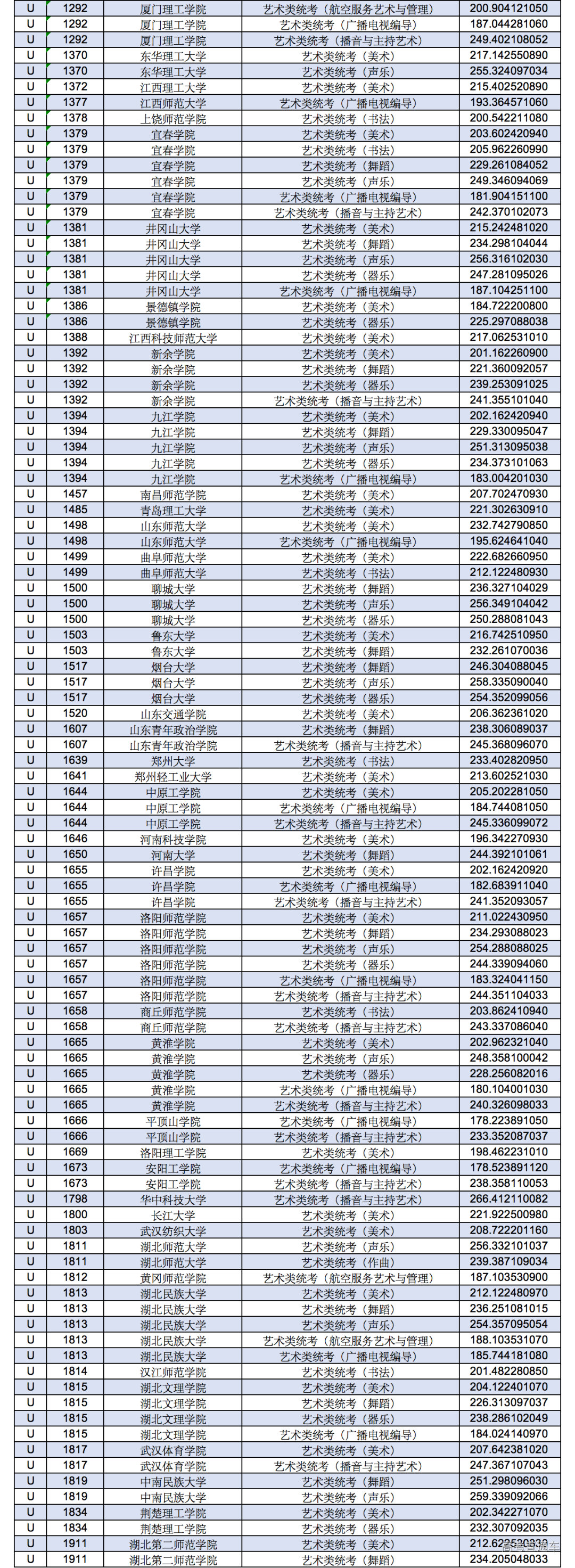
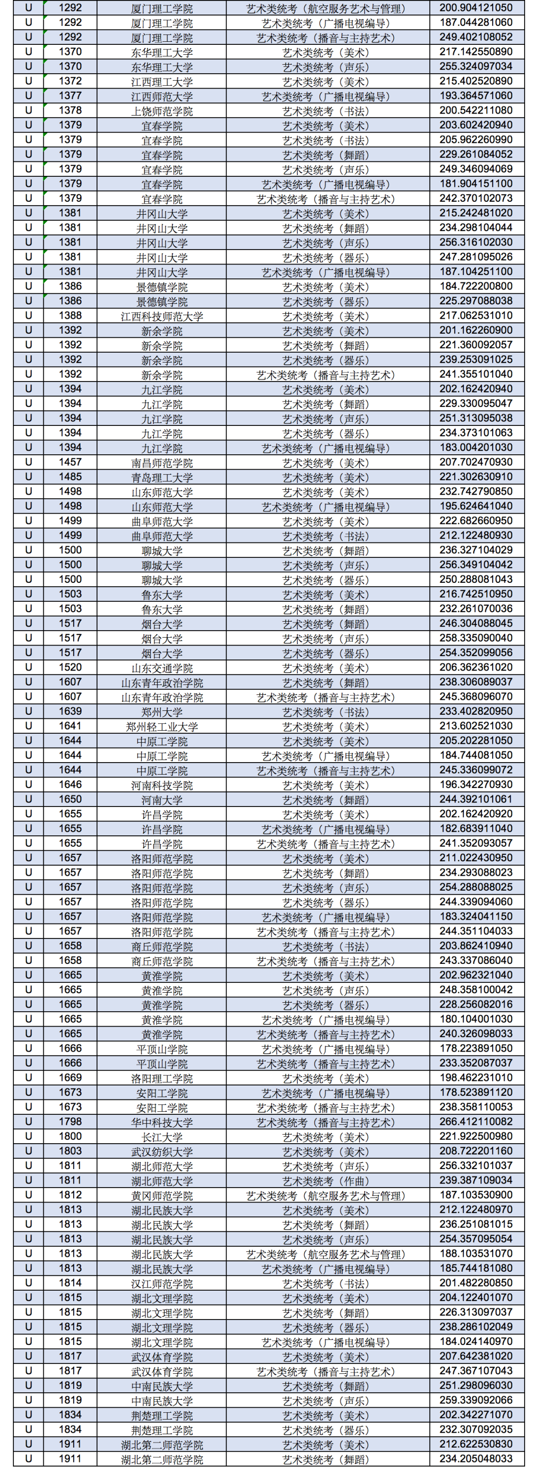
2021年甘肃省普通高校招生录取艺术体育类专业U段分美术、书法、唐卡、声乐、器乐、作曲、广播电视编导、播音与主持艺术、航空服务艺术与管理、舞蹈、田径、篮球足球排球、武术体操等13个类别,按照“分数优先,遵循志愿,一轮投档”的原则投档,即:由高考成绩和专业成绩按照一定比例折算后生成排序成绩,将文化课和专业课双上线的考生按排序成绩分类别从高分到低分排定位次,然后按位次优先的原则,根据考生平行志愿的自然顺序从前到后进行检索,一经检索到计划未满额的学校,即向该校投档。因此,对于考生来说该轮投档只有一次投档机会,个别已经投档的考生会因专业不服从调剂或不符合院校相关招生政策等情况被院校退档,会产生空余计划进行征集。此次公布的投档最低分为第一次填报志愿的投档结果。
各类别排序成绩计算方式如下:
类别一:美术、书法等类别排序成绩计算公式如下:
排序成绩=文化课成绩(不含政策性加分)÷750×300×30%+专业课成绩×70%,最终结果保留两位小数。
类别二:广播电视编导专业排序成绩计算公式如下:
排序成绩=文化课成绩(不含政策性加分)÷750×300×70%+专业课成绩×30%,最终结果保留两位小数。
类别三:唐卡、声乐、器乐、作曲、播音与主持艺术、舞蹈、田径、篮球足球排球、武术体操等类别的排序成绩为专业课成绩。
类别四:航空服务艺术与管理专业排序成绩计算公式如下:
排序成绩=文化课总分(不含政策性加分)÷750×300×50%+专业课总分×50%,最终结果保留两位小数。
当排序成绩相同时,类别一的考生按专业课总分、语文成绩高低排序,类别二、类别四的考生按文化课总分、语文成绩高低排序,类别三的考生按文化课总分、语文、数学成绩高低排序。






