学考数学最易得分题型的题型是什么?毫无疑问是选择题!
因为选择题给出了两类信息,一是题面信息,二是选项信息,并不需要同学们写出解题过程,只要选对选项即可。
在广东学考数学卷面中,选择题所占分值高达90分,是整个试卷卷面分占比最大的!
提高学考数学选择题的准确率,则能有效提高分数!
那么,学考临近,我们要怎么提高数学选择题的正确率呢?一起往下看看~
01
学考数学高频考点
大家可对照近年来学考数学的高频考点表,看看自己遗漏了哪些知识点,在接下来的时间查缺补漏,把基础补好才是硬道理。
02
选择题解题技巧
数学选择题也有蒙题技巧!
如果解不出结果,大家可以考虑从选项入手,将选项反向带入或者特殊值带入题目中,从而选出正确答案👇
01
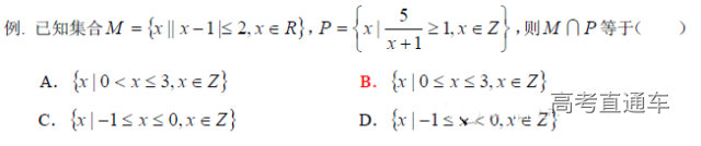
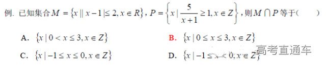
排除法
利用已知条件和选项所提供的信息,从四个选项中剔除掉三个错误的答案,从而达到正确选择的目的。
这是一种常用的方法,尤其是答案为定值,或者有数值范围时,取特殊点代入验证即可排除。
实例练习:
y=x为奇函数,y=sin|x|为偶函数,奇函数+偶函数为非奇非偶函数,四个选项中,只有B选项为非奇非偶函数,凭此一点排除ACD。
02
特殊值检验法
对于具有一般性的数学问题,在解题过程中,可以将问题特殊化,利用问题在某一特殊情况下不真,则它在一般情况下不真这一原理,达到去伪存真的目的。
值得注意的是,特殊值法常常也与排除法同时使用。
实例练习:
代入特殊值0,显然符合,排除AD;代入x=-1显然不符,排除C。
03
极端性原则
将所要研究的问题向极端状态进行分析,使因果关系变得更加明显,从而达到迅速解决问题的目的。
极端性多数应用在求极值、取值范围、解析几何、立体几何上面,很多计算步骤繁琐、计算量大的题,采用极端性去分析,就能瞬间解决问题。
实例练习:
直接取AB⊥CD的极端情况,取AB中点E,CD中点F,连结EF,令EF⊥AB且EF⊥CD,算出的值即最大值,无须过多说明。
04
顺推破解法
利用数学定理、公式、法则、定义和题意,通过直接演算推理得出结果的方法。
实例练习:
根据题意,依次将点代入函数及其反函数即可。
05
逆推验证法
逆推验证法也称为代答案入题干验证法。
将选项代入题干进行验证,从而否定错误选项而得出正确答案的方法。常与排除法结合使用。
实例练习:
如下题,代入x=0,显然符合,排除AD;代入x=-1显然不符,排除C。选B。
06
数形结合法
由题目条件,做出符合题意的图形或图象,借助图形或图象的直观性,经过简单的推理或计算,从而得出答案的方法。
数形结合的好处就是直观,甚至可以用量角尺直接量出结果来。
实例练习:
该题作图后直接得出选项A符合。
07
递推归纳法
通过题目条件进行推理,寻找规律,从而归纳出正确答案的方法,例如分析周期数列等相关问题时,就常用递推归纳法。
实例练习:
上题找找规律即可分析得出答案为B。
08
特征分析法
对题设和选择项的特点进行分析,发现规律,归纳得出正确判断的方法。
实例练习:
该题如果不去分析该几何体的特征,直接用一般的割补方法去做,会比较头疼。
细细分析,其实该几何体是边长为2的正方形体积的一半,如此这般,答案为C显而易见。
09
估算法
有些问题,由于题目条件限制,无法(或没有必要)进行精准的运算和判断,此时只能借助估算,通过观察、分析、比较、推算,从而得出正确判断的方法。
实例练习:
这种没办法解的方程,只能通过估算求解。当然,在可以使用计算器的情况下,估算也可以也精确,使用TABLE或者SOLVE功能,可计算约等于0.42。
10
正难则反法
从题的正面解决比较难时,可从选项出发逐步逆推找出符合条件的结论,或从反面出发得出结论,在做排列组合或者概率类的题目时,经常使用。
考点:数列与不等式的综合,整体思想,综合法的应用,考查不等式的证明与应用,等比数列的求和公式,放缩法证明不等式,属于难度大的综合题。题型以含绝对值的不等式的解法和证明为重要考点。
解法一:
解法二:
解法三:
反证法,从否定结论出发,经过逻辑推理推导出矛盾,证实结论的否定是错误的,从而肯定原结论是正确的,它的依据是原命题与逆否命题同真假。
这也正是体现高考的数学"正难则反"的思想,对于从正面证明不易着手,但从反面证明相对简单的命题,利用反证法解题会方便简捷很多。
Tips:
以上方法要注意灵活运用,很多情况下都是需要穿插综合运用,不可拘泥于一法。
另外,虽然本文选用的例题都是选择题,但是大部分方法在做填空题时,也是同样适用的,比如正难则反、数形结合、特征分析、递推归纳等,还是要灵活运用。

















