浙江2025年高考艺体类首段平行投档分数线发布

2025-07-17 11:18 浙江考试 评论

我省2025年高考艺术类统考批第一段、体育类第一段平行志愿已于今日上午投档。预计7月19日左右,考生可通过浙江省教育考试院网站或“浙江考试”微信公众号,查询自己的录取情况。





查看分数线预估投档去向

图片

高校专业投档分数线,是被投档到某高校专业的最后一名考生的分数。考生可根据自己的志愿顺序,依次对照相应高校专业投档分数位次与自己的成绩位次,预估当前投档去向。





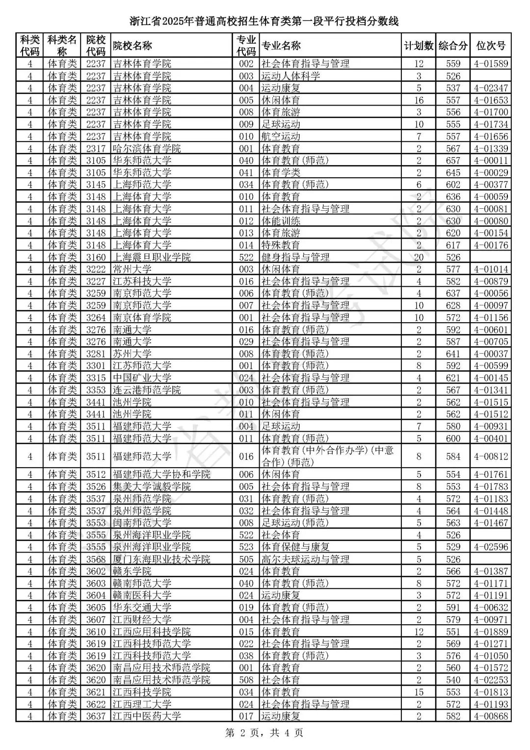
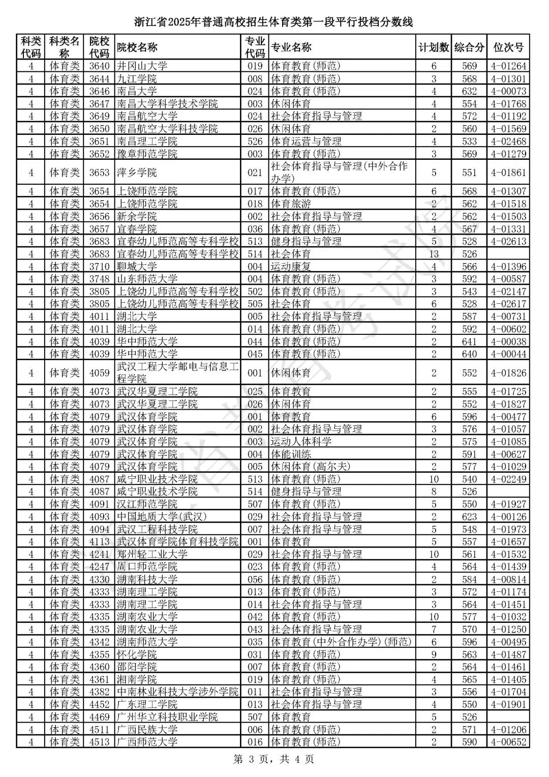
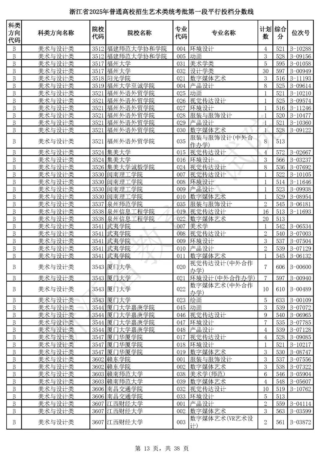
浙江省2025年普通高校招生

艺术类统考批第一段平行投档分数线

图片

图片

图片

图片

图片

图片

图片

图片

图片

图片

图片

图片

图片

图片

图片

图片

图片

图片

图片

图片

图片

图片

图片

图片

图片

图片

图片

图片

图片

图片

图片

图片

图片

图片

图片

图片

图片

图片

图片

图片

图片

图片

图片

图片

图片

图片

图片

图片

图片

图片

图片

图片

图片

图片

图片

图片

图片

图片

图片

图片

图片

图片

图片

图片

图片

图片

图片

图片

图片

图片

图片

图片

图片

图片

图片

图片






浙江省2025年普通高校招生

体育类第一段平行投档分数线

图片

图片

图片

图片

图片

图片

图片

图片

登录高考直通车APP
查看完整试题答案
好的
查看完整试题
特别声明:
1. 本站注明稿件来源为其他媒体的文/图等稿件均为转载稿,本站转载出于非商业性的教育和科研之目的,并不意味着赞同其观点或证实其内容的真实性。如转载稿涉及版权等问题,请作者在两周内速来电或来函联系,本站根据实际情况会进行下架处理。
2. 任何媒体、网站或个人未经本网协议授权不得转载、链接、转贴或以其他方式复制发表,违者本站将依法追究责任。
举报理由选择
确定
高考直通车官网

哇哦!快加入高考直通车APP,发现更多精彩内容,与学霸一起交流学习吧!