批投档线、综合评价入围分数线、单独考试招生平行投档分数线等!一起来看看吧~ 江苏 江苏省2024年普通类本科提前批次投档线 宁夏 宁夏2024年提前录取第一批院校本科投档信息 宁夏2024年提前录取第一批院校本科体育专业投档信息 甘肃 集美大学2024年甘肃省提前批航海类第一轮投档分 浙江 浙江2024单独考试招生平行投档分数线出炉 广东 广东:6校公布综合评价入围分数线及考生名单 中山大学 通知原文 各位考生: 根据教育部有关文件精神和《中山大学2024年广东省综合评价录取招生简章》规定,按照不超过招生计划3倍的比例(末位同分同入围)确定各专业组考核入围人选的原则,现将中山大学2024年广东省综合评价录取考核入围标准公布如下,考核入围名单见附件。 我校将于7月9日在广州校区南校园组织面试考核(704专业组入围考生还需于7月8日进行机试)。面试考核形式为“多对一”面试,每位考生面试时间共计7分钟,含自我介绍(1分钟以内)、必答题作答和自由问答。准考证信息及面试安排将另行通知,请入围考生留意本网站公告。 我校不举办任何形式的辅导培训。 中山大学招生办公室 入围名单(滑动浏览) 华南理工大学 通知原文 各位考生: 根据招生简章,我校组织了2024年综合评价学校考核,现将学校考核成绩予以公布,考生可于6月22日17:00起登录“特殊类型招生报名平台”(https://bm.chsi.com.cn/)查看。 我校结合学校考核成绩,根据各省招生计划数和招生政策,确定了入选资格考生名单,公示如附件1-5,公示期为6月22日-6月25日。 咨询电话:020-87110737 咨询专线(6月9日-7月2日):020-87110460、87110462、87110472、87110476、87110483、87110497、87110501、87110525、87110580 监督电话:招生办公室020-87110126,纪委办公室020-87110195 网站:http://admission.scut.edu.cn 微信:华南理工大学招生办(scut_zsb) 邮箱:admit@scut.edu.cn 附件: 1.华南理工大学2024年广东省综合评价入选资格考生名单 2.华南理工大学2024年江苏省综合评价入选资格考生名单 3.华南理工大学2024年山东省综合评价入选资格考生名单 4.华南理工大学2024年上海市综合评价入选资格考生名单 5.华南理工大学2024年浙江省综合评价入选资格考生名单 华南理工大学招生办公室 2024年6月22日 广东入围名单如下(滑动浏览) 香港中文大学(深圳) 通知原文 现将我校2024年广东省综合评价入学测试入围名单予以公示。 若有疑问,请致电招生热线:0755-84273500或发送邮件至admissions-zp@cuhk.edu.cn咨询。 香港中文大学(深圳)2024年综合评价入围考生名单公示(广东省) 香港中文大学(深圳)招生办公室 2024年6月22日 广东入围名单如下(滑动浏览) 西交利物浦大学 通知原文 根据相关教育主管部门关于普通高校综合评价录取文件精神,现对西交利物浦大学2024年综合评价入选考生名单予以公示。公示时间:2024年6月21日-2024年7月4日。 申请者可进入综合评价报名系统,按照“在线报名指南”,查询我校综合评价录取自主评估测试结果。 关于我校综合成绩评定办法和入选考生录取办法,可参见《西交利物浦大学2024年在广东省综合评价录取招生简章》。 如有异议,请实名与西交利物浦大学纪律检查委员会(12388@xjtlu.edu.cn)联系。 西交利物浦大学招生办公室 二〇二四年六月二十一日 广东入围名单如下(滑动浏览) 昆山杜克大学 通知原文 根据教育部和江苏省相关文件精神,现将昆山杜克大学2024年秋季本科录取候选入围名单予以公示。公示时间:5月23日-6月6日。如对公示对象有异议,可与昆山杜克大学中国招生录取办公室联系,联系电话:0512-36657028。 广东入围名单如下(滑动浏览) 浙江大学 通知原文 各位考生: 一、现将我校2024年广东省综合评价招生入围考核的考生名单公布如下(附后) 二、综合面试安排:综合面试按专业组分别组织实施。入围考核的考生须全程参加面试,未参加我校面试者,将不进入后续选拔和录取。现将综合面试具体安排通知如下: 1.面试确认:请入围考核的考生登录面试报到系统,网址:https://www.intl.zju.edu.cn/ugassess/?province=GD,在线报到和获取面试通知单。在线报到时间:7月6日中午12:00之前。 2.现场报到时间:7月8日7:30至8:20。 3.现场报到地点:浙江省海宁市海州东路718号浙江大学国际联合学院(海宁国际校区)北教学楼。 4.面试时间:7月8日上午9:00开始。 5.面试携带材料:凭考生本人有效身份证(或户口本)、面试通知单参加面试。*只允许每人携带一本书进入候考室,其它任何物品,包括手机以及其他带有通讯功能的电子设备都不允许带入。 6.其他: (1)面试结束后考生直接离开考场,不回候考室。 (2)随行家属可与考生凭本人有效身份证(或户口本)一起进入海宁国际校区,在惟学书院多功能厅休息。 (3)下午场考生中餐集中就餐,免费提供,如有特殊需求请提前提出。 三、联系方式 1.浙江大学伊利诺伊大学厄巴纳香槟校区联合学院:0571-87572523 2.浙江大学爱丁堡大学联合学院:0571-87572813 3.招生办:0571-87951006、87951001 4.监督举报邮箱:zsjd@zju.edu.cn 浙江大学本科生招生办公室2024年7月5日 广东入围名单如下(滑动浏览) 广西 广西:7月8日18:00起查询录取信息 一、网站查询 考生可登录“广西招生考试院”网站(https://www.gxeea.cn,下同)的“系统导航—录取查询—2024年普通高等学校招生录取信息查询”栏目,输入本人报名号、身份证号、手机验证码(验证码发至考生高考报名时绑定的手机号),点击“提交”,即可查询今年个人普通高校招生投档、录取信息。 二、短信查询 广西移动、联通手机号码:考生使用系统预留手机号编辑短信GKDA+报名序号+身份证号,发送到106211002,即可查询今年个人普通高校招生投档、录取信息。 广西电信手机号码:考生使用系统预留手机号编辑短信GKDA+报名序号+身份证号,发送到10659200111,即可查询今年个人普通高校招生投档、录取信息。 编辑短信时,GKDA、报名序号、身份证号要连续输入,中间无空格或“+”,短信接收免信息费,短信发送通信费0.1元/条。 三、微信小程序查询 在微信小程序搜索“广西高考志愿填报辅助系统”进入小程序,点击“录取信息查询”即可查询本人普通高校招生投档、录取信息。 四、“智桂通”APP查询 考生下载“智桂通”APP搜索“高考专题”,在“高考专题页—录取查询”中输入本人报名序号、身份证号和手机验证码,即可查询今年个人普通高校招生投档、录取信息。 温馨提醒:自治区招生考试院已在“广西招生考试院”网站、官方微信公众号“柳园清风”公布《广西2024年普通高校招生录取日程表》(见附件),考生一般在自己所填志愿批次对应的“预计投档时间”之后,可查询到个人档案状态信息。
查看完整试题
登录查看完整试题答案
阅读数:4.6 k
特别声明:
1. 本站注明稿件来源为其他媒体的文/图等稿件均为转载稿,本站转载出于非商业性的教育和科研之目的,并不意味着赞同其观点或证实其内容的真实性。如转载稿涉及版权等问题,请作者在两周内速来电或来函联系,本站根据实际情况会进行下架处理。
2. 任何媒体、网站或个人未经本网协议授权不得转载、链接、转贴或以其他方式复制发表,违者本站将依法追究责任。
1. 本站注明稿件来源为其他媒体的文/图等稿件均为转载稿,本站转载出于非商业性的教育和科研之目的,并不意味着赞同其观点或证实其内容的真实性。如转载稿涉及版权等问题,请作者在两周内速来电或来函联系,本站根据实际情况会进行下架处理。
2. 任何媒体、网站或个人未经本网协议授权不得转载、链接、转贴或以其他方式复制发表,违者本站将依法追究责任。




















