根据《教育部关于普通高中学业水平考试的实施意见》(教基二〔2014〕10号)和《广东省深化普通高校考试招生制度综合改革实施方案》(粤府〔2019〕42号)精神,在充分深入研究和广泛征求意见的基础上,结合我省实际,现制订普通高中学业水平考试思想政治等4门选择性考试科目等级赋分方法(下称等级赋分方法)。有关事项通知如下。
一、等级赋分适用科目
等级赋分适用于我省普通高中学业水平考试的思想政治、地理、化学和生物学等4门选择性考试科目。2021年起,参加夏季全国统一高考的考生将需根据高校招生专业选考科目指引要求和自己的兴趣特长,从上述4门选择性考试科目中任选2门参加考试,其考试成绩按照等级赋分方法将卷面分换算为等级分,以等级分呈现并计入其夏季高考总成绩。
二、等级赋分方法
(一)划分等级,将卷面分转换为等级。把每门选择性考试科目的考生群体依据卷面分从高到低进行排序,依据考生群体成绩的统计分布,以一定的人数比例将该选考科目考生群体划分为若干个等级,每个考生按照其卷面分在该选考科目考生群体中的排序,对应到某个等级,从而将所有考生的卷面分转换成等级。
(二)进行等级赋分,将等级转换为等级分。设定等级分起点分、满分的分值,对各个等级进行连续赋分,在每个等级内按1分1档赋予每个等级一定的等级分数区间。根据每个考生的卷面分数及所在等级的等级分赋分区间,运用等比例转换法则将其卷面分换算成等级分。同一科目等级相同的考生,如果卷面分较高,其对应的等级分也较高。
三、等级分的具体计算
(一)将每个选考科目的考生群体卷面分转换为等级。把每个选考科目考生群体的卷面分从最高分到最低分顺序排列,按照考生群体卷面分的统计分布所确定人数比例(见表1)将该选考科目考生群体划分为5个群体,每个群体考生赋予1个等级,整个考生群体的卷面分被转换为从高到低A、B、C、D、E共5个等级,每个考生的等级由其在该选考科目群体的排位确定。
(二)将等级转换为等级分。等级分的满分值为100分、起点分值为30分,从A至E每个等级按照1分1档的分数间隔对各个等级进行连续赋分,各个等级的等级分赋分区间从17到10分不等(见表1)。依此,把每个选考科目考生群体的等级成绩从高到低(从A到E)转换为100至30分的等级分数,每个等级分数都在一定的等级分区间内。根据每个考生的卷面分数及其所在等级的等级赋分区间,运用等比例转换法则将其卷面分换算成等级分。在A、B、C、D、E的每个等级内卷面分不同的考生,根据等比例转换法则可计算得出不同的等级分,从而确保卷面分较高的考生换算得到较高的等级分。
1. 等级换算对应关系。各等级及其所占人数比例、等级分赋分区间对应关系如表1所示。
2.等级分换算公式。根据等比例转换法则计算每个考生等级分的公式为:
根据公式(1),可以算出每个考生的等级分。
公式(1)表明,考生的卷面分和等级分是线性相关的。在考生卷面分转换成等级和等级分的过程中,考生在相应选考科目考生群体中的成绩排序不会发生变化。
示例:
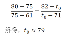
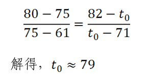
假设某同学思想政治科目卷面分为75分,按照其在该科目考生群体中的卷面分排位确定的等级为B等级,当次考试该科目B等级所对应的卷面分区间为80~61;查表1,可知B等级的等级分赋分区间为82~71。那么根据公式(1),可以计算出该同学思想政治科目的等级分:
即该同学的思想政治科目等级分为79分。
四、其他事项
(一)实施时间。自2018年入学的普通高中一年级学生开始,在普通高中学业水平考试思想政治等4门选择性考试科目中实施等级赋分方法。
(二)工作要求。普通高中学业水平考试思想政治等4门选择性考试科目实行等级赋分,有利于科学评价考生相应选考科目的学业水平,较好地解决不同选择性考试科目之间的可比性及总分的可加性问题;有利于引导学生按照自己的兴趣特长选课学习,促进每个学生全面而有个性地成长成才。各地、各级教育行政部门和各普通高中学校要提高认识,统一思想,高度重视,正面宣传,为高考改革营造和谐的社会氛围。
(三)条件保障。各地、各级教育行政部门和各普通高中学校要认真研究高中学生选课走班带来的新情况、新问题,加强统筹,加强高中学校的办学条件建设,特别是加强教师队伍建设和教育教学管理,全面提升普通高中学校的办学质量和水平。


