各相关考生:
广东省2022年成人高考已于11月5-6日举行。按照广东省教育考试院有关规定,受疫情影响无法正常参加考试的考生,可向报考地市或县(市、区)招生考试机构(附件1)申请退回考试费用。具体事项如下:
一、申请退费条件及所需材料
(一)考试期间健康码为红码或黄码的考生,请查看红黄码名单(附件2),确认本人是否在名单内。名单内考生无需申请,名单外考生须提供考试期间的非绿健康码彩色截图;
(二)因疫情原因被隔离或封控,无法到场参加考试的考生,提交防疫部门或街道(居委)出具的带有考生姓名及隔离时间的隔离或封控证明;
(三)跨市赴考的考生,原所在地因疫情封控,解封时间临近考试日期,无法满足考点所在地市对跨市赴考考生隔离时间要求的,提交原所在地防疫部门或街道(居委)出具的带有考生姓名及隔离时间的隔离或封控证明、解封时间证明;
(四)考生为医护人员,因参加防疫抗疫工作无法到场考试的,提交医院证明;
(五)考生近期注射新冠疫苗,因相隔时间未到48小时而不能提供考前规定时间内核酸检测阴性证明的,提交考生注射新冠疫苗证明;
(六)考试期间已被确诊为新冠肺炎患者,提交确诊证明。
除上述情况外,其余考生不可申请退费。
二、申请退费流程
(一)申请退费时间:11月24日10:00至28日17:00前,逾时视为自愿放弃。
(二)申报方式:考生将上述相关证明材料拍照,上传至“广东省2022年成人高考退费申请平台”(http://121.33.201.126:8081/tdxltf/h5web/,手机或电脑均可登录,建议使用非IE内核浏览器)。请考生严格按照平台指引上传材料,以免影响审核结果。
三、其他事项
(一)本次申报考生由各县(市、区)考试机构初审、地市复核,省教育考试院审核,最终以广东省教育考试院审核结果为准。
(二)经广东省教育考试院核准退费的考生,考试费用将按原缴费渠道全额退回。
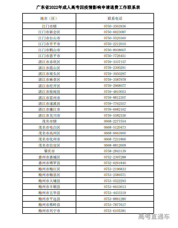
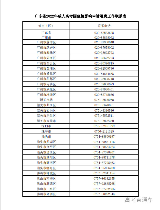
附件:1.因疫情影响申请退费工作联系方式
广东省教育考试院
2022年11月23日


