我省发布了《四川省2025年普通高校招生考试和录取工作实施方案》(以下简称《考试和录取方案》),现就相关内容解读如下。
依据《四川省人民政府关于印发〈四川省深化普通高等学校考试招生综合改革实施方案〉的通知》(川府规〔2022〕4号),按照教育部普通高校招生相关文件规定和要求,充分借鉴高考综合改革实施“3+1+2”模式的第三批、第四批改革省份经验做法,结合我省实际,制定《考试和录取方案》。
为了便于考生、家长了解熟悉新高考的考试形式、科目设置、计划编制、志愿填报、投档录取等各环节相关政策办法,指导各级招考机构、中学、高校更好地开展考试招生工作,制定《考试和录取方案》。
我省新高考实行“3+1+2”模式。其中,“3”为语文、数学、外语(分英语、俄语、日语、法语、德语、西班牙语6个语种,由考生任选其中一个语种参加考试)3门全国统一考试(以下简称全国统考)科目,外语科目考试由听力和笔试两个部分组成;“1+2”为3门普通高中学业水平选择性考试(以下简称选择考)科目,“1”为首选科目,考生从物理、历史2门科目中自主选择1门;“2”为再选科目,考生从思想政治、地理、化学、生物学4门科目中自主选择2门。
我省2025年高考时间安排在6月7日—9日。其中,语文科目考试时长为150分钟,数学、外语(含听力)科目考试时长为120分钟;选择考各科目考试时长均为75分钟。具体安排如下:
原“少数民族语言授课为主”学生和“加授少数民族语文”学生参加高考的,除参加全国统考科目和选择考科目考试外还须参加本类别的民族语文科目考试,考试时间分别安排在6月10日的9:00—11:30、9:00—11:00。
考生高考文化成绩由3门全国统考科目(含语文、数学、外语)成绩和3门选择考科目(含1门首选科目、2门再选科目)成绩组成,满分750分。其中,全国统考科目每门满分150分、选择考科目每门满分100分。语文、数学、外语、物理、历史科目以原始成绩计入考生高考文化成绩;思想政治、地理、化学、生物学科目以等级转换赋分后的等级分计入考生高考文化成绩。按有关规定享受照顾政策的考生,录取时,在高考文化成绩基础上附加照顾分后投档。
语文、数学、外语、物理、历史5门科目以原始成绩呈现;思想政治、地理、化学、生物学4门科目以等级分呈现。
2025年起,我省普通高校招生录取按照物理、历史两个类别分列计划、分开划线、分别投档。由于考生须首先选择物理类或历史类,同一类别内考生的试卷相同、群体相同,成绩具有可比性,因此首选科目物理、历史以原始成绩计入考生高考文化成绩。
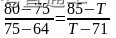
首选科目相同的考生,从思想政治、地理、化学、生物学4门中任选2门作为再选科目。由于再选科目有多种组合,不同学科的试题难度、考生群体、考生规模、成绩分布均不相同,其原始成绩不具有可比性。若简单将不同再选科目的考生各科原始成绩相加计入考生高考文化成绩并进行比较,既不科学也不公平。采用等级赋分的方式,将原始成绩转换为等级分,可以实现保证每门科目考生成绩排名顺序不变的前提下,科学处理再选科目之间分数不等值、不能直接相加的问题,并在确保成绩转换公平公正的同时,保证考生的成绩具有良好的区分度。
等级赋分以30分作为赋分起点,满分为100分。将思想政治、地理、化学、生物学每门选择考科目考生的原始成绩从高到低划分为A、B、C、D、E共5个等级,各等级人数所占比例分别约为15%、35%、35%、13%和2%。将A至E等级内的考生原始成绩,按照等比例转换规则,转换到100~86、85~71、70~56、55~41、40~30五个分数区间,根据转换公式计算,四舍五入取整数得到考生的等级转换分。转换后的成绩1分1档,考生排序不变。
例如,某考生的生物学科目原始成绩为75分,按照原始成绩排序,等级比例应划分到B等级,而该科目B等级的原始成绩分布区间为80~64,等级分区间为85~71,按照转换公式:(其中,Y2为该科目原始成绩分布区间最高分;Y1为该科目原始成绩分布区间最低分;Y为考生该科目的原始成绩;T2为该科目等级分区间最高分;T1为该科目等级分区间最低分;T为考生该科目的等级分)计算,该考生生物学科目的等级分为:
解得:
转换示意图
再选科目缺考和零分考生不予赋分,按零分计;因考试违规取消考试成绩的考生等级分成绩按零分处理。
按照考生首选科目,分物理类、历史类呈现高考文化成绩“一分一段”统计表,并向社会公布。
一是通过官方网站查询:
四川省教育厅:http://edu.sc.gov.cn;
四川省教育考试院:http://www.sceea.cn;
四川省招生考试指导中心:http://www.sceeic.cn。
二是通过微信公众号查询:
四川省教育厅:“四川教育发布”;
四川省教育考试院:“四川省教育考试院”;
四川省招生考试指导中心:“四川省招生考试指导中心”。
其他查询渠道将在成绩发布前向社会公布。
考试成绩发布后,对成绩有疑问的考生可在规定时间内,凭准考证、居民身份证向报名地所在的县(市、区)招考机构申请成绩复核。成绩复核工作由省教育考试院统一组织实施,成绩复核结果通知到考生本人。其中,思想政治、地理、化学、生物学科目只提供等级分复核结果。
我省普通高校招生类别分为普通类、艺术类、体育类,均采用“院校+专业组”(即院校专业组)模式,高校按照院校专业组模式编制招生计划。普通类招生计划按照首选物理、历史科目组合分别编制,艺术类和体育类招生计划统一按艺术类或体育类编制,不分首选物理、历史科目组合。
高校根据经济社会发展需要,结合自身办学条件、培养要求和毕业生就业情况等,按照教育部和我省有关计划编制原则和要求,编制在川招生计划。高校可设置一个或多个院校专业组,每个院校专业组内可包含一个或多个专业。同一高校,选考科目要求相同的专业可以设在一个院校专业组内,也可以分设在不同的院校专业组内。每个院校专业组内各专业的选考科目要求必须相同。
我省普通高校招生录取分为本科、高职(专科)两个阶段,按类别(普通类、艺术类、体育类)分批次进行,均采用院校专业组方式设置志愿,分为顺序志愿、平行志愿两种模式。高校可根据不同专业的人才培养需要和选考科目要求设置院校专业组,作为志愿填报的基本单位。一个院校专业组即为一个独立的志愿。
普通类设置本科提前批次、本科批次、高职(专科)提前批次和高职(专科)批次4个批次,按顺序依次录取。其中,本科提前批次、本科批次分别划分为A段和B段。
艺术类设置本科提前批次、本科批次、高职(专科)批次3个批次,按顺序依次录取。
体育类设置本科批次、高职(专科)批次2个批次,按顺序依次录取。
普通类的录取批次、投档顺序、志愿设置具体如下:
每个院校专业组志愿内设置6个专业志愿和是否服从专业调剂选项。
按照教育部《关于在部分高校开展基础学科招生改革试点工作的意见》(教学〔2020〕1号)规定,强基计划“服务国家重大战略需求”“在提前批次录取开始前完成录取备案”。因此,强基计划安排在本科提前批次前录取。
《国务院关于深化考试招生制度改革的实施意见》明确提出要“创造条件逐步取消高校招生录取批次”。合并本科批次,体现了国家改革的总体方向,能够更好满足高校、考生及社会发展需要。
高校专项计划招生录取,需按照已公示合格考生填报的志愿,根据考生高考文化成绩、高校给予的优惠分值,按教育部有关规定向高校投档。本科提前批次高校专项计划安排在普通类本科提前批次A段录取后、B段投档前投档录取;本科批次高校专项计划安排在普通类本科批次A段录取后、B段投档前投档录取。
高水平运动队招生录取,需按照高校向省教育考试院提交的高水平运动队入围考生名单,对其中高考文化成绩(不含照顾加分)达到高校要求、经教育部阳光高考平台公示的高校高水平运动队入围考生,根据其所填报的高水平运动队志愿向有关高校提供档案,供高校审录。高考文化成绩不低于高校相关专业在我省录取分数线下20分的考生,可录取至对应的普通专业;其余考生限定录取至体育学类专业,高校应在我省普通本科批次录取结束前确定考生录取专业。高水平运动队投档录取工作安排在普通类本科批次A段录取后、B段投档前进行。
2025年,招收原“少数民族语言授课为主”学生的高校(专业)采用“单列计划、单独划线、单独录取”的方式录取,录取批次、志愿设置及投档办法在年度招生文件中公布。
2025年,招收原“加授少数民族语文”学生的本科高校(专业)安排在本科批次B段后投档录取,招收原“加授少数民族语文”学生的专科高校(专业)安排在专科批次后投档录取,志愿设置及投档办法在年度招生文件中公布。
艺术类本科提前批次含经批准少数组织校考的高校艺术类本科专业和戏曲类省际联考本科专业,实行顺序志愿,设置1个院校专业组志愿,院校专业组志愿内设置6个专业志愿。
艺术类本科批次为使用省级专业统考成绩作为专业考试成绩的艺术类本科专业,实行平行志愿,设置45个院校专业组志愿,每个院校专业组志愿内设置6个专业志愿和是否服从专业调剂选项。
艺术类高职(专科)批次为使用省级专业统考成绩作为专业考试成绩的艺术类高职(专科)专业,实行平行志愿,设置45个院校专业组志愿,每个院校专业组志愿内设置6个专业志愿和是否服从专业调剂选项。
体育类本科批次为使用省级专业统考成绩作为专业考试成绩的体育类本科专业,实行平行志愿,设置20个院校专业组志愿,每个院校专业组志愿内设置6个专业志愿和是否服从专业调剂选项。
体育类高职(专科)批次为使用省级专业统考成绩作为专业考试成绩的体育类高职(专科)专业,实行平行志愿,设置20个院校专业组志愿,每个院校专业组志愿内设置6个专业志愿和是否服从专业调剂选项。
一是志愿满足率提升。改革后,实行平行志愿模式的录取批次中,普通类、艺术类考生最多可填报45个院校专业组志愿。总体来看,增加了平行志愿数量,进一步提升了考生志愿满足率。二是填报专业数量增加。改革后,以“院校专业组”为志愿填报单位,1个院校专业组即为1个志愿,每个院校专业组志愿内最多可填报6个专业志愿。平行志愿数量最多增加到45个,考生可填报的专业数量也相应大幅增加,更好地满足考生的专业选择需求。
我省普通高校招生实行网上填报志愿,考生须在规定时间内登录指定网站的志愿填报系统完成填报。
考生应认真做好填报志愿的准备工作,仔细阅读拟报考高校的招生章程和我省的《招生考试报·招生计划合订本》,了解招生政策、报考条件和高校录取规则,结合本人的高考成绩、兴趣意向、体检情况等,参照意向高校近年录取情况,科学合理填报志愿,避免因不符合相关规则条件被高校退档。
考生应增强信息安全意识,妥善保管志愿填报的账号、密码,不要委托他人填报,志愿填报完成后要及时保存提交。
考生可通过“四川智慧招考服务平台——高考通(https://gkt.sceeic.cn)”、《高考指南》《怎样填报高考志愿专辑》等方式,查询在川招生高校、专业近年的录取数据,作为填报志愿的参考信息。艺术类、体育类考生可通过《艺术类专业报考指南》《体育类专业报考指南》查询艺术类、体育类专业近年的录取数据,作为填报志愿的参考信息。
我省高考志愿填报辅助系统是由省教育考试院指导、省招生考试指导中心研发的公益性辅助工具,主要用于帮助考生根据高考成绩、选择条件等筛选院校专业组志愿。考生可以查看目标高校和专业近三年详细的录取数据信息、高校简介、招生章程等内容,以及高校的硕士点、博士点设置情况。
系统预计于2025年3月初适应性演练志愿填报前正式开通,考生在适应性演练和高考志愿填报期间均可免费使用系统。届时,考生可以通过四川省教育考试院官网(http://www.sceea.cn)、四川省教育考试院微信公众号、四川省招生考试指导中心官网(http://www.sceeic.cn)、四川省招生考试指导中心微信公众号、“云招考”(http://www.yunzhaokao.org.cn),登录“高考通”平台,使用高考志愿填报辅助系统。
高校依据教育部有关规定,制定本校招生专业的选考科目要求,考生应对照高校招生专业的选考科目要求报考。
一是首选科目要求。考生只能按照首选科目填报物理/历史科目组合下的院校专业组。按物理科目组合编制的招生专业,仅限首选科目为物理的考生填报;按历史科目组合编制的招生专业,仅限首选科目为历史的考生填报。
二是再选科目要求。高校对再选科目的要求分为三种:
(1)不提再选科目要求的,符合首选科目要求的考生均可报考。
(2)提出1门再选科目要求的,考生必须选考该科目方可报考。如某院校专业组对化学科目提出要求,符合首选科目要求且再选科目中选考了化学的考生才能报考。
(3)提出2门再选科目要求的,考生须同时选考这2门科目方可报考。如某院校专业组对化学和生物学科目提出要求,符合首选科目要求且再选科目同时选考了化学和生物学的考生才能报考。
我省普通高校招生均采用“院校专业组”方式设置志愿,1个院校专业组为1个志愿填报单位,每个院校专业组志愿内设置6个专业志愿和是否同意专业调剂选项。考生填报志愿时,应根据自己的选考科目,对照招生院校的院校专业组选考科目等录取要求,首先选择符合要求的院校专业组;其次在相应院校专业组包含的若干个专业内选择1—6个,作为专业志愿;最后选择是否同意专业调剂。三个步骤完成后,形成自己的1个院校专业组志愿。考生可在相应录取批次的院校专业组志愿设置数量范围内,填报多个院校专业组志愿。
例如:在普通类本科批次中,A大学第101专业组,选考科目要求为物理、化学,包含电子信息类、人工智能、计算机科学与技术等16个专业;A大学第102专业组,选考科目要求为物理、化学、生物学,包含临床医学、口腔医学、基础医学3个专业。若某考生的选考科目为物理、化学、生物学,打算填报A大学第101专业组,可以从该组的16个专业中选择1—6个,作为专业志愿,并选择是否服从专业调剂。同时,该考生也可填报A大学第102专业组,从该组的3个专业中选择1—3个,作为专业志愿,并选择是否服从专业调剂。在普通类本科批次中,该考生还可以填报其他符合有关投档录取要求的院校专业组志愿,最多可填报45个。
为了满足考生选择专业的需求和权益,我省在院校专业组志愿内设置6个专业志愿的基础上,还设置了是否服从专业调剂的选项。录取时,考生电子档案投档到某个院校专业组后,高校将按照有关招生政策和录取规则进行录取,当考生填报的专业志愿均无法录取时,若考生选择了服从专业调剂,且符合该院校专业组内未录取满额专业的录取要求,高校将会调剂录取到相应专业;若考生选择了不服从专业调剂,高校可作退档处理。因此,在填报志愿时,考生应根据高校录取规则,结合本人情况,选择是否服从专业调剂。
艺术类考生可兼报除普通类本科提前批国家专项计划、本科提前批A段以外的各批次普通类高校(专业);体育类考生可兼报各批次普通类高校(专业)。
按照首选物理、历史科目组合,结合计划、生源、成绩等因素,分别划定物理类、历史类的本科批次、高职(专科)批次录取控制分数线。
按照首选物理、历史科目组合,分别划定物理类、历史类的特殊类型录取控制分数线,用于强基计划、高校专项计划、军队院校军事类专业等类型招生。
根据艺术类各类别计划、生源情况,结合考生高考文化成绩、省级专业统考成绩,分别划定艺术类各类别本科批次、高职(专科)批次文化成绩录取控制分数线和专业统考成绩录取控制分数线。
经批准少数组织校考的高校艺术类本科专业和戏曲类省际联考本科专业分数线按教育部有关规定执行。
根据体育类计划、生源情况,结合考生高考文化成绩、省级专业统考成绩,分别划定体育类本科批次、高职(专科)批次文化成绩录取控制分数线和专业统考成绩录取控制分数线。
普通类按照首选物理、历史科目组合,分别投档录取;艺术类、体育类按照艺术类或体育类分别投档录取,不区分首选科目。普通类专业根据考生高考文化成绩排序确定位次。使用省级专业统考成绩作为专业考试成绩的艺术类专业,在考生高考文化成绩、省级专业统考成绩分别达到我省录取控制分数线后,根据考生综合成绩排序确定位次。使用省级专业统考成绩作为专业考试成绩的体育类专业,在考生高考文化成绩、省级专业统考成绩分别达到我省录取控制分数线后,根据考生省级专业统考成绩排序确定位次。
此外,艺术类本科提前批次录取时,在考生高考文化成绩、省级专业统考成绩达到相关要求,且校考合格的基础上,根据考生志愿将考生信息提供给高校,高校依据有关要求、规定录取。
普通类本科提前批次、专科提前批次均采取顺序志愿模式。录取时,依据“根据志愿,从高分到低分,按比例投档”的原则,按照考生投档成绩和高校确定的调档比例进行投档,调档比例原则上控制在120%以内。
平行志愿是指考生填报的同一录取批次同一投档时间段中的多个并列的院校专业组志愿,依据“位次优先、遵循志愿、一轮投档”的原则进行投档。主要有以下四个特点:
一是志愿并列。考生所填报的多个院校专业组志愿没有主次之分,在同一投档时间段内均有可能以第一志愿投出。在检索过程中,不管考生把某一院校专业组志愿放在哪个顺序位置,只要检索时该院校专业组的招生计划未满额,都可顺利投档,而不会因为将该院校专业组放在靠后顺序位置而受到“歧视”。
二是位次优先。在检索考生填报的院校专业组志愿前,首先要将所有考生分类按投档成绩从高分到低分进行位次排序。投档检索时,先检索位次在前的考生,再依次检索位次在后的考生。
三是遵循志愿。考生所填报的多个院校专业组志愿有自然顺序。检索考生院校志愿时,是按考生填报志愿时排列的院校专业组自然顺序依次进行的。当考生的投档成绩符合先检索院校专业组志愿投档条件时,则不再检索该生后续院校专业组志愿。
四是一轮投档。当所有符合条件的考生志愿检索结束后,省教育考试院一次性向高校投档,对于缺额高校也不再补充投档。如果考生因所报的院校专业组均未满足条件而未被投档,或投档后被高校择优退档,只能参加征集志愿或下一批次录取。
平行志愿模式下,对于投档成绩相同的考生,按照以下同分排序规则排定位次顺序:
普通类考生依次按考生语文数学两科之和、语文数学两科中单科最高成绩、外语单科成绩、首选科目单科成绩、再选科目单科最高成绩、再选科目单科次高成绩由高到低排序。
艺术类考生综合成绩相同时,依次比较省级专业统考成绩、高考文化成绩,若还相同,再按普通类高考文化成绩同分排序规则由高到低排序。
体育类考生专业统考成绩相同时,比较高考文化成绩,若还相同,则按普通类高考文化成绩同分排序规则由高到低排序。
